brunch

2. [수학 일반] 수학이란 무엇인가?

수학이란 현상을 추상화하여 개념적으로 생각하는 것이다

by 박종하
2019-01-10 16;06;26.PNG


먼저 질문1에 대해 살펴볼까요? 이 질문은 영화 다이하드 3편에 나오는 문제입니다. 5L 물통과 3L 물통을 이용하여 4L을 정확하게 채우는 문제는 다음과 같이 하면 됩니다.

① 5L 물통에 물을 채운다. (5L 물통: 5, 3L 물통: 0)

② 5L 물통의 물을 3L 물통에 옮겨 붓는다. (5L 물통: 2, 3L 물통: 3)

③ 3L 물통의 물을 비운다. (5L 물통: 2, 3L 물통: 0)

④ 5L 물통의 물을 3L 물통에 옮겨 붓는다. (5L 물통: 0, 3L 물통: 2)

⑤ 5L 물통에 물을 채운다. (5L 물통: 5, 3L 물통: 2)

⑥ 5L 물통의 물을 3L 물통에 옮겨 붓는다. (5L 물통: 4, 3L 물통: 3)


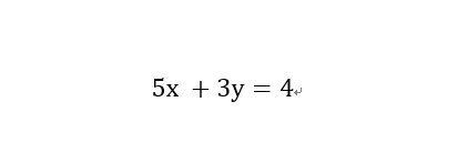
질문1을 풀 때에는 질문2에 나오는 수식을 생각하면 훨씬 효과적으로 접근할 수 있습니다. 5L 물통에 x번 물을 넣고, 3L 물통에 y번 물을 넣어서 4L을 만드는 겁니다. 물을 채우는 것은 ‘플러스 값’이고 비우는 것을 ‘마이너스 값’으로 생각하면 됩니다.

2019-01-10 16;08;55.PNG

5x + 3y = 4을 풀어보면 x = 2, y = -2 입니다. 따라서, 5L 물통에 물을 2번 붓고 3L 물통의 물을 2번 버린다는 생각으로 문제에 접근하면 질문1을 풀었던 방법을 생각할 수 있습니다.


5x + 3y = 4을 x= -1, y = 3과 같이 풀 수도 있습니다. 이렇게 수식을 풀었다면 3L 물통을 3번 채워서 5L 물통을 한번 비우는 것으로 문제를 해결할 수 있겠죠. 다음과 같이 하면 됩니다.

① 3L 물통에 물을 채운다. (3L 물통: 3, 5L 물통: 0)

② 3L 물통의 물을 5L 물통에 옮겨 붓는다. (3L 물통: 0, 5L 물통: 3)

③ 3L 물통에 물을 채운다. (3L 물통: 3, 5L 물통: 3)

④ 3L 물통의 물을 5L 물통에 옮겨 붓는다. (3L 물통: 1, 5L 물통: 5)

⑤ 5L 물통에 물을 비운다. (3L 물통: 1, 5L 물통: 0)

⑥ 3L 물통의 물을 5L 물통에 옮겨 붓는다. (3L 물통: 0, 5L 물통: 1)

⑦ 3L 물통에 물을 채운다. (3L 물통: 3, 5L 물통: 1)

⑧ 3L 물통의 물을 5L 물통에 옮겨 붓는다. (3L 물통: 0, 5L 물통: 4)


물통에 물을 넣었다 빼는 과정을 수식 ‘5x + 3y = 4’으로 표현했을 때, 이 수식을 만족시키는 해가 두 가지였기 때문에 두 가지 방법으로 4L의 물을 채우는 방법이 만들어졌던 것입니다. 이렇게 일상의 문제를 수식으로 표현하면 문제에 대해 더 잘 이해하게 되고 해결방법을 확실하게 생각할 수 있는 겁니다.



일상의 문제를 수학적으로 표현하기

수학이란 우리 일상의 문제를 숫자와 식 또는 도형과 같은 수학적인 언어로 표현하는 것입니다. 그리고 그것을 수학적인 방법을 통하여 해결하는 것이죠. 수학은 우리가 살고 있는 생활과 동떨어져있는 것이 아닙니다. 일상의 모든 문제는 수학적으로 표현이 가능합니다. 가령, 이런 질문을 해볼까요?


질문: 어느 우리에 토끼와 닭이 있다. 이들의 머리를 세어보니 35개였고, 다리는 94개였다. 우리에는 토끼와 닭이 각각 몇 마리씩 있는 것인가?


우리는 토끼를 x, 닭을 y로 놓고, 다음과 같은 식을 세울 수 있습니다.

① x + y = 35

② 4x + 2y = 94


이것은 토끼와 닭의 머리는 각각 하나씩인데, 토끼는 다리가 4개이고 닭은 다리가 2개인 것을 이용하여 세운 식이죠. 이 식을 계산하여 x, y를 구하면 토끼와 닭이 각각 12마리, 23마리가 있다는 것을 알 수 있습니다. 아주 간단하고 쉬운 문제지만, 이것이 우리가 일상에서 수학을 사용하는 가장 대표적인 방법을 잘 보여주고 있는 겁니다. 이 과정을 프로세스로 정리해서 생각해보면,

① 우리가 겪는 일상의 문제 또는 현상을 추상화하여 수학적으로 표현함

② 수학적인 언어로 표현된 문제를 수학적인 방법으로 해결함

③ 수학적으로 해결된 것을 현실적인 상황으로 구체화함


2019-01-10 16;17;20.PNG


유명한 문제의 해결

현상을 추상화하여 수학적으로 해석하고, 수학적인 방법을 찾아서 해결한 역사적으로 유명한 문제 하나를 소개합니다. 그것은 일명 쾨니히스베르크(Koonigsberg)의 다리 문제입니다. 쾨니히스베르크는 옛 프러시아의 수도이며 지금은 러시아의 칼리닌그라드인데요, 이 도시에는 다음과 같이 다리가 있고, 다리와 관련하여 이럼 문제가 있었습니다.


