세 살 버릇 (진짜로) 여든까지 간다.

사람은 잘 바뀌지 않습니다.

by 윤서울

'이제부터 매일 외향형 인간이 되도록 열심히 노력해야지! 그럼 행복해질 수 있겠지?'


찬물 끼얹기 미안하지만, 사람의 성격은 웬만하면 잘 변하지 않는다.


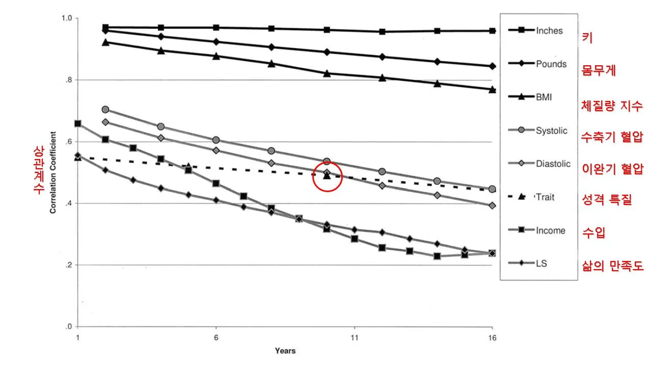
이전 글에서도 언급했던 행복심리학의 대가 Ed Diener는 Fujita와 함께 사람이 가진 외면적, 내면적 요소들의 안정성을 비교해보았다(2005). 그러기 위해 그들은 여러 종단 연구로부터 나온 데이터를 수집하고 분석하였다. 여기서 종단 연구란 시간의 경과에 따른 변화를 탐구하는 연구 방법으로 짧게는 몇 주, 길게는 몇십 년 동안 진행된다.


그 결과, 역시나 가장 안정적으로 변하지 않는 요소는 키와 몸무게다. 여기까진 놀랍지 않다. 그런데, 아래의 그래프를 보면 깜짝 놀랄만한 사실이 드러나있다. 우리의 성격은 거의 혈압만큼 안정적이다!



물론, 바뀔 가능성이 아예 없는 건 아니다. 그런데 우리는 여기서 within-person difference와 between-person difference의 개념을 헷갈려서는 안 된다. Within-person difference는 한 개인 내에서 나타나는 차이다. Between-person difference는 두 명 이상의 개인 사이에서 나타나는 차이다.


예를 들어, 타고나길 유분이 많아 머리가 잘 떡지는 A가 있다. 그리고 반대로 약간 건성이라 머리를 이틀 정도는 안 감아도 괜찮은 B가 있다. A가 지성용 샴푸로 머리를 잘 감고 두피 토너까지 발라가며 머리를 성실히 관리하면, B와 비슷한 정도의 양호한 머리 상태를 당연히 가질 수 있다. 그러나 A가 머리에 들여야 하는 시간과 노력이 B보다 훨씬 많다는 사실은 영원히 변하지 않는다.


또는, 타고나길 성실한 A와 그렇지 않은 B가 있다. B가 유튜브에서 동기부여 영상을 받고 감명받아 매일 같이 미라클 모닝을 실천하며 착실히 살아간다면, A와 비슷한 정도로 알찬 하루하루를 살 수 있다. 그러나 A는 그러한 일상이 매우 자연스러운 반면, B는 그 일상 패턴을 유지하기 위해서 엄청난 힘을 쏟아부어야 한다는 사실은 영원히 변하지 않는다.


Within-person difference는 어느 정도 가능하지만, 아무리 개인 내에서 변화를 이룬다 하더라도 between-person difference를 극복하는 건 쉽지 않다.


그래서 내향적인 사람은 행복하길 포기하란 뜻인가? 그렇게 극단적으로 해석해서는 안 된다. 어디까지나 확률의 이야기다. 외향적일수록 행복할 확률이 높은 것이지, 내향적인 사람은 행복하지 않다는 결론이 아니다. 그리고 어차피 성격은 너무나 안정적인 요소라서, 외향적인 성격으로 바뀌기 위한 노력은 헛수고에 불과하다.


그렇다면, 우리가 지금 당장 행복에 가까워지기 위해 할 수 있는 건 무엇일까? 극도로 외향적이지 않더라도 사람들과 원활히 교류하는 삶을 즐기고 싶다면? 이전 글 '마음먹으면 배만 불러요.'에 힌트가 있다. 바로... fit! 각자 본인과 fit이 맞는 환경을 찾거나 조성해야 한다. 우리 자신을 바꿀 수 없다면, 우리를 둘러싼 환경을 바꿔야 한다는 뜻이다. 그러데 아쉽게도 한국 사회는 어느 누구에게도 행복해지기 쉬운 환경이 아니다. 왜일까?


Fujita, F., & Diener, E. (2005). Life satisfaction set point: Stability and change. Journal of Personality and Social Psychology, 88(1), 158-164. doi:http://dx.doi.org/10.1037/0022-3514.88.1.158

keyword
이전 07화거울아 거울아 누가 제일 예쁘니?