brunch

한 마을에는 얼마나 많은 대장장이가 필요한가?

지속 가능한 학계를 위해 무엇을 결단해야 하는가?

by 권석준 Seok Joon Kwon

간단한 산수 이야기를 해 보려고 합니다.


어떤 마을에 구두 장이가 한 명 살고 있었습니다. 마을 사람들은 구두 장이가 만드는 구두를 사서 신고, 구두가 닳으면 새 구두를 사거나 구두를 고쳐서 신었습니다. 마을 사람들은 구두 장이의 작업 속도나 실력에 대해 별로 불만을 갖지 않았지만, 시간이 흐르면서 구두 장이의 기력도 쇠하고 실력도 예전 같지 않음을 느끼면서, 구두 장이에게 제자를 들이거나 자식을 낳아 구두 장이로 키우면 어떻겠냐고 제안합니다. 구두 장이는 그 제안이 좋아 보였지만, 지금 수입으로는 제자를 밑에 두거나 자식을 키울만한 여력이 되지 않는다고 말했습니다. 마을 사람들은 회의 끝에, 구두 장이가 제자를 들여서 키우는 비용과 그에 대한 수업료는 마을에서 부담하겠다고 합니다. 비용이 제해지고 추가 수입을 얻는 대신, 구두 장이는 제자를 확실히 키워서 자신의 실력에 버금가는 수준이 되면 독립시키거나 자신의 가게를 물려주겠다는 약속을 했습니다. 구두 장이 입장에서도 본인의 기술이 후대로 전수되고, 마을에 기여도 하고, 또 보람도 있는 일이니 나쁠 것이 없었습니다.


첫 제자를 받은 지 대략 5년 정도 지나니, 제법 쓸만한 구두 장이가 한 명 탄생했습니다. 이제 구두 장이가 예전만큼 열심히 일하지 않아도 제자가 일을 같이 해 주니 업무가 원활하게 잘 소화됩니다. 하지만, 젊은 제자는 본인도 독립하여 자신의 가게를 갖기를 원했습니다. 구두 장이는 고민 끝에, 마을 사람들에게 이 제자가 독립하여 가게를 차려도 되겠는지 물어봅니다. 마을 사람들은 가게가 한 개 더 생겨도 나쁠 것이 없어 보여서 그렇게 하자고 합니다. 이제 마을에는 구두 장이가 두 명 생겼습니다. 하지만, 원조 구두 장이는 제자가 독립하자, 뭔가 쓸쓸합니다. 그리고 기력도 딸리고 해서, 또 창창한 젊은이 한 사람을 제자로 받았습니다.


다시 5년이 지났습니다. 마을에는 이제 구두 장이가 몇 명이 되었을까요? 원조 구두 장이, 1호 제자, 그리고 2호 제자 총 세 명일 까요? 그럴 수도 있겠죠. 그런데 놀랍게도, 1호 제자가 가게를 차리면서 자신의 제자를 또 배출했네요. 즉, 원조 구두 장이, 1호 제자, 2호 제자, 그리고 1호의 1호 제자까지 총 4명의 구두 장이가 나왔습니다. 이제 마을은 네 명의 구두 장이가 같이 비즈니스를 하기에는 좀 좁아졌습니다. 그렇다고 터줏대감인 선생이 마을을 떠날 수는 없는 노릇이니, 제자들이 떠나, 인근에 구두 장이가 없는 이웃 마을로 진출합니다. 그 마을 사람들은 당연히 다른 마을까지 구두 맞추러 갈 필요가 없다며 좋아합니다.


