brunch

태국어 미안합니다

커어톳카 커어톳크랍

by 꽃뜰

나의 제자들 하핫 내가 꿈꾸는 그곳 님과 연희동 김작가 님의 향학열에 나 역시 불타올라 오홋 태국어에 박차를! 푸하하하 오늘은 무엇 요구하거나 어쨌든 감사함 뒤에 따라오는 미안함. 감사합니다를 알면 미안합니다도 꼭 알아야 할 것 같아서 미안합니다를 한다. 자, 태국어로 미안합니다를 구경합시다~


d7.jpg


커톳카 라고 해도 되지만 좀 더 비슷한 발음이 되려면 커어 할 때 커어가 고자음이라 꼬불탕하는 것이므로 커어 그리고 톳은 2성으로 크게 외치는 듯 뻗쳐 말해야 하기에 톳이 좀 더 맞는 듯싶어 커어톳이라고 해본다. 어쨌든 요 거이 태국어로 미안합니다로 커어톳카 또는 커어톳 크랍이다. 카와 크랍은 이제 나이 애제자님들은 너끈히 아실 테고. 하하. 여자는 뒤에 카를 붙임으로 존칭어가 되고 남자는 크랍을 붙여야 존칭어가 된다는 것. 자 그럼 이제 커어톳을 갈가리 찢어봅시당.



d8.jpg



커어톳을 위해서는 우선 초자음 키읔 발음이 필요하다. 그것으로 커카이가 쓰였다. 커카이는 고자음이다. 꼬불탕하는 고자음. 커카이 할 때 카이는 계란. 전에 컵쿤카 컵쿤크랍할 때도 시작 초자음은 이 커카이였다. 이렇게 반복하다 보면 외워지게 되리라. 여하튼 커어톳의 커어 중 초자음 ㅋ 을 했으므로 다음!



d9.jpg



어앙이다. 역시 컵쿤할 때처럼 하하 어앙이 모음 어 역할을 한다. 그런데 이 어앙은 자음으로 중자음이다. 어앙의 앙은 대야라는 뜻이다. 삼천포로 빠지는 격이지만 어앙 할 때 앙은 중자음에 마이엑이 붙었으므로 1성 low tone이다. 앙 대야. 하핫 제길로 가잣. 난 지금 커어톳 미안하다를 하는 중이니까. 커어톳 중에 커어까지 했고 그다음!



d10.jpg


싸라오. 커어톳 할 때 모음 오가 필요하다. 모음을 태국어로 싸라 라고 하니까 싸라오. 모음 오. 이 모음 오는 자음 앞에 붙는다. 그러므로 우리말과 달리 모음 오를 먼저 쓴다. 모음 오. 싸라 오.




d11.jpg



커어톳 에서 이제 커어까지 했고 모음 오도 했고 자음 티읕이 필요하다. 이 티읕은 터타한에서의 티읕이다. 터타한은 저자음으로 터타한의 타한은 군인이다. 타한을 보자면 타가 저자음으로 타한의 앞에 떨어져 싸라아 단모음이 숨겨져 있다 치는 것이므로 타 저자음 + 싸라아 단모음 = 3성 high tone 이므로 높은음에서 조금 더 올리는 것이 된다. 타? 살짝 올려주듯 발음. 그리고 한의 경우 허힙이 고자음이므로 고자음 + 장모음 + 생음엔딩=4성 rising tone 살짝 꼬불탕하는 4성이므로 타하안 이 군인이 되는 것이다. 앗, 또 삼천포다. 자음에 딸린 뜻을 전하는 데 급급해선 안된다. 난 여기서 간략하게 커오톳만 익히도록 해야 하는 것이다.


d12.jpg


커어톳에서 커어토까지 했고 그렇다면 이제 마지막 종자음 시옷 발음으로 써어르씨이 가 쓰였다. 써어르씨이를 볼까? 써르씨라고 하지만 무언가 발음과 같게 써보려니 써어르씨가 된다. 하하 어쨌든 써르씨 이는 선인, 도사라는 뜻인데 여기 등장하는 르으 요 거이 또 꽤 어려운 거다.



