통화유동속도와 통화승수로 읽는 한국경제 2부

돈의 속도와 전파력, 우리는 지금은 어디인가?

by 마나월드ManaWorld
Google_AI_Studio_2025-11-01T14_01_46.184Z.png 돈의 속도와 전파력, 우리는 지금은 어디인가?

돈은 많지만 안 돈다는 말, 이번엔 수치로 확인합니다.

우리는 보정속도(V¹), 정규화 좌표(Ṽ, m̃), 그리고 이중확정(AE)으로 '현재'를 판정합니다.

마지막엔 체인화 지수로 "얼마나 왔는가"까지 측정합니다.


1. 전체 설계 방향 - "왜 이렇게 보나"

1.1. 프레임 요약

1부의 개념을, 2부에선 규칙으로 바꿉니다.

1부에서 본 통화유동속도 0.616은 '날것의 데이터'였습니다.


1997년과 2025년을 그대로 비교하는 것은

조선시대 쌀 한 가마와 오늘날 쌀값을 비교하는 것과 같다고 했죠.

각 시대의 구조적 차이를 제거하고 '같은 저울'에 올려놓아야 합니다.


핵심 흐름: 속도(V) → 추세제거(U=V/T) → 레짐 정규화(W,Y) → 신호(AA/AD/AE) → 체인화


1.2. 데이터/표준화

분기·Non-SAAR 기준, 월평잔은 분기평균,

단위는 조원으로 통일했습니다.

이제 엑셀 데이터시트 P열부터 AH열까지 하나씩 정의하고 계산 과정을 공개합니다.

(엑셀 데이터시트는 첨부)


2. 지표 정의와 계산 - "무엇을 어떻게 계산했나"

엑셀 데이터 시트

P열 - 연율화 GDP

• 정의: 분기 GDP를 연간 규모로 환산한 값

• 계산: 분기 GDP × 4

• 의미: 실물경제 규모의 연간 추정치

• 직관: "이 속도로 1년 가면 GDP가 얼마?"


Q열 - 일반 승수 m

• 정의: 통화승수, M2와 본원통화의 비율

• 계산: m = M2 ÷ 본원통화

• 의미: 금융시스템의 신용창출력

• 직관: "씨앗 1원이 몇 원으로 불어나나"


R열 - 일반 속도 V

• 정의: 통화유동속도, GDP와 M2의 비율

• 계산: V = 연율화 GDP ÷ M2

• 의미: 돈이 경제에서 도는 속도

• 직관: "도로의 실제 주행속도"


여기까지가 원시 지표입니다.

하지만 이걸로는 시대 간 비교가 불가능합니다.


S열 - 시간축

• 정의: 연속적 시간 변수

• 계산: 연도 + (분기-1)/4

• 의미: OLS 추세 계산용 x축

• 직관: "시간 눈금자"


T열 - 추세 T(t)

• 정의: 속도의 장기 추세선

• 계산: OLS 회귀로 구한 예측값 T = α̂ + β̂ × t_real

• 의미: "정상적이라면" 나올 속도

• 직관: "제한속도 표지판"


U열 - 보정속도 V¹

• 정의: 추세 대비 상대 속도

• 계산: V¹ = V ÷ T

• 의미: 평년 대비 빠른가/느린가 (1.0이 평균)

• 직관: "제한속도 대비 몇 %로 달리는지"

• 임계값: ≥1.02 "속도 높음", 0.98~1.02 "속도 중립", ≤0.98 "속도 낮음"


V열 - V¹ 중앙값

• 정의: 레짐 내 보정속도의 중앙값

• 계산: median(U) within regime

• 의미: 그 시대의 "보통" 수준

• 직관: "보통 이 정도로 달린다"


W열 - 정규화 속도 Ṽ

• 정의: 레짐 스케일 맞춘 체감 속도

• 계산: Ṽ = U ÷ V

• 의미: 그 시대 기준 빠른가/느린가 (1이 평균)

