brunch

6. 당신과 아내와 아이, 그 관계성

육아 관계론

by 석태용

나는 독서를 좋아한다. 읽을거리와 사색의 시간, 커피 한잔이면 더할 나위 없는 소박한 인간이다. 주로 인간에 대한 책을 읽고 인간에 대해 잘 분석하고 표현한 글을 좋아한다. 즉 '인문학'에 매료되어 있는 수많은 사람 중의 한 명이다. 인간에 대한 호기심과 탐구욕이 나를 철학이라는 분야의 책을 읽게끔 이끌었고 동서양을 가리지 않고 탐독하게 되었다. 딸을 낳아 기르던 나에게 가정의 이상적 모습에 대한 것은 중요한 고민과 생각할 거리를 주었고 노자의 도덕경을 읽으며 처음 육아 관계론에 대한 아이디어를 떠올렸다. 지금부터 이야기하고자 것은 육아에 대한 나의 철학이다.


그 당시 고대 중국에서 노자와 대립하던 대표적인 사람이 공자이다. 내가 읽은 공자의 논리를 간단하게 이야기한다면 인간 본연의 성질인 '인(仁)'을 '예(禮)'를 통해 이룬다는 이야기이다. 물론 그의 논리를 이 한 문장으로 정의하기에는 너무 광범위하며 깊다. 인은 타인을 사랑하고 어질게 행하는 것이다. 공자는 이 '인(仁)'이라는 것이 모든 사람들의 마음속에 있는 본성 같은 것이어서 가꾸고 다듬어야 한다고 이야기한다. 그렇게 함으로써 성인이 될 수 있다고 그는 강조한다.


그와는 반대로 노자는 인간에게 정해진 본성을 강조하지 않고 무위자연을 강조한다. 또한 모든 것이 순환하며 서로 상호적인 관계를 맺는다는 이야기를 한다. 우리 몸을 구성하는 원자들은 이전에 흙이기도 하였을 수 있고 호랑이나 나무의 구성 요소였을 지도 모른다. 결국 자연에서 우리는 태어나며 다시 자연으로 돌아가는 존재이다. 그리고 모든 것은 상대적이라고 이야기한다. 어떤 절대적인 근본, 진리가 있는 것이 아닌 위가 있기에 아래가 있으며 작음이 있기에 큰 것이 있듯 많은 것이 상대적인 관계 속에서 태어나며 종말을 맞이한다고 이야기한다.


무엇이 진리인지는 아직 명확해 보이지 않다. 공자의 말대로 우리 인간의 본성에 '인'이라는 것을 품고 있을지도 모르며 노자의 말대로 상대적인 관계 속에서 스스로를 발견할 수 있을지도 모른다. 나의 육아는 상황에 맞춰 두 가지 방식을 다 채택하지만 큰 그림은 노자의 이야기로 시작된다.

사람은 사회적 존재이며 사회 내에서 모두 직, 간접적으로 연결되어 있다. 보다 고도화된 통신의 발달로 오늘날 그 연결성은 더욱 조밀하게 뻗쳐져 있다. 우리는 SNS를 통해 지구 반대편의 사람과도 쉽게 소통할 수 있다. SNS의 발달로 사회적으로 고도화된 연결망을 우린 가질 수 있고 지구 반대편의 비슷한 가치관을 가진 사람과 쉽게 친구가 될 수 있게 되었다. 이러한 수많은 관계 중 가정이 지니는 관계의 연결성의 중요도는 다른 인간과의 관계보다 훨씬 중요하며 두텁다. 가정 내에서 아빠, 엄마, 아이의 연결성이 두껍고 좋은 가정은 수많은 어려움도 견뎌낼 수 있게 한다. 특히 인간사의 고통과 힘든 것은 대부분 인간관계에서 초래된다. 직장과 친구, 가족관계의 위기는 개인에게 엄청난 스트레스를 선사한다. 실제로 스트레스 점수를 평가한 연구에서 배우자의 죽음, 이혼, 별거와 같은 가족 내부에서의 헤어짐, 즉 관계의 단절이 가장 높은 스트레스 점수를 얻게 된다.


인간에게 있어 건강한 가정, 가족 간의 좋은 관계는 인간 개인에게 고통을 최소화시키고 이는 행복으로 이어진다. 하지만 안타깝게도 역사적으로 가정의 가치는 항상 저평가되어 있다. 가정이 미디어에서 중요하다고 떠들긴 하지만 가정에서 전업주부는 무시당하기 일쑤이며 회식보다 집에 가기를 좋아하는 남자는 사회성 없다고 타박을 받는다. 다행히 워라벨이 중요해지며 많은 부모들이 다시 가정으로 돌아가고자 한다. 웰빙, 삶과 일의 균형이 강조되며 돈을 버는 것보다 행복하게 사는 것이 무엇인지 고민하는 사람들이 늘며 출산율을 높이려 국가에서도 이를 위한 제도를 확충하고 있다.


가정을 '관계'라는 시각으로 들여다보면 첫째로 부부관계가 있으며, 둘째로 엄마와 자녀의 관계, 셋째로 아빠와 자녀의 관계를 가진다. 이 들의 관계성에 대해 이해하는 것이 나의 육아 철학의 시작이다. 세 존재는 각기 독립된 인격체로서 다른 특성들을 지닌다. 엄마와 아빠는 다른 성별이며 30년을 다른 가정, 다른 문화권에서 살다 만나 가정을 이뤘다. 아이는 성인인 부모와 세대가 다르며 어른과 육체와 생각 모두가 다른 소아이다. 세 개체는 크나큰 차이를 보이는 상태에서 만나 가정을 이루고 함께 살기 시작한다. 그들이 삐걱거리는 것은 어쩌면 당연한 이야기 일 것이다.