다시 5년이 지났습니다. 이제 구두 장이는 총 몇 명이 되었을까요? 원조 구두 장이, 1호 제자, 2호 제자, 3호 제자, 1호의 1호 제자, 1호의 2호 제자, 그리고 2호의 1호 제자, 1호의 1호의 1호 제자 이렇게 총 8명이 되었습니다. 1, 2, 4, 8명이라니... 뭔가 기하급수적으로 늘어나는 것 같네요. 사실 간단한 산수를 하면 금방 그렇게 된다는 것을 알 수 있습니다. 이는 마치 파스칼의 삼각형 같은 원리죠. 원조 구두 장이를 1세대, 1호 제자를 2세대, 2호 제자를 3세대 등이라고 칭해 봅시다. 그리고 N세대만큼의 시간이 지났을 때, k세대의 구두 장이 숫자, a(k, N)는 다음과 같이 쓸 수 있습니다.


a(k, N) = a(k, N-1) + a(k-1, N-1) (1)


위의 공식은 파스칼의 삼각형 공식과 정확히 같습니다. 그리고 이항 분포의 계수 합과도 일치하죠. 당연히, N세대만큼의 시간이 지났을 때, 원조부터 마지막 제자까지 전체 구두 장이의 숫자는 (1+1)^N이 될 것입니다. 1세대가 지나면 (1+1)^1 = 2명, 2세대가 지나면 (1+1)^2 = 4명, 3세대가 지나면 (1+1)^3 = 8명이 되니까, 세대가 거듭되면 이제 구두 장이의 숫자는 페트리 디쉬의 대장균 마냥 두 배씩 늘어나서 마을 전체 인구가 구두 장이가 되어 버리는 것은 시간문제가 됩니다. (물론 마을 사람들이 모두 구두 장이가 되겠다고 한다면 말이죠.) 10세대만 지나가도 1,024명이 되니까요. 마을 사람들은 이런 간단한 산수를 해 본 결과에 경악합니다. 1세대를 5년씩만 잡아도, 50년 후에는 구두 장이로 온 마을이 가득 찰 것이니 말입니다.


이런 결과를 받아들이지 못한 나머지, 구두 장인들에게 이제 제자를 그만 받으라고 말하는 마을 사람들도 생깁니다. 그렇지만 구두 장이 들은 억울합니다. 처음부터 기술을 전수하기 위해 제자를 들이고 키우라고 한 것은 마을 사람들이니 말이죠. 그리고 이미 제자를 두고 비즈니스를 해 왔던 업무 행태를 하루아침에 바꿀 수도 없는 노릇이었습니다. 또한 제자를 들이지 않고서는 구두 장이의 기술 명맥이 끊길 것이니, 마을 전체를 위해서라도 제자를 아예 안 받을 수도 없는 것이었고요. 마을 사람들과 구두 장이는 고민 끝에, 원래는 평생 직업이었던 구두 장이 업무에 은퇴 연령을 두면 어떨까 하고 합의합니다. 예를 들어, 구두 장이가 30년 정도를 일하면 그 구두 장이를 현업에서 은퇴시키기로 결정한 것입니다. 구두 장이에게 은퇴 연령을 설정했으니, 이제 구두 장이의 증가는 기하급수의 저주에서 벗어나게 되었을까요?


불행하게도 기하급수의 저주는 계속됩니다. N세대의 시간이 흘렀을 때 은퇴하는 구두 장이의 숫자를 r(k, N)이라고 합시다. 그렇다면, 위의 방정식 (1)은 방정식 (2)로 고쳐서 쓸 수 있습니다.


a(k, N) = a(k, N-1) - r(k, N-1) + a(k-1, N-1) - r(k-1, N-1)

r(k, N) = a(k-1, N-Ng-1) - r(k-1, N-Ng-1) (2)


