brunch

투자는 어떻게 하면 되나요?

너 얼마나 투자할 수 있니?

by 짱구

투자를 왜 해야하는지에 대해 설명하면서 투자자의 목표의식에 대해 얘기했습니다.

투자는 무형의 자산이 끊임없이 '일할 수 있도록' 관리감독 하는 것과 다를 바 없습니다.


이제 어떻게 투자할래요?


제가 아주 싫어하는 답을 먼저 보여드리겠습니다.


KakaoTalk_20230629_141143754.jpg
KakaoTalk_20230629_141220429.jpg

금융 정보를 다양하고, 신속하게 접수하기 위해 여러 개의 카카오톡방에 가입해있습니다. 해당 대화 내용은 톡방 구성원들 간 투자 방식에 대해 서로 담소를 주고 받는 것 중 일부입니다.


제가 가장 싫어하는 방식은 '그냥 믿고' 투자하는 겁니다.

아르바이트든 직장 생활이든 혹은 대학 생활 중 협업을 하든 다양한 사람들과 다양한 업무를 함께 해야만 하는 상황에서도 마찬가지로 '그냥 해보는 것'과 '충분히 토의하고 문제 가능성을 점검하여' 의사결정 하는 것은 차이가 있습니다.

하물며, 본인 돈을 타인에게 맡기고 이자를 수령하려는 것이 아니라 도박과 마찬가지로 '베팅'을 운에 맡기는 행위로 생각하는 건지 이해가 안 됩니다.


1. 그럼 뭐 어쩌라고?


어쩌긴요..

생각을 해봅시다.

왜 여기에 내 돈을 맡겨야 하는지 적어도 근거 두어 가지는 인지하고 있어야 합니다.


To. 가격이 싸서? 이 주식 꼭 사야해???라는 생각을 갖고 사는 분들에게...


주식 1주의 가격이 싸거나 비싸단 건 '비교'가 가능하단 생각에서 기인합니다.

하루 전날의 주가와 오늘의 주가가 3% 이상 변동했을 때 실제 주식회사의 가치가 3% 이상 변동했을까요?

당연히 그렇지는 않습니다. 즉 가치가격은 괴리가 존재할 수 있습니다.

그러면 얼마가 정상 가격이고 얼마가 과매수, 과매도 가격인지 알 수 있나요?


다양한 방법으로 해당 회사의 시가총액을 계산할 수 있습니다.

(시가총액= 상장 회사를 시가로 평가한 금액, 총 주식 수 X 주식 1주의 가격 = 시가총액. 삼성전자의 시가총액이 6월 29일 장마감 기준 432조이므로 삼성전자 지분 100%를 매입하는 데 대략 432조 정도 필요하다고 생각하면 되겠지요~)


'채권'이 만기일에 원금을 돌려주고, 특정 날짜마다 이자(Coupon)를 지급하듯

'주식'은 '배당금'을 지급함으로써 주주들에게 자금 대차에 대한 대가로서 이자를 주는 셈입니다.

(물론 배당을 주고 말고는 이사회에서 결정하겠지요.)

채권의 현재 가격을 산정할 때에도 '원금을 돌려주는 시기(만기일)'와 '이자'(표면금리, 지급 횟수 등)를 고려하듯, 주식 1주의 현재 가격을 산정할 때 '앞으로의 매출'과 '순이익 중 배당을 얼마나 줄지'에 대한 정보를 바탕으로 산정할 수도 있습니다. 혹은 해당 회사가 보유한 부동산, 공장 설비, 인력 등 자원의 가치를 현금으로 환산하여 주식 1주의 가격을 산정할 수도 있습니다.


(보통 가치주, 성장주 등으로 분류하는데 쉽게 말해서 '성장할 만큼 성장해서' 가치평가가 가능한 것은 가치주라고 일컫고 '성장할 여력이 충분하여' 현재로서는 가치평가가 의미없다는 것은 '성장주'로 부르기도 합니다.)


뭐 중요한 건, 우리 모두가 어떤 주식의 가격이 '싸다고' 생각한다면 '나름의 합당한 이유'가 있어야 한다는 말을 전하고 싶습니다. 싸다고 다 산다는 건 '금세 원래 가격으로 회복한다는' 생각이 바탕되어 있는데, 원래 가격이 고평가 되어 있었던 건 아닌지 혹은 회복된다는 게 타당한 생각인지 되짚어볼 필요가 있습니다.

화면 캡처 2023-06-29 162852.jpg
화면 캡처 2023-06-29 162912.jpg
화면 캡처 2023-06-29 162932.jpg
좌측부터 LG생활건강, 카카오, 바이오노트 입니다. 하락의 이유는 별도로 기재하지 않겠습니다.


2. 아 진짜, 그래서 뭐 어떡하라고?


