brunch

유산소운동은 녹내장에 도움이 될까?

녹내장 환자들을 위한 기본적인 운동지식 가이드

by 포워드

녹내장은 시신경 손상이 점진적으로 진행하면서 시야가 나빠지는 질환입니다. 물론, 높은 안압이 시신경 손상의 가장 큰 위험인자임은 매우 잘 알려져 있지만, CNTG study 등의 연구결과들에서는 안압의 하강만으로 모든 녹내장의 진행을 중단시킬 수 없다고 하였습니다. 안혈류의 불안정성, 근시 등으로 인한 시신경의 취약성, 아직은 완전히 알려지지 않은 분자생물학적인 기전등이 다양하게 관여하기 때문이지요.


그중에서도 녹내장과 생활습관과의 상관관계에 대한 연구는 전세계의 뛰어난 여러 의학자들에 의해서 최근 집중적으로 연구되고 있는 분야입니다. 동물실험을 바탕으로 한 결과 뿐 아니라, 대규모 역학조사에 대한 빅데이터 연구에서도 다양하게 유의미한내용들이 보고되고 있습니다. 특히 그 중에서도 녹내장과 유산소운동의 상관관계는 최근 집중적인 연구가 이루어지고 있습니다.


오늘은 매우 최근인 지난 6월 <Ophthalmology>에 실린 논문 한 편의 내용 위주로 녹내장과 유산소운동에 대한 최신 연구결과들을 소개해 드릴까 합니다. 이 논문은 영국 바이오뱅크 (UK Biobank)에 등록되어 있는 502,489명의 환자들을 대상으로 신체활동과 녹내장의 상관관계를 분석한 논문입니다. 존스홉킨스대학의 Pradeep Ramulu 교수, 하버드대학의 Louis Pasquale와 Janey Wiggs 교수, 영국 무어필드안과병원의 Paul Foster교수 등이 공동저자로 참여하였는데, 이 분야의 전세계 최고 전문가들입니다.


이 연구에서는 등록환자들을 대상으로 안압, 황반부 OCT 데이터, 녹내장 여부 등을 조사하였습니다. 그리고, 환자 개인별 운동량을 조사하였는데, 일반적인 설문지 (International Physical Activity Questionnaire)를 사용한 조사 이외에도, 손목에 차는 밴드형 가속도측정기를 사용하였습니다. 황반부 OCT 데이터는 망막신경절세포층을 포함한 망막내층 두께를 따로 계측하였습니다.


그림 1.png

이 논문의 결론을 요약하면 다음과 같습니다.


첫번째, 신체활동의 강도와 녹내장의 유무 혹은 안압의 정도는 특별한 상관관계가 관찰되지 않았다.

두번째, 신체활동의 강도의 높을수록 망막내층의 두께가 두꺼웠다. 이는 설문조사와 가속도측정기 사용 결과에서 일관되게 나왔다.

세번째, 가벼운 운동보다는 중등도 혹은 고강도의 운동이 망막내층의 두께 증가와 통계적으로 유의미한 관련성이 있었다.

네번째, 앉아서 보내는 시간의 빈도가 많을수록 망막내층의 두께가 얇은 경향이 보였다.



신체활동의 강도가 녹내장의 유무 혹은 안압의 정도와 특별한 상관관계가 없다고 나온 것은, 녹내장의 다양한 병인론 등을 고려해 볼 때 충분히 예측 가능한 결론입니다. 조금 더 세분화한 녹내장의 분류에 따라 비슷한 방식으로 연구가 이루어진다면 다른결론이 내려질 수도 있을 것 같습니다.


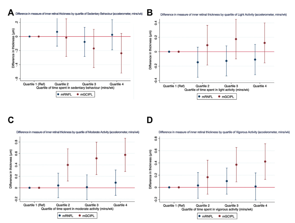
신체활동의 강도가 높은 군, 특히 중등도 강도 이상의 운동이 망막내층의 두께가 두꺼운 것과 관련이 있다고 하는 것은 유심히살펴 볼 부분이 있습니다. 다음은 이 논문의 핵심 연구결과를 정리한 그래프입니다.


그림 2.png

B는 저강도 운동, C는 중등도 강도 운동, D는 고강도 운동을 하는 군에서 황반부의 신경섬유층과 신경절세포층의 두께를 지속시간에 따라 나눈 그래프입니다. 눈여겨 보아야 할 것은 저강도 운동은 녹내장의 해부학적 지표에 영향이 미미한 것으로 나타났습니다. 이 논문의 결과에 따르면, 녹내장 환자들에게는 적어도 중등도 강도 이상의 유산소운동을 일주일에 2-3회 정도 이상 하는 것을 적극적으로 권유하여야 할 것으로 생각합니다.


