brunch

발자취를 좌표평면에 그릴 수 있다면

우리가 남겨야 할 아름다운 수식이란

by 배재윤

“천장에 붙어있는 파리의 위치를 정확하게 나타낼 방법이 없을까?” 17세기 수학자 르네 데카르트는 천장에 붙어있는 파리를 보고 생각에 잠겼다. “점의 위치를 나타내려면 명확한 기준이 필요해.” 그는 종이 위에 가로줄과 세로줄을 그렸고 줄 밑에는 숫자를 적었다. “이제 점의 위치를 정확히 알 수 있겠어.”

주어진 그림과 같이 가로줄과 세로줄이 점 O에서 서로 수직으로 만날 때 가로줄을 x축, 세로줄을 y축이라 한다. x축과 y축을 통틀어 좌표축이라고 말하며 두 좌표축으로 이루어진 평면을 좌표평면이라 한다. 여기서 좌표란 좌표평면에서 점의 위치를 나타낼 수 있는 숫자와 기호를 말한다. 파리의 좌표는 (4, 5)이며 숫자 4는 파리의 x좌표, 5는 파리의 y좌표다.

이처럼 좌표평면은 르네 데카르트에 의해 발견되었다. 좌표는 우리에게 친숙하지만 두 개의 숫자를 점으로 표현하는 것은 17세기 당시에 엄청난 혁신이었다. 점(크기가 없는 도형)을 좌표로 표현했듯이 도형을 수치화 할 수 있게 되었으니까. 이로 인해 눈금 없는 자와 컴퍼스만을 가지고 수많은 보조선을 그려가며 계산해야 했던 일을 아주 간단히 계산할 수 있게 되었다. 아래의 상황을 보자.


르네 왕국에 희귀한 보물을 훔쳐가는 괴도 루팡의 소문이 떠들썩하다. 그가 저지른 범행의 횟수도 벌써 3번째다. 그는 범행을 저지른 후에 항상 특이한 표적을 남겼는데 마치 다음 범행 장소를 알리는듯했다. 이번 범행 장소엔 간단한 글이 적힌 쪽지가 적혀있었다.


삼각형의 무게중심


정말 놀랍게도 그가 여태까지 범행을 저질렀던 세 장소를 모두 선으로 이으면 하나의 삼각형이 만들어졌다. 이제 무게중심만 알아내면 다음 범행이 어디인지 알 수 있다. 경찰은 코기토와 데카르트에게 무게중심을 찾아 줄 것을 의뢰했다.

눈금 없는 자와 컴퍼스만을 이용해 도형을 그리는 방법을 작도라고 말한다. 코기토는 삼각형의 무게중심을 작도로 구했다. 그러나 그의 방법은 다음 그림처럼 매우 복잡했으며 무게중심의 숫자를 알 수 없기에 장소를 정확히 알기 힘들다. 도대체 어디 즈음일까. 방법이 궁금하신 분들만 그림 밑 *설명을 읽어보자.

출처 : https://m.blog.naver.com/PostView.naver?isHttpsRedirect=true&blogId=fly4hyun&logNo=90104637868


컴퍼스의 바늘을 A에 두자. 선분 AB를 지날 만큼 길이로 적당히 벌린 다음 원을 그린다. 컴퍼스의 길이를 그대로 유지한 채 B도 마찬가지 방법으로 원을 그린다. 두 원이 만나는 교점이 2개가 생긴다. 교점을 눈금 없는 자로 연결해서 선을 그린다. 선분AB를 지나는 중점 N을 구한다. 컴퍼스 바늘을 C에 두고 원을 그리자. 또 다른 수직이등분선 두 개를 구할 수 있으며 중점 M과 L을 구한다. 각 선분의 중점을 마주 보는 점에 연결한다. M은 A로 N은 C로 B는 L은 B로 간다. 선분AM, 선분BL, 선분CN의 교점이 G다. 점 G가 삼각형 ABC의 무게중심이다.