가격은 우리가 쉽게 파악하기가 쉽지 않습니다. '가치'를 알아보고 해당 주식을 매입하더라도, 시장 상황이 해당 회사에게 불리하면 가격에 가치가 적절히 반영되지 않을 수 있기 때문입니다.


그래서 우리가 당장 할 수 있는 것부터 차근찬근 결정해야 합니다.


가장 먼저 할 수 있는 것은 '투자할 수 있는' 기간을 설정하는 것입니다.

투자는 '여웃돈'으로 해라. 라는 어른들의 피, 땀, 눈물 등등 삶의 지혜가 깃든 말을 한 번은 들은 적 있을 겁니다. 대출해서 투자하면, 반드시 쪽박을 차게 될까요? 그렇지 않습니다. 세상 거의 모든 것이 운에 의해 이루어지듯, 투자 역시 운에 의해 성과가 좌우될 때가 잦습니다.


투자할 수 있는 기간이 여의치 않음에도 불구하고, 한정된 시간 안에 일정한 성과를 거두지 못하여 큰 손해를 입는 경우가 생길 수 있습니다. 예를 들면, 대출을 하여 주식을 매입할 경우 '대출해준 채권자'가 채무자의 주식을 임의로 매도할 때가 있습니다. 100만원을 갖고 있던 a 씨가 100만원을 추가로 대출하여 삼쏭전자를 200만원 어치 매수했다고 가정합시다. 대출해준 입장에서는 100만원과 그에 합당한 이자만 회수하면 됩니다. 삼쏭전자이 주가가 1만원에서 7천원으로 하락했다고 상상하면, 200만원이었던 a씨의 자산가치는 140만원으로 급격히 하락했겠지요? 돈을 빌려준 입장에선 초조할 수 있습니다. a씨의 자산이 100만원 미만으로 떨어지게 되면, 대출해준 회사에서는 a씨에게 추가로 '증거금'을 납부해라고 요구할 수 있습니다. 그런데, a 씨가 떙전 한 푼 없어 증거금을 추가로 납부하지 못한다면 대출해준 회사에선 자금 회수를 명목으로 삼쏭전자 200주를 시장가에 전량 매도할 수 있지요.


뭐가 문제냐구요? 삼쏭전자가 1주에 1만원이었던 때에 a 씨는 삼쏭전자가 매우 저평가 되어있다고 생각했기 때문에 매수했을 것입니다. 그런데 주가는 오르지 않고, 되려 30% 더 하락한 셈이지요. 그러면 a씨의 계산이 틀림없다고 전제하면, 삼쏭전자는 지금 팔면 손해인 것이지요. 무조건 더 오를 수밖에 없는 상황이라 판단하여 매수한 것인데, 과매도된 구간에서 억울하게 매도하다니요.


제가 계속 비꼬고 있는데, 느껴지셨나요?

a씨에게 2가지 문제가 있습니다. 삼쏭전자의 가치를 제대로 파악했는가. 두 번째 문제는 불가피하게 주가가 과매도 구간에 진입하더라도 손해를 보지 않을 수 있는 시간적 여유가 충분한가입니다.


투자자는 설령 제대로 계산하지 못했다고 하더라도 본인의 계산대로 실제 주가가 상승하지 않더라도 여윳돈이라면 억울한 상황에서 매도하지 않고, 주가가 과열되고 있을 때 매도할 수 있겠지요.


핵심은 과매도 된 구간에 매입하여 과매수 된 구간에 매도하는 겁니다.


다만, 과매수 과매도에 대한 계산은 매우 매우 매우 어려워서 사실상 비합리적이고 불가능하다고 보는 게 맞을 겁니다. 그렇다면, 과매도 되고 있는 상황은 왜 발생할까요?

플레이어마다 주어진 환경이 다르기 때문입니다. 본인에게 주어진 시간적 여유가 얼마 없는 사람에게는

삼쏭전자 1주가 분명 1만 2천원의 가격으로 보임에도 불구하고 7천원에 매도해야 할 수도 있겠지요.



말이 좀 길어졌는데, 핵심을 한 가지만 얘기하고 글을 맺겠습니다.


노년기에 접어들수록 안전자산에 투자하고, 위험한 금융상품에는 투자하지 말라고 합니다. 왜 그럴까요? 잠깐 참고자료를 하나 보고 가시죠.