그럼, 유산소운동은 왜 시신경에 긍정적 영향을 미칠까요? 이 부분은 크게 유산소운동의 시신경보호효과와 혈류개선에 따른 부수적인 효과 두가지로 나누어 생각해 볼 수 있겠습니다.


직접적인 시신경보호효과: 잘 알려진 바와 같이, 망막신경절세포를 포함한 우리 몸에 있는 뉴런 형태의 신경세포들은 아스트로사이트(astrocyte)나 미세글리아(microglia) 등 교세포(glial cell)들의 도움을 받아 살아가고 있습니다. 교세포들은 뉴로트로핀 등 뉴런이 필요한 영양소를 공급하거나, 혈액-뇌 장벽 형성에 기여하고, 면역세포로 작용하여 손상된 뉴런을 제거하거나, 염증 반응에도 관여하기도 합니다. 이러한 교세포들은 높은 안압이나 활성산소에 의한 스트레스를 받는 경우 과민하게 활성화되어TNF-alpha와 같은 염증을 유발하는 사이토카인들을 분비하고 뉴런의 생존에도 악영향을 미치게 됩니다 (그림 참고). 적당한강도의 유산소운동은 이러한 교세포의 활성화를 억제하여 뉴런을 직접적으로 보호하는 효과가 있음이 동물실험결과에서 잘 알려져 있습니다.


그림 3.jpg

혈류개선을 통한 간접적 효과: 중등도 이상의 유산소운동은 심박수를 증가시켜 말초혈류를 증가시킵니다. 녹내장이 진행됨에따라 모세혈관의 손상 정도가 증가함은 지난 10여년간의 OCT angiography 연구를 통해서 잘 밝혀져 있습니다. 모세혈관의손상이 심한 경우 심박수 증가를 통한 혈류 개선이 주기적으로 이루어지지 않으면 산소와 영양소 공급이 점차 감소하면서 신경조직의 퇴행성 변화가 유발될 수 있습니다. 유산소운동은 모세혈관을 확장시켜 혈류가 말초 조직에 산소와 영양소를 공급하게하는 것을 도와 줄 수 있습니다.


녹내장 분야 이외에도 최근 빅데이터 분석들을 기반으로 해서 유산소운동이 신경계의 만성질환에 긍정적인 영향을 미친다는 연구들이 속속 등장하고 있습니다. 얼마 전 <Alzheimer Research and Therapy>에 실린 연구에 따르면, 숨이 가쁘고 땀이 나는 정도의 고강도 걷기 운동을 한 군에서는 알츠하이머병 관련 인지능력이 우수하게 측정되었다는 내용이 보고되었습니다.


뇌를 구성하는 신경세포나 눈의 시신경을 구성하는 신경세포나 근원적으로는 거의 비슷한 구조와 생존 메커니즘을 가지고 있다는 것을 고려해 볼 때, 중등도 강도 이상의 유산소운동은 녹내장 환자들에게 적극적으로 권장하여야 할 것으로 생각됩니다. 다만, 녹내장의 진행 정도에 따라 야외 활동이 어려운 경우도 있고, 고령층의 환자들에서 관절이나 심혈관 상태가 좋지 않아 운동이 다소 제한될 수 밖에 없는 부분들이 있습니다.


이러한 부분 등을 고려하여, 앞으로는 녹내장 전문의사가 운동 전문가들과 함께 협업하여 녹내장 환자들에게 개인별 맞춤형 운동처방 가이드라인을 만들어 대중들에게 보급하는 것도 필요할 것으로 생각합니다.


참고문헌

- Anderson DR, Drance SM, Schulzer M. Natural history of normal-tension glaucoma. Ophthalmology 2001;108(2):247-53, doi:10.1016/s0161-6420(00)00518-22323

- Madjedi KM, Stuart KV, Chua SYL, et al. The Association of Physical Activity with Glaucoma and Related Traits in the UK Biobank

- Chrysostomou V, Galic S, van Wijingaarden P, Steinberg GR, Crowston JG. Exercise reverses age-related vulnerability of the retina to injury by preventing complement-mediated synapse elimination via a BDNF-dependent pathway



keyword
작가의 이전글캄보디아 비전아이캠프를 다녀와서