• 직관: "동년배 평균과 비교한 내 속도"


X열 - 승수 중앙값

• 정의: 레짐 내 승수의 중앙값

• 의미: 그 시대의 평균 전파력

• 직관: "평균적인 기어비"


Y열 - 정규화 승수 m̃

• 정의: 레짐 스케일 맞춘 체감 전파력

• 계산: m̃ = m ÷ X

• 의미: 그 시대 기준 전파력 강한가/약한가

• 직관: "차선이 평소보다 넓은가/좁은가"


Z열 - V¹ 단기라벨

• 정의: 보정속도의 현재 상태

• 계산: U≥1.02 "속도 높음", U≤0.98 "속도 낮음", 그 외 "속도 중립"

• 의미: 오늘의 속도 신호

• 직관: "오늘 신호등 색깔"


AA열 - V¹ 확정신호

• 정의: 속도의 지속적 변화

• 계산: Z가 2분기 연속 같은 방향일 때 "높음 확정" 또는 "낮음 확정"

• 의미: 일시적이 아닌 추세 확인

• 직관: "진짜 바뀐 건가?"


AB열 - 사분면

• 정의: 속도×전파력 조합 국면

• 계산: W와 Y의 사분면 위치

• 확장: W>1, Y>1 (빠르고 넓게)

• 회복: W>1, Y<1 (빠르지만 좁게)

• 혼합: W<1, Y>1 (느리지만 넓게)

• 수축: W<1, Y<1 (느리고 좁게)

• 의미: 경제의 현재 상태

• 직관: "빠르기×넓이로 본 도로 상황"


AC열 - m̃ 단기라벨

• 정의: 전파력의 현재 상태

• 계산: Y≥1.02 "전파력 높음", Y≤0.98 "전파력 낮음", 그 외 "전파력 중립"

• 의미: 오늘의 전파력 신호

• 직관: "오늘 차선 상황"


AD열 - m̃ 확정신호

• 정의: 전파력의 지속적 변화

• 계산: AC가 2분기 연속 같은 방향일 때 확정

• 의미: 구조적 전파력 변화

• 직관: "차선이 계속 넓어지나/좁아지나"


AE열 - 이중확정

• 정의: 속도와 전파력 동시 확정

• 계산: AA와 AD가 모두 같은 방향일 때 "이중확정↑" 또는 "이중확정↓"

• 의미: 레짐 전환급 신호

• 직관: "빠르고 넓게가 동시에 켜짐"


AF열 - V¹ 체인지수

• 정의: 보정속도의 상대 지수

• 계산: 1998Q2=100 기준 지수화

• 의미: IMF 대비 속도 수준

• 직관: "IMF 때를 100이라 하면 지금은?"


AG열 - V 체인지수

• 정의: 원시속도의 상대 지수

• 계산: 1998Q2=100 기준 지수화

• 의미: 절대속도의 역사적 위치

• 직관: "실제 주행속도 역사적 비교"


AH열 - m̃ 체인지수

• 정의: 정규화 전파력의 상대 지수

• 계산: 1998Q2=100 기준 지수화

• 의미: IMF 대비 전파력 수준

• 직관: "차선 넓이 역사적 비교"


3. 공식 선택의 이유 - "왜 이렇게 계산하나"

3.1. 왜 V/T로 나누는가 (추세 제거)

1998년 통화유동속도는 0.92, 2025년은 0.61입니다.

단순 비교하면 "지금이 더 나쁘다"고 결론 내릴 수 있습니다.


하지만 이는 틀렸습니다.


각 시대는 구조적으로 다릅니다.

디지털 경제 비중, 금융 시스템 발달, GDP 대비 M2 비율이 모두 다릅니다.

OLS 추세선으로 이런 구조적 변화를 제거하고,

V/T로 나누면 1.0이 평균이 됩니다.


이제 시대 무관하게 비교 가능합니다.


3.2. 왜 중앙값 정규화인가

IMF 때와 COVID 때는 경제 구조가 완전히 다릅니다.


