매거진 잉여일기

체코일기 2025.11.22 (토)

by 박인식

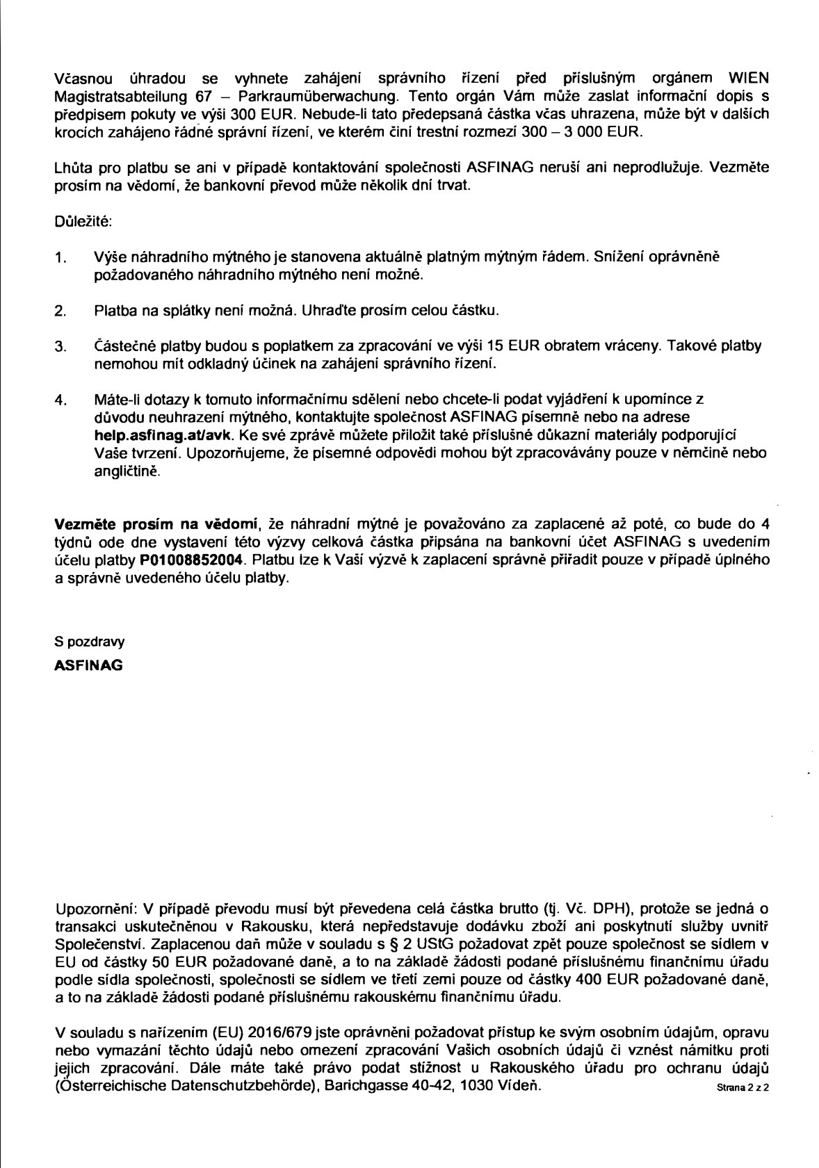
오늘 오스트리아 도로공사에서 벌금 딱지를 받았습니다. 무려 120유로, 20만 원이나 되는군요. 일전에 빈에 다녀올 때 유료도로 통행료를 내지 않았다는 이유에서였습니다. 요금소는 물론 유료도로라는 표지도 보지 못했는데 말입니다.


찾아보니 오스트리아 자동차 전용도로를 통행하려면 사전에 비네트(Vignette)라는 통행권을 사야 한답니다. 통행료가 도대체 얼마이길래 벌금이 그 정도 되나 했더니 10일권이 8유로, 2개월권이 25유로, 그런데 1년권은 100유로밖에 안 한다는군요. 결국 8유로 내면 될 것을 알지 못해서 120유로를 내게 되었습니다. 그 돈이면 1년 내내 돌아다녀도 되는데 밀입니다.


그런데 이 돈은 벌금이라고 하지 않고 대체 통행료라고 한답니다. 통행료 100유로에 부가세 20퍼센트 붙여서 120유로랍니다. 물가가 싸지는 않다 싶었는데, 부가세가 20퍼센트였네요. 체코는 12퍼센트, 사우디는 5퍼센트였던 게 제가 떠나오기 전에 15퍼센트로 올랐고, 그러고 보면 우리나라 부가세 10퍼센트는 양반인 셈입니다.


그런데 비네트라는 통행권을 가지고 있어도 다시 통행료를 내야 하는 구간이 있답니다. 터널이나 고가도로, 관광도로 같은 게 그렇습니다. 그러니 우리가 생각하는 요금소가 있는 도로가 있고, 이를 제외한 자동차 전용도로는 1년에 100유로씩 내야 하고, 그러네요.


벌금은 4주 안에 내야 하는데, 이를 어기면 300유로에서 시작해 3,000유로까지 올라간답니다. 3천 유로면 5백만 원이니, 어마어마하네요. 제가 사우디에서 백만 원짜리 벌금을 내고 기록을 세웠다고 생각했는데, 5백만 원이라니요.


제가 벌금을 문 건 교차로 통행 방법 위반 때문이었습니다. 붉은 신호등일 때 교차로에 진입했다는 건데, 저는 분명히 녹색 신호등일 때 진입했거든요. 경찰서에 이의를 제기했더니 6초짜리 영상을 보여주더군요. 붉은 신호등 아래 제 차가 지나가는 모습이었습니다. 글쎄, 그건 맞지만 진입할 때는 분명히 녹색이었다고 설명해도 소용이 없었습니다. 백만 원 벌금도 크지만, 더 큰 문제는 사우디에서는 같은 위반을 일 년 안에 두 번 하면 벌금이 두 배가 된다는 겁니다. 그러니 교차로 통행 방법 위반을 한 번 더하면 2백만 원을 내야 하는 거지요. 그날부터 교차로 지날 때마다 가슴이 쿵쾅거렸습니다. 신호 바뀌기 전에 건너가자 하는 게 아니라 제발 내 앞에서 붉은 신호등으로 바뀌기를 바란 거지요. 그래서 신호 바뀔 때가 됐다 싶으면 교차로에서 건너가지 않고 우물거리다가 욕도 많이 먹었습니다. 사우디 리야드는 운전이 거칠기로 유명하거든요. 그런데 오스트리아는 5백만 원이라니.


참고로, 오스트리아 전체 도로 128,000킬로미터 중 자동차 전용도로는 1,749킬로미터입니다. 어느 나라나 마찬가지이듯 오스트리아 역시 남북 도로는 홀수, 동서 도로는 짝수 번호를 붙입니다. (국가 대부분이 그렇습니다) 이곳을 자동차로 여행하려는 분이 계시면 명심하세요. 비네트 사전에 인터넷 구매하시고 지나시라.


KakaoTalk_20251122_151101647.jpg
KakaoTalk_20251122_151101647_01.jpg
Noname1.jpg


keyword
매거진의 이전글체코일기 2025.11.20 (목)