위의 방정식에서, Ng는 은퇴까지 걸리는 세대수를 말합니다. 예를 들어 제자 한 명을 배출하는 한 세대가 5년에 해당하고, 구두 장이 한 명이 평생 동안 30년을 일할 수 있다면, Ng = 30/5 = 6이 될 것입니다. 위의 방정식 (2)은 단순한 점화식이지만, 방정식 (1)의 파스칼의 삼각형과 크게 다를 바가 없는 결과를 보입니다. 실제로, 간단하게 그래프를 그려 보니 (그림 1 참조), 원조 구두 장이로부터 10세대 후 (즉, x축에서는 11세대 일 때), 전체 구두 장이의 숫자는 984명입니다. 분명 은퇴를 고려하지 않았을 때 예상되던 1,024명보다는 작은 숫자지만, 사실 큰 차이 안 나는 숫자죠. 그 이유는 은퇴하는 구두 장이의 숫자가 10세대라는 시간이 지나는 동안, 겨우 40명밖에 안 되었기 때문입니다. 다시 말해, 은퇴하는 구두 장이의 숫자가 새로 탄생하는 구두 장이의 숫자보다 훨씬 작은 이유는 구두 장이가 탄생하는 시점과 은퇴하는 시점 사이에 6세대라는 간극이 있기 때문입니다. 6세대라는 시간 동안, 구두 장이 들은 마치 자가 증식하듯, 제자를 길러냈기 때문에, 은퇴하는 구두 장이 40명은 사실 전체 구두 장이 숫자 조절에는 큰 의미가 없게 됩니다.


사실 이보다 더 큰 문제는 시장이 금방 포화될 것이라는 점, 그리고 새로 탄생하는 구두 장인들에게는 이러한 시장에 진입하여 경쟁해야 하는 경쟁률이 더 살인적으로 높아질 것이라는 부분이었습니다. 예를 들어 두 번째 첨부된 그림과 같이, 세대가 거듭될수록, 신규로 시장에 진입하는 구두 장이의 숫자는 기하급수적으로 늘어납니다. 따라서, 동 세대에 배출되는 신규 구두장이들끼리의 경쟁은 매년 거의 두 배씩 증가하게 될 것입니다.


마을 사람들과 구두 장이 들은 이런 간단한 계산을 해 본 결과, 구두 장이의 은퇴 연령을 어떤 식으로 설정한다고 해도, 구두 장이가 1세대씩만 일하고 바로 은퇴하지 않는 한, 결국 구두 장이의 전체 숫자는 기하급수적으로 증가하게 되고, 구두 장이 비즈니스는 결국 지속 가능 (sustainable)하지 못할 것임을 깨닫게 되었습니다. 다시 고민에 빠진 마을 사람들과 구두 장이 들은 이번에는 다른 방법을 모색해 봅니다. 누군가 아이디어를 냅니다.


"매 세대가 지날 때마다, 구두 장이 들은 제자를 무조건 1명을 배출했습니다. 하지만 이런 시스템은 구두 장이의 숫자를 기하급수적으로 늘게 만드니, 이번에는 제자를 무조건 1명 배출할 것이 아니라, 일정한 수준이 되지 않는 제자는 1세대가 지나도, 탈락시켜 버리는 것이 어떻겠습니까? 즉, 매 세대마다 각 구두 장이는 1명의 제자를 배출할 것이 아니라, P명, 0 <P <1을 배출할 수 있도록 하자는 것이죠" 이를 표현하면 방정식 (3)처럼 될 것입니다.


a(k, N) = a(k, N-1) - r(k, N-1) + [a(k-1, N-1) - r(k-1, N-1)]*P

r(k, N) = P*[a(k-1, N-Ng-1) - r(k-1, N-Ng-1)] (3)


누군가 이에 대해 의문을 제기합니다.

"그렇다면 그 P값은 어떻게 정합니까?"


이번에는 머리가 잘 돌아가는 다른 사람이 답을 합니다.