각 레짐의 중앙값으로 나누면

그 시대 내에서의 상대 위치를 알 수 있습니다.

평균 대신 중앙값을 쓴 이유는 이상치에 강건하기 때문입니다.


3.3. 왜 비율형(V/T)이지 잔차형(V-T)이 아닌가

비율형은 직관적입니다. 1.05는 "5% 빠름"을 의미합니다.

잔차형은 절대값 해석이 어렵고 시대별 스케일이 다릅니다.

독자가 바로 이해할 수 있는 비율형을 선택했습니다.


3.4. 왜 1.02/0.98 임계값인가

±2%는 통계적 노이즈와 실질 변화의 경계입니다.

고정값을 쓰면 시대 무관하게 일관된 기준을 적용할 수 있습니다.


3.5. 왜 2분기 연속인가

1분기는 계절성이나 일시적 충격일 수 있습니다.

2분기 연속이면 지속성을 확인할 수 있습니다.

3분기 이상은 신호가 너무 늦어집니다.


3.6. 왜 1998Q2=100인가

1998년 2분기는 IMF 외환위기의 정점입니다.

한국 경제사 최악의 순간을 100으로 놓고

"그때보다 나은가/나쁜가"를 비교합니다.

123이면 IMF보다 23% 높다는 뜻입니다.


4. 레짐화 결과 해석 - "지금은 어디인가"

4.1. 현재 6분기 패널 (2024Q1 ~ 2025Q2)

좌표·신호·라벨을 한 눈에 봅시다.

24-25-1.png

4.2. 현재 위치 해석 - 2025년 2분기

A. 돈의 속도는 어떤가요?

보정속도(V¹)가 1.059입니다.

이는 평년보다 5.9% 빠르다는 뜻입니다.


고속도로에 비유하면,

제한속도 100km/h 구간에서 106km/h로 달리는 셈입니다.

정상보다 약간 빠른 속도죠.


2024년 내내 "높음 확정" 상태였다가

2025년 1분기에 잠깐 숨을 고른 후,

2분기에 다시 속도를 냈습니다.


B. 그런데 왜 체감이 안 될까요?

정규화승수(m̃)가 0.720입니다.

은행의 신용창출력이 평소의 72% 수준이라는 뜻입니다.


도로에 비유하면 이렇습니다.

고속도로 본선은 뚫렸는데(속도 회복),

진입로와 연결도로가 막혀있습니다(전파력 부족).


일부 차량만 빠르게 달리고, 대부분은 여전히 정체 구간에 있는 거죠.


더 충격적인 건 이 상태가 2022년 1분기부터 14분기째 지속되고 있다는 점입니다.

"m̃확정신호"가 "낮음 확정"으로 3년 반째 고정되어 있습니다.


C. IMF 때와 비교하면?

V¹체인지수가 123.1입니다.

IMF 최악의 순간(1998년 2분기)을 100으로 놨을 때,

지금 보정속도는 그때보다 23% 높습니다.


"그때보단 낫네"라고 생각할 수 있습니다.


하지만 m̃체인지수는 46.5입니다.

전파력이 IMF 때의 절반도 안 된다는 뜻입니다.

IMF 때는 돈은 안 돌았지만 은행들이 예금을 받아 대출할 준비는 되어 있었습니다.

지금은 그 능력 자체가 반토막 난 상태입니다.


D. "회복" 사분면의 의미

현재 우리는 "회복" 사분면에 있습니다.

속도는 정상 이상(Ṽ=1.034)이지만 전파력은 여전히 약합니다(m̃=0.720).


이는 마치 병에서 회복 중인 환자와 같습니다.

열은 내렸고(속도 회복) 의식도 돌아왔지만,

아직 혼자 걸을 힘은 없습니다(전파력 부족).

완전한 회복까지는 시간이 더 필요한 상태입니다.


이어서 과거 레짐들과 비교해봅시다.