화면 캡처 2023-06-29 165053.jpg
화면 캡처 2023-06-29 165234.jpg
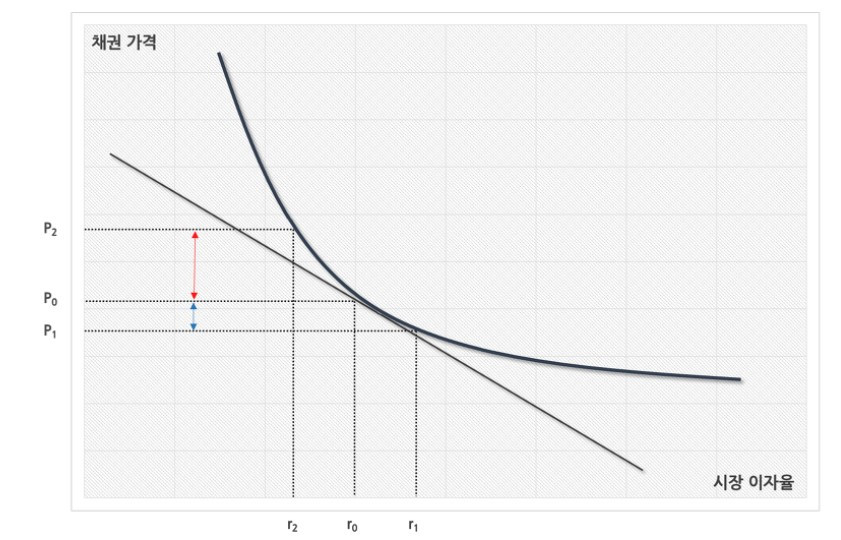
B.G.Malkie의 채권에 대한 5가지 정리입니다. 참고할 부분은 4번입니다. 4번에 관한 이해를 돕기 위해 우측의 사진을 가져왔습니다.

말키의 4번째 정리에서는 '수익률이 하락'할 때의 채권가격 상승폭이 '수익률이 상승'할 때의 채권가격 하락폭보다 크다고 합니다. 이건 뭐 여러 설명을 덧붙여야 하는데, 간단하게 뭉개서 설명해보겠습니다.


상대적임을 의미하는 '비율'과 절대적인 수치는 차이가 있습니다.

10,000원에서 1,000을 빼면 9,000원입니다. 1,000을 더 받으면 11,000원입니다.

1,000원을 뺴고 더하면 10,000원입니다. 반대로 1,000을 먼저 더하고 1,000을 빼도 그대롭니다.


그렇다면, 10,000원에서 10% 더하고 거기에서 10% 더 뺴면 10,000원일까요?

10%를 더하면 11,000원이고, 여기서 10%를 빼면 9,900원입니다.

반대로 10%를 먼저 뺴고 10%를 뒤에 더해봐도 9,900원입니다.


하고 싶은 말이 뭔지 짐작이 되시나요? 돈은 '비율'로 움직이고, 같은 비율로 증가 및 감소하더라도 변동폭이 다르단 것입니다.


즉 노년기일수록 자산을 안전하게 투자해야 한다는 것입니다.

더 정확하게 얘기하면 자산 투자를 늦게 시작했다면, 더 안전하게 해야 한다는 말을 전하고 싶습니다.

(왜일까요? '자산'은 일순간 절대적인 수치의 증감으로 보이지만, '비율'대로 움직인단 점을 다시 한 번 생각해야 합니다. 단순히 노인이 돈이 더 많아서 투자를 안정적으로 해야 한다는 말이 아닙니다. 실수를 복구하는 데 필요한 비용이 청년과 상당히 차이가 나기 때문임을 이해해야 합니다.)


즉 우리 모두 '재투자'를 통해 복리 효과를 누리려면 신중하게 자신만의 투자 메커니즘을 발견하기 전까지 최대한 소극적인 투자를 할 필요가 있습니다. 자산이 늘어나는 속도에 비해 줄어드는 속도가 더 빠르기 때문입니다. (이건 매우 당연한 소리입니다. 20%의 자산 총액이 변동했다고 가정해봅시다. 자산이 100억이라고 해봅시다. 자산이 줄어들 때는 100억의 20%이므로 80억이 되겠지요. 80억이 자산이 다시 100억이 되려면, 25%의 수익률을 달성해야 합니다. 따라서 변동폭이 큰 금융상품, 위험한 금융상품은 '상대적으로 청년보다 자산이 많은' 노인들에게는 불리해보이는 것입니다. (물론 투자를 매우 잘하는 노인에게는 예외겠지만요.)


후반부에 말키의 정리를 굳이 가져올 필욘 없었지만, 의미를 곱씹어보길 바라는 마음에서 감히 인용했습니다. 읽어주셔서 감사합니다.


4줄 요약: 1. 투자 상품의 적정가치를 판단하는 것은 꽤 어려운 일이다. 2. 본인에게 투자 가능한 여윳돈과 여윳돈을 언제까지 묶어둘 수 있는지 신중하게 판단해야 한다. 3. 여유 시간이 적다면, 배움의 속도를 늦추더라도 변동폭이 낮은 금융상품을 통해 이자소득을 얻어야 한다. 4. 반대로 배움의 속도를 앞당길 수 있는 젊은이들은 대출만 하지 말고, 할 수 있는 모든 걸 다 해보는 것이 좋다. 잃어봤자 얼마 안 되는 돈이므로.




keyword
이전 03화돈과 삶의 원동력