"구두 장이 한 명이 6세대 후에 은퇴하니까, 그를 대체할 수 있을 정도로만 만들면 되지 않을까요? 즉, 확률적으로 1/6만큼만 제자 배출을 허용하면 되겠죠. 다시 말해 P = 1/6으로 하자는 말입니다"


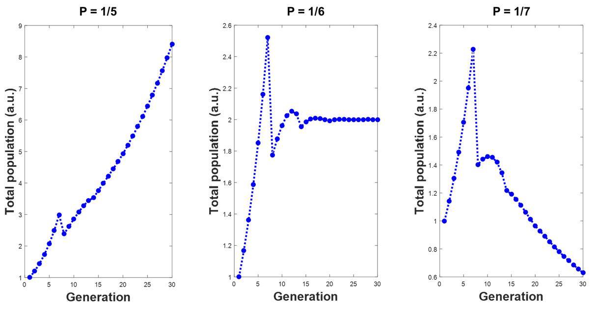
정말 P = 1/6으로 하면 어떻게 될까요? P = 1/5인 경우, P = 1/6인 경우, P = 1/7인 경우를 비교해 봅시다.


그림 3에서는, P 값이 변함에 따라, 전체 구두 장이의 숫자가 어떻게 변하는지 보여 주고 있습니다. 예상했던 대로, P가 1/6보다 클 경우, 구두 장이의 숫자는 세대가 거듭될수록 증가, P가 1/6보다 작을 경우, 구두 장이의 숫자는 세대가 거듭될수록 0으로 수렴하며, P가 정확히 1/6일 때는, 어느 정도 세대가 지나면 전체 구두 장이의 숫자는 2로 수렴하게 됩니다. 2라는 숫자는 통계적으로 스승 1명, 제자 1명이 늘 현업에 있는 것임을 의미하는 것입니다. 그리고 그 스승이 은퇴할 때쯤, 제자 1명의 제자가 스승의 TO를 대신하게 되는 구조입니다. 6세대가 아니라, 5세대 혹은 7세대라고 하면 그냥 그것의 역수를 취하면 됩니다. 즉, g세대마다 제자가 배출되는 구조라면, P = 1/g라고 설정하면 전체 구두 장이의 숫자는 2명에서 조절될 수 있을 것입니다.


이런 계산 결과에 마을 사람들은 환호성을 지릅니다. 마법의 확률 1/6을 찾아냈으니, 이제 구두 장이의 숫자가 아무리 세대가 거듭돼도 총 2명에서 증가할 일도 감소할 일도 없습니다. 그렇지만, 마을 사람들이 한 가지 간과한 것이 있습니다. 구두 장이의 숫자가 늘어난 동안, 다양한 신발에 대한 수요가 늘어나서, 이제는 구두뿐만 아니라, 장화, 운동화, 군화 등으로 수요가 다변화된 것입니다. 겨우 두 명의 구두 장이만으로는 이러한 다변화된 수요를 다 감당할 수 없겠죠. 그리고 그 수요는 세대가 거듭될수록 더욱 다변화될 것이고요. 인구 증가는 어떤가요? 마을 인구가 두 배가 되면, 구두 장이 숫자도 두 배가 되어야 하겠죠. 이런저런 사정 때문에, 구두 장이 숫자를 2명에서 통제할 수 있다는 것만으로는 좀 부족합니다. 그러면 어떻게 해야 할까요? 구두 장이의 숫자를 늘리자니, P > 1/6로 설정하면, 결국 구두 장이의 숫자는 다시 늘어날 것이고, 그렇다고 안 늘릴 수도 없는 노릇이니 말입니다.


마을 사람들과 구두 장이 협회는 다시 회의를 합니다. 먼저 구두 장이 협회가 이렇게 제안합니다.

"일단 다변화된 수요에 맞추기 위해, 당분간 구두 장이의 숫자가 증가할 수 있도록, P를 1/6보다 높게 설정합시다. 그리고 어느 정도 숫자 (이 숫자를 M_C라고 하겠습니다)가 채워지면, P를 다시 낮추면 되지 않겠소? 그리고 필요하다면 다시 P를 조절해서 이 숫자를 늘리면 되고요."