5. 역사적 레짐 분석 - "과거는 어떻게 움직였나"

5.1. IMF 외환위기 레짐 (1996-1999)

96-99.png

A. 1996년 - 폭풍 전야

겉으로는 평온했습니다.

일반속도(V)가 1.2대로 지금의 두 배였죠.

하지만 보정속도(V¹)를 보면 1.0 근처로 평년 수준이었습니다.


진짜 문제는 전파력이었습니다.

정규화승수(m̃)가 0.7~0.9로 계속 낮았고,

"m̃확정신호"는 4분기 내내 "낮음 확정"이었습니다.


은행들이 이미 불안을 감지하고 대출을 조이기 시작한 거죠. 폭풍 전의 고요함이었습니다.


B. 1997년 - 위기 진입

1분기에 보정속도(V¹)가 0.933으로 급락했습니다.

돈이 갑자기 안 돌기 시작한 거죠.


그런데 이상한 일이 벌어졌습니다.

정규화승수(m̃)가 1.080으로 오히려 상승했고,

2분기부터는 "m̃확정신호"가 "높음 확정"으로 바뀌었습니다.


왜일까요?

사람들이 현금을 들고 은행으로 몰려갔기 때문입니다.

"일단 은행에라도 넣어두자"는 심리였죠.


사분면이 "혼합"인 이유입니다.

속도는 느린데 승수만 높은 기형적 상태였습니다.


C. 1998년 - 최악의 순간

2분기가 한국 경제사 최악의 순간입니다.

보정속도(V¹)가 0.861로 바닥을 찍었습니다.


평소의 86% 속도로만 돈이 돌았다는 뜻입니다.

반면 정규화승수(m̃)는 1.548로 폭등했습니다.


아무도 돈을 쓰지 않고 은행에만 쌓아뒀습니다.

전형적인 "현금 장롱" 시대였죠.


이 시점을 체인지수 100의 기준으로 삼은 이유가 여기 있습니다.


D. 1999년 - 회복의 신호

3분기에 보정속도(V¹)가 1.030으로 평년을 넘어섰습니다.


돈이 다시 돌기 시작한 거죠.

그리고 4분기, 역사적 순간이 왔습니다.


첫 이중확정↑이 나타났습니다.


속도도 빠르고(V¹=1.089),

전파력도 강한(m̃=1.313)

완벽한 "확장" 사분면 진입입니다.


이 신호가 나온 후 6개월 내에 한국경제는 본격 회복했습니다.


5.2. 글로벌 금융위기(GFC) 레짐 (2007-2009)

07-09-1.png

A. 2007년 - 마지막 불꽃

폭풍 전 마지막 축제였습니다.

1년 내내 "이중확정↑"이 유지됐습니다.


보정속도(V¹)는 1.15~1.37로 평년보다 15~37% 빨랐고,

정규화승수(m̃)도 1.15~1.22로 강했습니다.


완벽한 "확장" 국면이었지만, 이게 오히려 위험 신호였습니다. 과열이었던 거죠.


미국에서는 이미 서브프라임 문제가 터지고 있었지만,

한국은 여전히 달리고 있었습니다.


B. 2008년 - 리먼 쇼크

9월 15일 리먼브라더스가 파산했습니다.

그런데 3분기까지도 "이중확정↑"이 유지됐습니다.

금융위기가 실물로 전파되는 데 시간이 걸렸기 때문입니다.


4분기 정규화속도(Ṽ)가 정확히 1.000으로 떨어지며 중립으로 이동했습니다.

폭풍의 시작이었죠.


C. 2009년 - 양적완화 시대

전 세계가 돈을 풀기 시작했습니다. 한국도 기준금리를 2%로 내렸죠.


1분기에 보정속도(V¹)가 0.942로 떨어졌지만,

IMF 때처럼 극단적이진 않았습니다.


정규화승수(m̃)는 여전히 1.0 이상을 유지했습니다.

중앙은행이 푼 돈이 실물로 나가지 않고 금융권에 머물렀습니다.


"혼합" 사분면이 지속된 이유죠.