“7개의 다리를 한 번씩만 지나면서 네 구역을 모두 다녀올 수 있을까?”

다리.jpg


이 간단한 질문에 정확한 답을 내놓는 사람이 없었다고 합니다. 경우의 수를 따져보면 생각보다 많고 복잡하여 가능한지, 불가능한지 대답할 수가 없는 문제로 여겨졌습니다. 이 문제를 해결한 사람은 오일러였습니다. 그는 주어진 일상의 문제를 다음과 같이 추상화하여 수학적인 언어로 표현했습니다.


“다음 그림에서, 종이에서 연필을 떼지 않고 한 점에서 출발하여 모든 점을 돌고 선은 한번만 지나도록 하는 방법은?”

2019-01-10 16;22;15.PNG

오랜 시간 동안 사람들을 괴롭혔던 문제가 한 붓 그리기 문제로 바뀐 것입니다. 이렇게 일상의 문제가 수학적으로 표현된 후에는 이제 한 붓 그리기에 대한 수학적인 방법을 찾아서 해결하면 되는 것으로 문제가 바뀐 것입니다.


한 붓 그리기 문제의 해결을 위해 오일러는 먼저 모든 점을 2종류로 나눴습니다. 점에 연결된 선이 홀수개인 점과 짝수개인 점으로 나눈 겁니다. 점에 연결된 선이 짝수개인 경우는 그 점으로 들어왔던 선이 다른 점으로 나가게 되는데, 점에 연결된 선이 홀수개인 경우는 들어온 후에 나가지 못하는 선이 꼭 하나 생기게 됩니다. 따라서, 한 붓 그리기 문제는 모든 꼭지점에 연결된 선이 짝수 개일 때만 가능합니다. 출발점과 도착점이 다르다면 홀수 개로 연결된 점이 정확히 2개 있을 때 가능합니다. 쾨니히스베르크의 다리 문제는 모든 점에 연결된 선이 홀수 개이기 때문에 한 붓 그리기가 불가능한 것입니다.


가령, 다음 도형을 종이에서 연필을 떼지 않고 모든 선을 한번씩만 지나서 A, B, C, D, E 점을 연결해볼까요?

2019-01-10 16;23;06.PNG

그냥 마구잡이로 하면 이 문제는 해결하기 어렵습니다. 먼저, 꼭지점들이 몇 개의 선과 만나는지 세어보세요. A와 E는 홀수 개(3개)의 선과 만나고 나머지는 짝수 개의 선과 만납니다. 따라서, A에서 출발하여 E에서 끝나게 한붓그리기를 하면 가능하고, B, C, D에서 출발하면 불가능한 것입니다.



좁은 수학과 넓은 수학

우리가 겪는 일상의 문제는 다양한 형태로 추상화됩니다. 2차 방정식으로 표현되기도 하고, 확률 방정식으로 표현되기도 합니다. 이미지와 영상을 다루는 사람들은 자신들이 처리하는 영상이나 이미지를 하나의 함수로 추상화하여 미분하며 경계를 찾기도 하고 때로는 영상을 압축하기도 합니다. 앞에서 살펴본 오일러의 쾨니히스베르크의 다리 문제도 일반적인 기하학과 조금 다른 방법으로 추상화하여 문제를 해결한 경우이죠. 실제로 오일러는 이 문제를 통하여 새로운 기하학을 탄생시켰고 더 확장된 수학의 분야가 후대의 연구를 통하여 만들어지기도 했습니다.


수학이라고 하면 우리는 복잡한 계산을 생각하는 경우가 많습니다. 또는 어려운 방정식을 수학적인 개념으로 풀어내는 것을 주로 생각하죠. 하지만, 그것은 ‘좁은 의미의 수학’이라고 할 수 있습니다. 앞에서 살펴본 것과 같이 현상의 문제를 추상화하여 수학적으로 표현하고 그것을 해결하여 자신의 문제에 구체적으로 적용하는 과정을 모두 포함하는 것이 ‘넓은 의미의 수학’이라고 할 수 있죠.

2019-01-10 16;27;59.PNG

여기에 표시된 과정은 모두 단계단계 중요합니다. 그런데, 조금 더 중요한 과정이 있다면 어느 부분일까요? 저는 ‘좁은 의미의 수학’이라고 표현한 부분보다는 우리가 겪는 일상의 문제를 수학적인 언어로 추상화하는 부분이 가장 중요하다고 생각합니다. 좁은 의미의 수학이라고 말한 과정을 빠르고 정확하게 처리하는 것에만 초점을 맞추고 있다면 더 넓은 의미의 수학에 관심을 갖는 것이 필요할 것 같습니다.


박종하

mathian@daum.net



keyword
매거진의 이전글11. [기하학] 설명 없는 증명