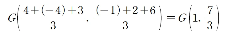
이와 달리 수학자 데카르트는 좌표평면을 이용하여 간단히 계산했다. 매우 복잡한 작도와 달리 범행 장소의 좌표만 알면 삼각형의 무게중심을 아주 간단히 구할 수 있다. 그는 좌표평면의 원점을 경찰서로 두고 x축의 방향을 서쪽 y축의 방향을 북쪽으로 두었다. 루팡이 저지른 범행 장소의 좌표를 구하면 A(4,-1) B(-4, 2), C(3, 6)이다.

루팡 범행장소.PNG


x끼리 더하고 3으로 나누고 y끼리 더한 뒤 3으로 나누면 삼각형의 무게중심 좌표 G를 알 수 있다.

무게중심.PNG


루팡이 언제 범행을 저지를지 알 수 없어도 좌표평면의 초록색 점이 다음 범행 장소란 사실을 정확히 알아낼 수 있다. 범행 장소는 경찰서로부터 서쪽으로 1만큼 북쪽으로 7/3만큼 이동한 곳에 있다.

무게중심 좌표.PNG


좌표평면의 발견으로 인해 모든 도형을 수식으로 표현할 수 있게 되었다. 아래 그림은 반지름이 3인 원과 하트를 좌표평면에 나타낸 것이다.


반지름의 길이가 3인 원.PNG
하트 모양.PNG


이렇듯 수식을 도형으로 표현하는 학문을 ‘해석 기하학(analytic geometry)’이라고 말한다. 수식이 무수히 많은 점이 모인 자취로 표현되는 것처럼 우리도 자신이 지내온 발자취에 의해 표현된다. 한 사람의 발자취를 따라가다 보면 그 사람을 알 수 있다는 말이다.



우리는 어떤 발자취를 남겨야 할까.


《떠난 후에 남겨진 것들》을 쓴 김새별 작가는 떠난 이들이 세상에 남기고 간 마지막 흔적을 정리하는 유품 정리사다. 책에는 폐지를 줍는 할머니의 죽음을 다룬 이야기가 있다.

“고인은 폐지 줍는 할머니이다. 고인의 방은 깨끗하고 짐은 단출했다. 책장에는 성경책과 종교 서적들이 꽤 빼곡했고, 책상 대용인 듯한 밥상 위에도 공책과 돋보기안경이 있었다. 서랍장 위에는 종이로 곱게 접은 컵 받침이며 장미, 백조 같은 작품들이 단정히 진열돼 있었다. 할머니는 녹록지 않은 일상 속에서도 성경을 필사하며 가끔 복지관에 다니며 종이접기를 배웠던 모양이다. 마음에 따듯한 물결이 일었다. 하루하루를 소중히 여기고 열심히 사는 사람을 만났을 때 받게 되는 감동 같은 거였다. 그랬던 할머니는 자기 죽음을 예상했던 것일까. 다시 집으로 돌아오지 못할 것을 알고 있었던 걸까. 할머니는 집주인 할머니에게 자신이 만약 죽으면 냉장고는 폐지 할아버지, 세탁기는 윗동네 친구, 소형가전이랑 겨울옷은 옆집 할머니, 구체적으로 정해 일러놓고 가셨다. 할머니는 그렇게 미련 없는 내일을 준비했다.”

난 폐지를 줍는 할머니가 남겨놓은 삶의 발자취를 상상했다. 오늘 하루를 최선을 다해 사시고 다른 분들의 내일까지 생각하며 떠나간 할머니의 발자취. 그 누구보다 아름다웠으리라고.




누군가 내게 발자취를 좌표평면에 그리라고 한다면 어떨까. 어제를 후회하기보다 오늘 하루는 최선을 다하며 살아가는 일. 오늘을 걱정하기보다 다른 사람의 내일을 생각하며 살아가는 일. 그것이 우리가 남겨야 할 아름다운 자취의 방정식이었을 테다.

keyword
이전 13화만남은 마치 유성을 볼 확률과 같다