5.3. 코로나 팬데믹 레짐 (2020-2022)

20-22.png

A. 2020년 - 멈춰버린 세상

세상이 멈췄는데 보정속도(V¹)는 1.06~1.08로 오히려 높았습니다.

GDP가 더 빨리 떨어졌기 때문입니다.


진짜 문제는 정규화승수(m̃)였습니다.

0.70대로 급락했죠. 은행들이 대출을 완전히 멈췄습니다.


B. 2021년 - 유동성 과잉

역사상 가장 많은 돈이 풀렸는데,

일반속도(V)는 0.62~0.65로 역대 최저였습니다.


돈이 자산시장(주식, 부동산, 코인)으로만 몰리고 실물로는 안 갔습니다.


C. 2022년 - 긴축 전환

인플레이션과 싸우기 위해 금리를 올리기 시작했습니다.

1분기에 "수축" 사분면에 진입했다가 하반기에 회복했지만,

정규화승수(m̃)는 0.68~0.70에서 꼼짝도 안 했습니다.


이때부터 현재까지 "m̃확정신호"가 "낮음 확정"으로 고정됐습니다.

14분기째 이어지는 전파력 부진의 시작점이었죠.


6. 현재와 과거의 비교 - "우리는 어떤 위기와 닮았나"

6.1. 현재 vs IMF 외환위기

IMF 최악 시점 (1998Q2)

• 보정속도(V¹): 0.861

• 정규화승수(m̃): 1.548

• 사분면: 혼합 (속도↓, 전파력↑)

• 특징: 돈은 안 돌지만 은행에는 쌓임


현재 (2025Q2)

• 보정속도(V¹): 1.059

• 정규화승수(m̃): 0.720

• 사분면: 회복 (속도↑, 전파력↓)

• 특징: 돈은 도는데 은행이 안 퍼뜨림


정반대입니다.


IMF 때는 사람들이 돈을 안 썼지만 은행에는 예금이 쌓였습니다.

지금은 민생지원금으로 돈이 돌긴 하는데, 은행들이 대출을 안 해줍니다.


체인지수로 보면 더 명확합니다.


현재 V¹체인지수는 123.1로 IMF보다 23% 높지만,

m̃체인지수는 46.5로 절반도 안 됩니다.

IMF 때보다 상황이 나은 건지 나쁜 건지 단순 비교가 어려운 이유입니다.


6.2. 현재 vs 글로벌 금융위기

GFC 직후 (2009Q1)

• 보정속도(V¹): 0.942

• 정규화승수(m̃): 1.081

• 사분면: 혼합

• 특징: 양적완화 시작, 금융권에 유동성 정체


현재 (2025Q2)

• 보정속도(V¹): 1.059

• 정규화승수(m̃): 0.720

• 사분면: 회복

• 특징: 재정지원 효과, 신용창출 부진


금융위기 때는 중앙은행이 금리를 내리고 돈을 풀었습니다.

그 돈이 금융권에는 머물렀지만 전파력(m̃)은 1.0 이상을 유지했죠.

지금은 금리를 못 내리니 재정으로 우회했고, 전파력은 0.72로 바닥입니다.


6.3. 현재 vs 코로나 팬데믹

코로나 회복기 (2020Q4)

• 보정속도(V¹): 1.080

• 정규화속도(Ṽ): 1.055

• 정규화승수(m̃): 0.702

• 사분면: 회복


현재 (2025Q2)

• 보정속도(V¹): 1.059

• 정규화속도(Ṽ): 1.034

• 정규화승수(m̃): 0.720

• 사분면: 회복


93% 유사도입니다.

거의 같은 패턴을 보입니다.


속도는 정상 이상이지만 전파력은 바닥인 "회복" 사분면.


차이점은 원인입니다.

코로나 때는 락다운으로 경제가 멈췄지만,

지금은 구조적 문제입니다.


코로나는 백신이 나오면 끝이지만,

지금의 신용경색은 해법이 불명확합니다.