다들 이 의견에 찬성합니다. 실제로 계산해 보니, M_C에 따라, 최종적으로 수렴하는 전체 구두 장이의 숫자가 그림 4와 같이 변하는 것을 확인할 수 있었습니다. 이를 정리해 보면, 그림 5와 같이, M_C에 따라 최종 조절되는 구두 장이 숫자가 어느 정도 선형성을 가지며 증가하는 것임을 볼 수 있습니다. 이런 방식을 활용하여, 이제 마을 사람들과 구두 장이 협회는 다변화된 수요에도 탄력적으로 대응할 수 있게 되었습니다. 그리고 구두 장이 비즈니스도 지속 가능할 수 있는 범위 내에서 이루어질 수 있게 되었습니다.


==============================================

별로 재미도 없는 우화를 왜 이리 오래 했을까요? 눈치가 빠르신 분들은 이미 알아채셨겠지만, 저는 대학원, 특히 이공계 대학원이 중심이 되는 아카데미의 지속 가능성 (sustainability)에 대해 이야기를 나누고 싶었습니다.


지금 같은 다단계 구조로 대학원이 유지된다면, 이러한 시스템은 지속 가능하지도 않고, 결국 학문 후속 세대만 살인적인 경쟁률에 치여서 아카데미에서 살아남기가 더욱 어려워질 뿐입니다. 제가 속한 세대를 기점으로 아마, 앞으로의 대학원 생태계는 매우 어려운 상황에 처할 가능성이 높습니다.


지금의 대학원 생태계가 이렇게 다단계 구조처럼 된 것은, 여러 이유가 있겠지만, 사실 사회 전체가 해당 분야에 대해 소화할 수 있을 정도의 TO는 생각하지 않고, PI들이 제자들, 특히 박사급 제자 배출에 있어서 P > 1/g로 설정한 배경 때문입니다.


국가 지표체계 (http://www.index.go.kr/potal/main/EachDtlPageDetail.do...)에 따르면, 매년 우리나라에서 배출되는 공학계열, 자연계열, 의약계열 박사 학위 수여자 숫자는 3천, 2천, 2천 명 내외 정도입니다. 매년 7천 명이 넘는 이공계+의약계 박사 학위자가 배출되고 있는 것입니다. 이들 중, 얼마나 많은 박사들이 다시 아카데미아에 남아서 생태계를 이룰 수 있을지 모르겠지만, 미국 통계치를 떠올려 보면 대략 10% 내외 정도만 남을 수 있을 것입니다. 700여 명을 제외한 나머지 6,300여 명의 어마어마한 숫자의 박사들은 절반 정도가 연구가 아닌 교육 기관, 산업체 정도로 진출할 것이지만, 나머지 절반 정도의 박사들은 갈 곳이 마땅치 않습니다. 짧게는 10년 길면 15년 가까운 시간을 학부+석사+박사+포닥을 하지만, 이들 중 학계에서 안정된 직장을 잡을 수 있는 숫자는 매우 작은데, 학계에서 직장을 못 잡은 박사들에 대한 고민은 날로 깊어지고 있고, 이에 대한 대책은 그렇게 뾰족한 수가 없습니다.


위에 제가 잠깐 계산한 결과에서 이를 해결할 수 있는 몇 가지 방법을 발견할 수 있는데, 역시 가장 중요한 것은, PI들이 박사를 배출하는 숫자를 줄이는 것입니다. 랩에 일정한 인원을 받는다 하더라도, 졸업 관리를 엄격하게 하여, P값을 1/g근처에서 통제하든지, 혹은 일정한 M_C 값을 설정하고, 매년 탄력적으로 P값을 1/g 근처에서 조절할 필요가 있습니다. 현재는 학계에서 P값이나 전체 TO에 대해 별로 고민을 자발적으로 하지 않고 있는데, 이는 대부분의 교수가 속한 학교에서 대학원을 집중 육성하고 프로젝트 수주에만 주로 초점을 맞추고 있기 때문입니다. 지금처럼 프로젝트 위주로 대학원이 돌아가고, 졸업생 관리나 졸업률 관리를 뒷전으로 미루면 적어도 이공계 대학원 생태계는 앞으로 몇 세대 이상 지속되기 어려울 것입니다.


