brunch

인류의 여정 - 부와 불평등의 기원을 찾아서

농업 혁명과 함께 시작된 '맬서스 함정' 이야기

by 홍춘욱

인구의 증가와 사람들의 소득 수준 사이에는 대체로 반비례 관계가 존재합니다. 즉, 인구가 늘어날수록 1인당 소득은 줄어들 가능성이 높아진다는 것입니다. 왜냐하면, 자원은 희소한 데 먹을 입이 늘어나기 때문입니다. 이를 맬서스의 함정이라고 부르죠. 오늘 소개할 책 "인류의 여정"에 이 문제가 잘 정리되어 있습니다.


***


맬서스의 가설은 기본적으로 두 가지 토대 위에 세워졌다. 첫 번째 토대는 자원이 늘어남에 따라, 인류의 재생산이 (중략) 늘어난다는 것이다. 두 번째 토대는 살아가는 공간이 제한된 경우, 인구가 증가하면 언제나 생활 조건이 나빠질 위험이 따른다는 것이다. - 47쪽


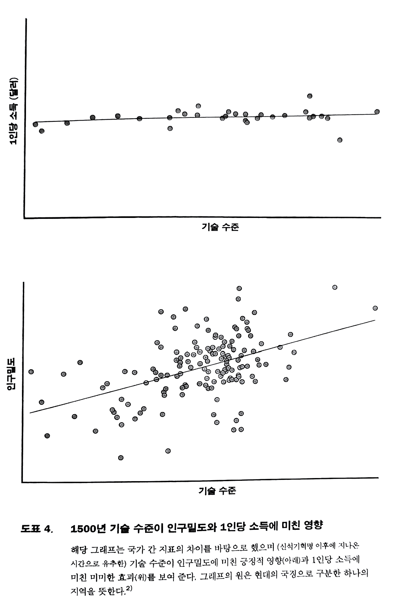
실제로 산업화 이전 시대의 경우, 맬서스 기제가 작동했음을 알 수 있다. 예를 들어 기원 후 1500년대에는 신석기 혁명이 시작된 시기가 빨라 기술 수준이 높다고 추정되는 지역일수록 인구밀도가 높았지만, 1인당 소득 수준은 거의 차이가 없다. - 48~50쪽


즉 아메리카 대륙이나 호주의 원주민들은 당시 서유럽 사람들과 비슷한 1인당 소득을 올리고 있었지만, 기술 수준은 서유럽 사람들이 더 높았던 셈입니다. 물론 더 높은 기술 덕분에 많은 인구를 부양하고 있었죠.


60ijv4e6.png


***


그럼 어떻게 구대륙의 사람들은 더 많은 인구를 부양할 수 있었을까요?


그 답은 농업에 적당한 환경과 씨앗에 접근할 기회를 가졌다는 것입니다. 이른바 비옥한 초승달 지대가 그것이죠.


어떤 계산에 따르면 비옥한 초승달 지대의 토지 1에이커(약 4,046평방 미터)는 수렵 채집인보다 거의 100나 맞은 농민과 목축인구를 먹여 살릴 수 있었다. (중략) 실제로 농업사회의 생활수준은 몇천 년 전에 살았던 수렵 채집인보다 훨씬 낮은 수준으로 떨어졌다. - 52쪽


기술수준과 인구밀도가 높아진 대신 1인당 소득은 정체 내지는 하락하는 이른바 '맬서스 트랩'에 걸렸던 것입니다. 대신, 높은 인구 밀도 덕분에 강력한 국가체제와 분업이 가능했고.. 더 나아가 빈번한 전염병 감염 속에 살아 남은 이들은 면역을 가지게 되었습니다. 이게 나중에 호주와 아메리카의 원주민 인구를 급격히 줄이는 요인으로 작용하죠.


Fertile_Crescent.png

출처: Fertile Crescent - Wikipedia


***


기술의 혁신 혹은 새로운 작물의 도입이 일시적으로 사람들의 소득 수준을 올리지만, 결국은 다시 1인당 소득의 하락으로 귀결되는 현상은 18세기 중국에서도 목격되었습니다.


옥수수가 중국에 들어왔을 때, 지역별로 다른 시점에 도입되었다는 사실에 기반해 일종의 '역사실험'이 가능하다. (중략) 연구자들은 중국에 맨 처음 옥수수를 도입한 세 곳의 인구밀도와 소득 수준을 살펴본 후, 이보다 훨씬 늦게 옥수수를 받아들인 지역의 인구밀도와 소득 수준의 차이를 조사했다. (중략)

1776~1910년 간 중국에서 옥수수를 일찍 도입한 3곳의 인구 증가율은 다른 지역보다 10% 높았지만, 임금 수준은 옥수수의 도입 시기와 큰 상관 없어 맬서스의 주장에 부합했다. - 59쪽


결국 1700년부터 시작된 중국의 강력한 인구 증가는 옥수수와 감자를 비롯한 신대륙의 식물 유입으로 설명됩니다. 특히 1800년대의 급격한 인구 증가는 1인당 소득의 감소 가능성을 높이며, 이후 태평천국의 난을 비롯한 다양한 정치적 격변이 발생한 원인으로 작용했던 것 같습니다.


물론, 이게 중국 사회의 정체를 뜻하는 것은 아닙니다. 인구밀도가 늘어났다는 것은 당시의 기술 수준 향상이 아니고는 설명 불가능하죠. 다만 기술 수준의 향상과 인구증가 속도가 비슷하게 움직였다는 이야기로 볼 수 있죠.

1920px-China_population_growth.svg.png

출처: Demographics of China - Wikipedia


***


다음 시간에는 맬서스 함정에 빠져 있던 인간 사회가 어떻게 이를 탈출하게 되었는지에 대해 살펴보도록 하겠습니다.


참고로 예전에 제가 소개했던 책 "맬서스 산업혁명 그리고 이해할 수 없는 신세계"에 대한 서평을 참고하시면 좋을 것 같습니다.


맬서스, 산업혁명 그리고 이해할 수 없는 신세계 : 네이버 블로그 (naver.com)

keyword