7. 투자 시사점 - "신호등은 무슨 색인가"


현재 신호 판정: 노란불


7.1. 왜 노란불인가?

속도는 회복했습니다(V¹=1.059).

하지만 전파력이 죽어있습니다(m̃=0.720).


은행이 돈을 안 빌려주니

기업이 투자를 못 하고,

일자리가 안 늘어납니다.


무엇보다 이중확정이 없습니다.


역사를 보면 "이중확정↑" 없이는 진짜 호황이 오지 않았습니다.

IMF는 1999Q4에 이중확정 후 회복했고,

금융위기는 이중확정 없이 2년간 정체했습니다.


7.2. 시나리오별 확률과 전략

시나리오 1: 확장 진입 (30%)

• 트리거: m̃이 1.0 돌파 + 2분기 유지

• 신호: 은행 대출 증가율 상승

• 전략: 성장주, 중소형주 비중 확대


시나리오 2: 회복 지속 (50%)

• 현 상태 유지 (속도↑, 전파력↓)

• 민생지원금 효과 점진적 소멸

• 전략: 대형주, 배당주 중심


시나리오 3: 수축 전환 (20%)

• 트리거: V¹이 0.98 이하로 하락

• 신호: 2025Q1처럼 속도 둔화 재발

• 전략: 현금 비중 확대, 방어주


7.3. 섹터별 포지셔닝

현재 "회복" 사분면에 맞는 전략:


오버웨이트

• 내수 서비스: 민생지원금 직접 수혜

• 필수소비재: 경기방어 + 약간의 개선

• 대형 우량주: 자체 현금흐름 강함


중립

• 금융: 전파력 회복 시 수혜 가능

• 산업재: 설비투자 회복 대기


언더웨이트

• 성장주/테크: 금리 부담 + 자금조달 어려움

• REITs: 국채금리 상승 압박

• 중소형주: 신용경색 직격탄


8. 결론 - "반쪽짜리 회복, 그 다음은?"

우리가 확인한 것

2025년 2분기 현재, 한국경제는 "반쪽짜리 회복" 중입니다.


8.1. 좋은 절반:

• 보정속도(V¹) 1.059로 추세 상회

• 민생지원금 효과 확인

• IMF보다는 확실히 나은 상황


8.2. 나쁜 절반:

• 정규화승수(m̃) 0.720으로 14분기째 바닥

• 은행 신용창출 기능 마비

• 이중확정 신호 부재


8.3. 핵심 메시지

"돈은 돌기 시작했지만, 아직 퍼지지는 않는다"


2024년부터 통화유동속도가 개선되고 있지만,

구조적 문제는 해결되지 않았습니다.

진정한 회복은 이중확정↑이 나타날 때 시작됩니다.


8.4. 관찰 포인트

매월 확인할 3가지:


1. m̃이 0.75를 넘는가? (전파력 회복 신호)

2. V¹이 1.02 이상 유지되는가? (속도 지속성)

3. 은행 대출증가율이 상승하는가? (신용 해빙)


2분기 연속 개선이 확인되면, 그때가 진짜 기회입니다.


8.5. 마지막 당부

1부에서 말했듯이, 경제는 복잡하지만 이해 불가능하지 않습니다.

이제 여러분은 엑셀 P열부터 AH열까지 모든 지표를 이해했습니다.


매월 한국은행 통계를 확인하고, 직접 계산해보세요.

전문가 의견에 의존하지 말고, 데이터를 보고 스스로 판단하세요.


우리가 만든 이 프레임워크는 계속 사용할 수 있습니다.

데이터만 업데이트하면 됩니다.


경제의 봄은 반드시 옵니다.

다만 그 시점을 정확히 아는 것이 중요합니다.

이중확정↑이 그 신호입니다.