우리나라가 일본의 대학원 시스템을 답습할 필요는 없지만, 일본의 도제식 교육이 사실 이러한 졸업생 관리, 졸업률 관리에 있어서는 나름 최적화된 방법이라는 생각이 듭니다. 일본의 도제식 방식에 따르면, 어쨌든 선생 한 명이 평생 배출할 수 있는 (학계로 진출할만한) 박사의 숫자가 거의 정해졌기 때문에, 선생은 제자 한 명 한 명을 양성하는데 더 신경을 쓸 수밖에 없고, 그 제자가 수행할 수 있는 프로젝트는 당연히 다음 제자에게도 넘어갈 수 있어야 하므로, 연구 주제의 영속성도 깊이 고려할 수밖에 없습니다. 선생의 랩을 물려 받든 지, 혹은 새끼 랩을 만들던지, 선생 한 명은 제자가 박사 학위를 받고 졸업하여 학계에 진출해도, 그 제자가 원한다면, 그리고 그가 충분히 경쟁력을 갖춰 졸업한 학자라면, 그 분야에서 자립할 수 있도록 환경을 만들 수 있습니다. 박사 과정에 들어온 제자가 실력이 모자라고, 학계에 어울릴만한 재능이 없다면, 석사 학위만 주던지, 혹은 학계가 아닌 산업계로 그 진로를 유도할 수도 있습니다.


어떤 시스템이 제일 최적의 시스템인지는 솔직히 잘 모르겠습니다. 그렇지만, 우리나라가 지난 수 십 년 간 거의 그대로 따라 했던 미국의 대학원 시스템은 이제 더 이상 지속되기 어려워진 것만은 확실합니다. 저 역시 미국에서 박사 학위를 하였기 때문에, 이런 단점에 대한 지적으로부터 결코 자유롭지 못합니다. 다만, 학계 전체, 특히 대학원 중심 생태계의 지속가능성을 위해서는, 대학원생의 숫자도 지금보다 훨씬 줄여야 하고, 그들이 수행하고 있던 연구 프로젝트는 학생이 아니라 학교에 소속된 정규직 연구원들 혹은 포닥급 연구 인력이 수행하는 방식으로 바뀌어야 합니다. 그러기 위해서는 연구원들이 전문성을 가질 수 있도록 한 랩이 아닌, 한 학과, 혹은 한 단과대학에 소속된 core facility 소속이 되어야 하고, 이들의 연구 스킬 및 경험이 지속될 수 있도록, staff화 할 필요가 있습니다. 포닥급 연구 인력 역시 독립된 과제를 수행할 수 있도록 지금보다 더욱 실질적인 풀뿌리 과제가 많아지고 더 확대되어야 합니다. 물론 매년 배출되어야 하는 숫자의 신규 박사, 석사급 인력은, 학계나 업계의 수요에 맞춰서, 학회와 정부 차원에서 같이 고민을 해야 하고, 졸업한 지 5년 이내, 혹은 10년 이내의 졸업생들의 진로에 대해서도 되도록 학교 차원에서 추적하고 관리할 수 있어야 합니다. 박사 과정에서 탈락하거나, 학계에 남고 싶어 하지 않는 학생들에 대해서는 지도 교수가 충분히 대안을 같이 고민하고 제시해 줄 수 있어야 할 것입니다.


g1.jpg 그림 1
g2.jpg 그림 2
g3.jpg 그림 3
g4.jpg 그림 4
g5.jpg 그림 5


keyword
이전 10화기초학문은 부가가치로 평가되어야 하는가?