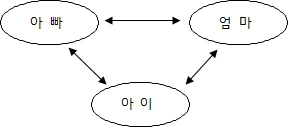
부부와 자녀는 서로가 서로에게 영향을 주고받는 존재이다. 그림을 그린다면 어린아이를 키우는 가정의 모식도는 아래 그림처럼 될 것이다. 주체적으로 가정을 이끄는 부모는 위쪽에 배치되고 아이는 아래쪽에 배치된다. 부부의 권위는 비슷하며 상호 존중하는 위치에 있다.

아이가 자라며 아이 스스로 독립성을 획득해 나가는 과정에서 아이의 인생에서 아이의 권위는 결국 아빠, 엄마와 동일선상으로 바뀔 것이다. 하지만 아직 주체성이 획득하지 않았고 충분한 이성적 판단을 내리지 못하는 아이들에 대해 부모의 권위는 일부 필요하다. 하지만 이것은 아이의 방임하지 않기 위한 최소 조치를 위한 일부일 뿐 직접적으로 부모가 아이에게 권위를 행하는 것은 제한되는 것이 좋다.


그림에서 가장 중요한 점은 상호 관계성을 지닌다는 것이다. 누구도 일방적인 관계가 되어선 안된다. 일방적인 관계는 상대방의 이야기를 듣지 않는다는 것이며 이는 같은 사람으로 여기지 않는 모욕에 해당된다. 가정의 각 개체는 반드시 상대방의 이야기를 경청해야 한다. 그것이 상호 관계성을 지닌다는 이야기다.


이를 바탕으로 각자의 가정에 대한 모식도를 그려보자. 당신의 가정에서 당신은 어디에 위치하는가? 당신은 아이와 아내에게 영향을 주고받고 있는가? 어떤 가정은 아빠의 권위가 더 높고 어떤 가정은 엄마의 권위가 더 높을 수도 있다. 혹은 아이의 권위가 가장 높아 아이에게 끌려 다니는 가정이 있을지도 모른다.


3명의 관계로 보이는 이 모식도는 단순해 보이지만 가정을 모식도로 그릴 때 얻을 수 있는 몇 가지 이점이 있다. 가정 안에서 개인들은 서로 연결되어 있어 긍정적인 영향력을 줄 수 있기도 하며 부정적인 영향력을 줄 수도 있다. 가정 내 적절한 연결성을 가지게 되면 이 연결은 긍정적인 것은 시너지 효과를 내 더 강한 긍정적 효과를 만들게 하고 부정적인 것은 바닥으로 떨어지지 않도록 지지해 주는 힘을 가지게 한다. 예를 들면 엄마가 다이어트와 건강을 위한 55kg을 목표로 체중관리를 한다고 생각해 보자. 혼자 할 때와 가족이 지지할 때의 효과는 다르다. 가족들은 아내의 다이어트를 응원하고 식습관을 도움으로써 긍정적인 것을 더 강화시켜 준다. 재수에 실패한 아들을 예로 들면 그 아들은 인생의 모든 것이 무너져 내리는 듯한 느낌을 받을 것이다. 이때 부모는 아이가 더 이상 상심하지 않도록 함께 시간을 보내며 위로할 수 있다. 이렇듯 건강한 가정은 각 개체의 긍정적인 것을 강화시켜 주고 부정적인 것을 약화시킨다. 하지만 건강하지 않은 관계의 가정은 긍정적인 것을 약화시키고 부정적인 것을 강화시키는 가정일 것이다. 서로가 성공하지 못하도록 질투하고 폭력을 행하며 실패를 비꼬며 서로에게 악한 마음으로 더 무거운 짐을 지우는 것들은 병든 가정의 모습일 것이다. 건강한 관계를 가진 가정 아래에서 자란 아이들은 이로 인해 자존감이 높고 도전할 줄 알며 인간관계를 원활하게 유지할 수 있는 능력을 가지고 사회로 나온다.


인간에게 공통적으로 발생하는 몇 가지 어려움이 있다. 노화, 미래에 대한 두려움, 삶의 의미의 상실, 죽음에의 공포 등은 개인이 짊어지고 살아가기에는 가볍지 않다. 가정은 이들을 견디는데 지지대가 되어 준다. 이런 관점에서 건강한 가정은 삶을 견디며 살아가는데 아주 중요한 요소이다.


모식도를 가만히 지켜보자. 모식도 안에서 ‘누가 더 높은 위치에 있느냐’ 보다는 양방향 화살표의 존재이다. 화살표는 서로의 관계성이며 서로가 서로에게 영향을 준다는 뜻이기도 하다. 영향력은 주로 언어라는 형태로 발휘된다. 그렇다면 우리 가정 안에서 표현되는 언어를 주의 깊게 관찰하기만 해도 어떠한 영향력을 가지는지 어림짐작 할 수 있다. 가족이 모인 자리에서 누구의 이야기가 많고 누구의 이야기가 적은 지 잘 관찰해보면 이에 대해 쉽게 이해할 수 있다. 스스로 지나치게 이야기를 많이 하는지, 아무 이야기도 안 하려 하는지, 가정 안에서의 대화는 건강한 가정을 판단하는데 좋은 지표가 된다.


keyword
작가의 이전글3. 당신은 어떤 안경을 쓰고 있습니까?