9. 부록 - 공식·방법론 공개 "정확히 어떻게 계산했나"

9.1. 왜 이런 복잡한 계산이 필요한가

단순 비교의 함정

많은 분석이 이렇게 합니다:

• "작년 대비 M2 증가율 3.5%"

• "전분기 대비 속도 하락"

• "10년 평균보다 낮음"


하지만 이런 비교는 치명적 오류가 있습니다.

1998년과 2025년은 경제 구조 자체가 다릅니다.

스마트폰도 없던 시대와 AI 시대를 그냥 비교할 수 있을까요?


필자는 3단계 보정을 통해 "같은 저울"을 만들었습니다.


9.2. 1단계: 원시 지표 계산

공식1.png

9.2. 2단계: 추세 제거 (왜 필요한가) - 구조적 하락을 제거하는 OLS

공식2.png

9.3. 3단계: 레짐 정규화 (시대 간 비교)

공식3.png

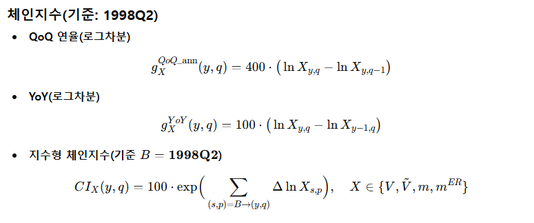
9.4. 4단계: 체인지수 (역사적 비교)

공식4.png

9.5. 신호 체계: 노이즈 제거

임계값은 왜 ±2%인가?

• ±1%: 너무 민감, 잦은 신호 변경 (노이즈)

• ±2%: 적정, 의미 있는 변화 포착

• ±3%: 너무 둔감, 신호 지연


9.6. 왜 2분기 연속인가?

1분기의 문제:

• 계절 요인 (설날, 추석)

• 일시적 정책 효과

• 통계 오류


3분기의 문제:

• 신호 너무 늦음

• 기회 상실


2분기가 최적:

• 지속성 확인

• 적시성 확보


9.7. 자주 묻는 질문

Q: 왜 로그 변환 안 했나요?

A: 속도와 승수는 이미 비율입니다.

로그 변환하면 해석이 어려워집니다.

추세 제거 시에만 로그-선형을 대안으로 검토했습니다.


Q: 왜 표준편차 정규화(Z-score) 안 썼나요?

A: 표준편차는 변동성에 민감합니다. 중앙값 정규화가 더 안정적이고 해석도 쉽습니다.


Q: SAAR GDP면 어떻게 하나요?

A: ×4를 빼면 됩니다. 이미 연율화되어 있으니까요.


Q: 다른 나라와 비교 가능한가요?

A: 네. 같은 방법론을 적용하면 됩니다.

다만 각국의 레짐은 다르게 정의해야 합니다.


이제 모든 계산 과정을 공개했습니다.

누구나 재현할 수 있습니다.



마나월드 코멘트:

정말 아찔 아찔했습니다. 데이터 취합하고 수식 만들어 놓은 엑셀이 실수로

초기화 되는 바람에 정말 식겁했습니다. 처음부터 다시. 복구하는데 2일이나 걸렸습니다. ㅠ.ㅠ


이제 "통화유동속도와 통화승수로 읽는 한국경제 3부" 생각하고 있는건

현재는 거시적인 부분만 다뤘고. 데이터 구성에서 보면 M2 통화량도 4가지.

개인 , 기업 , 금융기관, 지방정부&사회보장기구


GDP구성요소를 보면 농림어업, 음식료품, 컴퓨터&전자, 1차금속 제조업 등등 되어 있습니다.


M2를 주체별(개인/기업/금융/지방정부)로 분해하고,

GDP를 산업별로 세분화하여 교차분석 하면 훨씬 정밀한 분석이 가능합니다.

각 경제주체의 돈이 어느 산업에서 얼마나 빠르게 도는지 한번 교차분석 해보겠습니다.



1. 원시데이터

레짐 원시데이터-00.jpg

2. 가공데이터

레짐 가공데이터-01.jpg


keyword
이전 12화러닝: 2,500만건 데이터로 본 5Km 기록 현실기준