brunch
매거진 레몬박스

마카 부작용과 효능에 대해서

by 킴노인
여자에게 다이어트와 피부 문제가 있다면 남자에겐 탈모와 정력 문제가 있다. 특히 정력은 언제나 남자의 자존심과 직결된 매우 중요한 문제이므로 신경 써서 관리하지 않을 수 없다. 이러한 남성의 니즈를 채우기 위해 시중에는 각종 식품들이 판매되고 있다. 그중에서도 마카는 몇 년 전부터 꾸준히 사랑받는 소재이다. 과연 마카는 효능이 있는 걸까? 부작용은 없을까?



마카는 정확히 뭘까?

관심 있는 사람들은 이미 알고 있겠지만 혹시 마카를 처음 접하는 사람들을 위해 간단하게 마카가 무엇인지, 어떤 효능으로 알려져 있는지 짚고 넘어가자. 대체 마카가 뭐길래 중국도 난리고 우리나라에서도 정력이란 키워드만 들어가면 마카가 꼭 함께하는 걸까?

%EB%A7%88%EC%B9%B4%EB%B6%80%EC%9E%91%EC%9A%A902.jpg?type=w966 레드마카, 그냥 마카, 블랙마카. 알타리무 같이 생겼다


마카는 식물의 일종이다. 기원전 16세기부터 안데스산맥 원주민들이 마카를 재배하기 시작했다. 생육 환경이 까다롭기 때문에 옛날에는 쌀이나 옥수수 등 식량과 맞바꿀 정도로 귀한 식물이었다. 뿌리에 영양의 대부분이 몰려있으므로 보통은 뿌리를 먹는다. 굽거나 가루로 빻아서 빵을 만들어 먹기도 한다. 뿌리에 탄수화물, 단백질, 지방, 식이섬유, 철, 구리, 망가니즈, 아연, 아이오딘, 칼슘, 칼륨 등 다양한 영양소가 풍부하기 때문에 건강식으로 여겨진다. 마카의 별명이 페루의 산삼인 건 괜한 게 아니다.



%EB%A7%88%EC%B9%B4%EB%B6%80%EC%9E%91%EC%9A%A903.jpg?type=w966

그럼 마카는 정확히 어떤 효능이 있을까? 다양한 효능이 있지만 대표적으로 알려진 효능은 다음의 세 가지다.


1. 신장 기능 활성화 및 스테미너 증가

2. 내분비계 호르몬 조절 효과

3. 남, 여 성 기능 향상


자, 스테미너를 증가시키고 호르몬을 조절하고 성 기능을 향상시켜준단다. 바로 느낌이 온다. '오우야! 이거 정력에 좋은 거잖아!' 마카는 진짜 정력을 향상시켜 줄까?





마카와 정력

%EB%A7%88%EC%B9%B4%EB%B6%80%EC%9E%91%EC%9A%A904.png?type=w966 아아.. 이런



마카와 정력의 상관관계를 이야기하기 전에, 정력은 대체 뭘 말하는 것인가에 대해 잠시 논해보자. 수많은 남자가 허구한 날 말하는 정력은 구체적으로 어떤 걸 의미하는가. 사실 그 정체는 매우 모호하다. 궁극적으로 성 기능이 뛰어난 것을 말하는데 성 기능은 알겠지만(모를 수도 있..) 단순히 신체적인 능력만 가지고 측정되지 않는다. 파트너와의 상호 작용, 분위기, 그날의 컨디션 등 매우 많은 변수가 작용하는 것이다. 그럼에도 일반적인 남성이 기대하는 정력은 다음과 같이 정의할 수 있다.


1. 발기에 문제가 없을 것

2. 조루증 없이 오래 할 수 있을 것

3. 쉽게 지치지 않을 것

4. 성행위가 여러 번 가능할 것

5. 정액의 양이 많을 것

6. 클 것(?)

6번은 음식 먹는다고 해결될 문제는 아닌 것 같지만... 아무튼 힘세고 오래가는 느낌이 대중이 정의하는 정력이라 할 수 있다. 하지만 이는 의학적인 정의가 아니므로 식품을 통해 정력을 높인다는 건 그 의미가 매우 다를 수 있음을 알아야 한다. 학계에서 특정 성분이 성 기능 향상에 도움이 되는지를 따질 땐 주로 정자 운동성을 많이 본다. 남녀가 사랑을 나누는 행위는 단순한 쾌락을 위해서 일 수도 있지만 기본적으로 새로운 생명을 잉태한다는 목적이 강하기 때문이다. 새로운 생명이 문제없이 건강하게 태어나기 위해선 튼튼한 정자와 난자가 만나 균형 잡힌 영양을 공급받는 것이 매우 중요하다. 여기서 튼튼한 정자란 당연히 활동성이 많은 정자를 의미한다.


