brunch

언제 가격을 올려야 할까?

새로운 서비스의 가격 책정법

by 여행하는 기획자

"작가님, 가격은 어느 정도로 하면 될까요?"

"아, 그냥 되는대로 주세요. 하하"


내가 만든 작품이나 서비스에 대한 가격을 책정해야 하는 경우가 있다. 이럴 때 보통 주최사에서는 내게 가격을 책정해달라고 이야기하는데 참 난감하다. 특히 무형의 가치가 들어간 경우는 더 그렇다. 한 번은 내가 다녀온 '호떡집'들을 모아 직접 책을 만들었던 적이 있었는데 세상에 단 한 권밖에 없는 리미티드 에디션이다. 잠깐 어떤 계기로 전시를 했었는데 역시 가격을 기술해달라는 요청이 있었다. 무형의 정성이 들어간 책이고, 각별한 애정이 담겨있는 책은 대체 가격을 어떻게 책정해야 하는 것일까?


회사에만 있을 땐 '가격'에 대한 감각이 무뎌지다 막상 내가 직접 가격을 책정하려니 난감하다. 머리를 쥐어짜며 가격을 책정해도 대략 언제 가격을 올려야 할지 그저 막막하기만 하다. 대체 어느 시점에 가격을 올려야 하는 것일까?


모빌리티수업1.jpg
모빌리티수업.jpg
얼마전 출간한 나의 첫 모빌리티 수업 책



가격은 생산량이 증가해 원래 예상했던 생산량의 2배 가까이 될 때 검토가 필요하다. '경험 곡선 효과'는 제품이 잘 팔리면 단위 원가가 하락하는 것을 의미한다. 제품이 잘 팔리면 원가가 하락하는 데는 여러 이유가 있다. 먼저 효율적인 노동력을 사용할 수 있다. 제품을 만드는 사람들은 해당 제품이나 서비스를 계속 만들다 보면 처음에는 어색하고 낯설었지만 이내 숙련도가 올라간다. 점차 익숙해지면서 초기보단 안정적이고 수월하게 제품을 만들 수 있는 역량을 갖추게 된다. 제품 개발에 대한 프로세스 역시 효율화가 된다. 척척 분담해서 개발이 진행되다 보니 시간, 노력이 처음 시작 대비 줄어들게 된다.

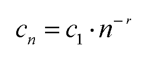
이렇게 경험이 쌓이고 제품이 잘 팔리게 되면 인간의 숙련도, 기술의 발전, 규모가 커져 가격이 내려갈 수 있는 가능성이 커진다. 이를 산술식으로 바꾸면 아래와 같다.



경험곡선.png
경험곡선2.png




n은 몇 번째를 의미한다. n번째 단위의 원가는 결국 누적 생산량 * n번째의 -경험률의 제곱을 의미한다. 이는 산술적으로 증명을 할 때 사용하는 식이고, 결국 이 식대로 풀이를 하면 제품이 예상치보다 2배 이상 잘 팔리면 전략적인 가격 조정이 필요하다.


비행기티켓예매.jpg



고성장 시기에는 더욱 민감하게 가격을 책정하는 것이 좋다. 왜냐하면 고성장 시기에는 그만큼 제품, 서비스가 많이 팔리는 시기이고 그만큼 경험 효과가 두드러지게 나타나기 때문이다. 가격은 고정값이 아니라 지속적으로 변화하며 움직이기 때문에 지속적으로 관리해 주는 것이 필요하다.




이론은 이론일 뿐이고 여전히 가격 책정은 난감하다. 제공자 입장에서 가격은 한없이 높게 책정하고 싶고, 수요자 입장에서는 가격이 저렴할수록 진입장벽이 낮아지게 된다. 그래서 양측 모두를 만족하는 가격은 만들기가 쉽지 않다. 외부 변수에 의해서도 달라지기에 민감할 수밖에 없다. 내 상품, 서비스에 대한 수요가 높을 때나 낮을 때 나는 정당한 가격을 요구하고 있는지 생각을 해본다. 주변 상황에 맞춰 가격에 조금씩 변동을 주면서 쉽진 않겠지만 모두가 만족하는 답안을 오늘도 고민해본다.

keyword
매거진의 이전글서비스를 천 원에 팔겠다고?