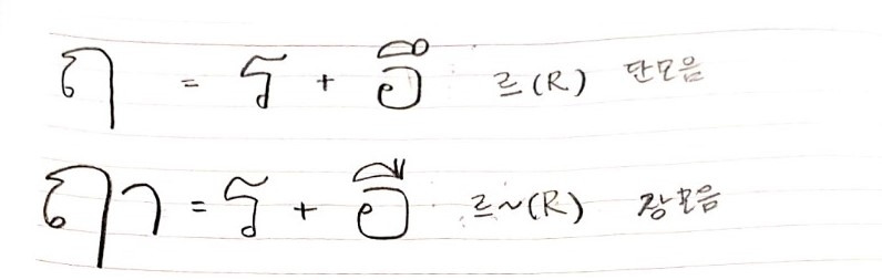
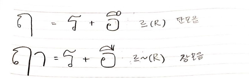
d13.jpg



잠깐 또 삼천포로 빠지는 격이지만 요걸 그대로 넘길 수는 없겠다. R 발음의 르는 똥글뱅이가 안에 있으면서 터퉁 처럼 생긴 것의 오른쪽 끝이 긴 것. 요 거이 짧은 음절 모음 르가 되는 거고 긴 음절 모음 르~ 가 되려면 거기에 싸라아 모음 아를 붙이면 된다.



d14.jpg



요건 L 발음의 음절 모음이다. 러링과 싸라으가 합쳐진 꼴인데. 음.... R 발음은 똥글뱅이가 안에. L 발음은 똥글뱅이가 밖에. 요걸 어찌 안 헷갈리고 외울꼬? 아알이지만 알로 해서 알은 안에 품어야 하니까 푸하하하 그런 식으로라도 알 R발음 음절 모음이 터퉁 비슷한 거에 똥글뱅이 안에 있는 것이라고 외우면 되겠다. 하하


d13.jpg


아하 그러나 걱정할 필요가 없게 되었다. 본래 이 르, 르~는 인도의 팔리어와 산스크리트어 차용어에서만 사용되는데 똥글뱅이 밖의 L 발음 르는 사용되지 않는다 하니 R 발음의 똥글뱅이가 안에 있는 터퉁 비슷한 것의 오른쪽 끝을 내리는 르만 사용됨을 기억하면 되겠다.


d12.jpg


어쨌든 다시 써르씨로 돌아가자면 써~르씨~ 에서 씨이 는 써르씨가 고자음에 장모음 싸라이가 붙음으로 르~씨가 되어 선인, 도사라는 뜻이 되는 것이다.


d15.jpg



자. 이것으로 커어톳은 이제 다 갈가리 찢어보았다. 커어톳. 미안. 요걸 존칭어로 하자면 우리가 잘 아는 여자는 카 남자는 크랍만 붙이면 되는 것이다. 요케. 하하




d15.jpg

커어톳 카 : 미안합니다 여자가 말할 때

커어톳 크랍 : 미안합니다 남자가 말할 때


자, 그럼 이제 또 지금까지 한 거 복습. 오예.



싸타니롯화이

롱파야반


기차역

병원





헝쑤웜

팥따칸


화장실

음식점



d5.jpg



타나칸

빠이롵메


은행

버스정류장



d6 (3).jpg



야싸이팍치카

마이싸이팍치크랍


고수넣지마세요(여자)

고수넣지마세요(남자)


고수넣지마세요는 야싸이팍치 도 되고 마이싸이팍치도 된다.

다만 카와 크랍을 하나는 카 하나는 크랍을 써보았다. 하하 일종으리

절약을 한 거다. 푸하하하



d6 (2).jpg



컵쿤카

컵쿤크랍


감사합니다 (여자)

감사합니다 (남자)


d7.jpg



그리고 끝으로 오늘 한 거.

커어톳카 또는 커톳카 (발음하기 나름이다. 좀더 비슷하게 표현해본 것이다. 여하튼 카는 여자꺼)

커어톳크랍 또는 커톳크랍 (남자가 말할 때)


미안합니다 (여자꺼)

미안합니다. (남자꺼)


오늘 태국어공부 끝 음하하하



keyword
꽃뜰 에세이 분야 크리에이터 프로필
구독자 824