SE-8731d48c-90c5-43fc-b67c-e756929c06e9.jpg?type=w966 건강한 정자가 많은 게 학계에서 말하는 정력이다

따라서 마카가 실제로 정력에 도움을 주는지 궁금하다면 신체적인 운동능력 향상과 함께 정자의 운동성이 얼마나 증가하는지, 성 기능과 관련된 호르몬 수치가 얼마나 증가하는지 파악해야 한다. 사실 마카에 대한 연구가 활발하진 않아서 그 수가 많진 않지만 언급한 항목에 대한 연구 자료와 식약처 고시 내용이 있다.


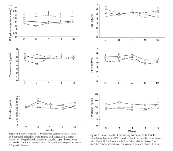
스크린샷 2019-11-11 오후 5.06.24.png 마카 농도와 위약에 따른 각 호르몬 레벨 측정 실험. 마카 섭취군과 위약 섭취군이 큰 차이가 없다.


내분비 저널에 소개된 논문에는 마카와 남성 생식 호르몬 사이의 상관관계에 대해 연구한 결과가 실려있다. 연구는 12주에 걸쳐 이중 맹검, 무작위, 병렬 시험, 상이한 용량 별 마카 등을 이용하여 위약(플라시보)과 비교했다. 21세에서 56세 사이의 남성이 대상으로, 1500mg 또는 3000mg의 마카를 복용했다. 황체 형성 호르몬, 여포 자극 호르몬, 프로락틴, 17-알파 하이드록시 프로게스테론, 테스토스테론, 17-베타 에스트라 디올 등 주로 성 기능과 관련된 호르몬 분비량 변화를 복용 2, 4, 8, 12주에 측정했다. 결론적으로 마카는 해당 호르몬 수치에 영향을 미치지 않았다. 다시 말해 성 기능 향상과 아무런 관련이 없다고 나타났다. 실망했는가? 그럼 식약처 고시 자료도 보자.


SE-b0ec7b87-5943-4c30-85f0-25b949c39f55.png?type=w966 출처: 식품안전나라

위는 식약처 포털인 식품안전나라에서 검색하면 볼 수 있는 마카에 대한 내용이다. 살펴보면 운동수행능력에 생리활성기능 3등급, 정자운동성 개선에 생리활성기능 2등급, 갱년기 남성 건강에 생리활성기능 3등급을 책정했다. 이렇게 보니 뭔가 정말 기능이 있는 것처럼 보이는가? 생리활성등급에 대해 잠깐 살펴보자. 이후에도 같은 생각인지 묻고 싶다.


생리활성등급이란 식약처에서 평가하는 건강기능식품의 허가 등급이다. 가장 높은 등급은 '질병발생위험 감소'등급이다. 실제로 과학적으로 충분히 입증돼 병에도 효과가 있는 성분이다. 이는 자일리톨 하나뿐이다. 다음은 '생리활성기능 1등급'이다. 이는 임상시험 논문이 다수 발표돼서 학계에서 그 효과가 인정된 성분들이다. 가르시니아 캄보지아, 루테인 등 6가지가 이에 해당한다. 다음은 '생리활성기능 2등급'. 2등급부터는 굉장히 애매하다. 임상시험 결과는 있는데 숫자가 적고 과학적으로 입증되지 않아서 효과가 있는 것 같기도 하고 없는 것 같기도 할 때 2등급을 준다. '생리활성기능 3등급'은 임상시험이 이루어지지 않은 것들이다. 신뢰성에도 한계가 있고, 효과가 입증되지도 않았고 아무튼 논문이 있긴 한데 믿기 어렵고 딱히 큰 효과를 기대하기도 어려울 때 3등급을 준다.

[지난글]생리활성기능 1등급, 가르시니아 캄보지아에 대한 오해


오늘의 주인공인 마카는 몇 등급을 받았는지 다시 보자. 2등급 하나에 3등급 둘이다. 그럼 뭐다? 효과를 기대하지 말란 소리다. 다시 말해 마카는 그냥 영양이 풍부한 식품일 뿐이지 정력에 크게 체감이 될 정도로 도움이 되지 못한다. 그럼에도 마카를 먹고 정력이 강해졌다고 하는 건 다분히 플라시보효과가 아니면 마케팅의 일환일 뿐이다.



마카 부작용

%EB%A7%88%EC%B9%B4%EB%B6%80%EC%9E%91%EC%9A%A909.png?type=w966

그럼 이렇게 임상시험도 제대로 되지 않은 식품을 마구 팔아 제껴도 되는 것인가, 많이 먹어서 부작용이 생기는 건 아닐까 걱정될 것이다. 사실 마카는 앞서 언급한 것처럼 기원전 16세기부터 먹던 식품이라 임상시험을 안 했다고 딱히 치명적인 부작용이 발견되진 않았다. 다만 갑상선이 안 좋은 경우 마카를 피하는 것이 좋다.


더불어 너무 높은 온도에서 조리하면 영양소가 파괴되고, 그렇다고 날로 먹으면 너무 맵기 때문에 적당한 온도에서 조리하거나 꿀에 절여서, 또는 말려 먹는 걸 추천한다.


[지난글]비타민, 제대로 알고 먹자

비타민 전문가에게 무료로 추천 받는 맞춤 비타민


keyword
매거진의 이전글부형제와 천연 맹신에 관하여