brunch

07_속도

중요한 것은 속도보다 방향???? come on~~~

by 잼리

속도에 대해 조금 자세히 알아볼까요?

'속도(Velocity)'는 물체의 운동 방향과 빠르기를 나타내는 물리량입니다. 시간당 물체의 위치 변화를 알려주는 값이죠. 물체의 '현재 위치'와 현재 위치에서의 '물체의 속도'를 안다면 우리는 무엇을 예측할 수 있을까요? 맞습니다. 1초 후 물체가 어디에 있을지, 10초후 물체가 어디에 있을지, 미래의 물체의 위치를 알 수 있게 됩니다.


속도의 정의는 다음과 같습니다.


'위치의 변화량'은 '변위'라고도 하며, 방향과 크기를 가지는 벡터량입니다.(위 식에서 벡터량에는 기호 위에 작은 화살표를 써서 방향을 갖는 값이라는 것을 표현해 주었습니다.) 물체의 위치의 변화를 얘기하려면 어느 방향으로 얼마만큼 변했는지 함께 얘기해야 합니다.

위의 두 식 중에서 오른쪽에 있는 기호로 나타낸 속도의 정의(식)를 살펴보면 '속도의 방향'은 '변위의 방향'과 같다는 것을 알 수 있습니다. 즉, 위치 변화의 방향이 바로 물체가 운동하는 방향이고 이것을 속도의 방향이라고 하는 것입니다. 반복해서 이야기하면, '속도의 방향'이 물체의 '운동 방향'이고 이는 '변위의 방향'과 같습니다.




| 평균 속도와 순간 속도 |

물체의 속도를 측정한다는 것은 특정 시간동안 물체의 위치 변화를 측정한다는 것입니다. 이때, 물체의 위치 변화를 측정한 시간의 크기에 따라 속도를 '평균 속도'와 '순간 속도'로 구분할 수 있습니다. 예를 들어 3초 동안 위치변화를 측정하여 속도를 구하였다면 우리가 구한 속도는 3초 동안 물체의 '평균 속도'입니다. 이 '평균 속도'를 통해 3초 동안 '평균적으로' 물체의 위치가 어떻게 변하는지 알 수 있습니다. 이처럼 걸린 시간이 '순간' 또는 '거의 0초에 가까운 매우 짧은 시간'이 아니라면 우리가 측정한 속도는 모두 '평균 속도'입니다.


반면, '순간' 또는 '거의 0초에 가까운 매우 짧은 시간'동안 물체의 변위를 측정하여 속도를 구하였다면 우리가 구한 속도는 속도를 측정한 그 순간의 속도, 즉 '순간 속도'입니다. 여기서 한가지 생각해볼 것은, 만약 어떤 물체가 운동 방향과 빠르기가 변하지 않는 등속도 운동을 한다면 매 순간순간의 속도는 그 물체의 평균 속도와 항상 같을 것입니다. 그래서, 등속도 운동하는 물체의 운동에 대해 설명할 때에는 그냥 특별히 '평균'속도, '순간'속도라고 하지 않고 그냥 '속도'라고 해도 아무 문제가 되지 않습니다.


다음 예를 통해 실제 상황에서 평균 속도를 구해보겠습니다. 속도의 정의를 이용하여 다음 그림에서 각 구간마다 잼리의 평균 속도를 구해볼까요?


○ 위치 변화가 A→B 인 경우 잼리의 평균 속도는?

▶ 속도의 방향: 북동쪽(사실은 더 명확하게 표현해주어야 하지만, 여기서는 그냥 이렇게 쓰겠습니다.)

▶ 속도의 크기* *속도의 크기: 빠르기 또는 속력(speed)

ab속력.png


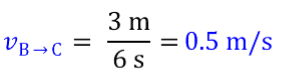
○ 위치 변화가 B→C 인 경우 잼리의 평균 속도는?

▶ 속도의 방향: 남쪽

▶ 속도의 크기*

bc속력.png


A에 있던 잼리는 북동쪽 방향으로 0.5m/s의 빠르기로 10초 동안 이동하여 B에 도착하였고, 다시 남쪽으로 0.5m/s의 빠르기로 6초 동안 이동하여 C에 도착하였습니다. A에 있던 잼리는 B를 거쳐 C로 갔지만 모든 운동을 종합해보면 결국 잼리는 16초 동안 A에서 C로 이동한 것이 되겠군요.


그럼, 16초 동안의 잼리의 평균 속도를 구해볼까요?

ac이동.png

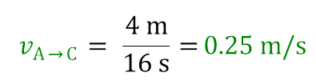
16초 동안 잼리의 평균 속도는?

▶ 속도의 방향: (A→C 로 이동 했으므로) 동쪽

▶ 속도의 크기* : A와 C 사이의 직선 거리는 (피타고라스 정리에 의해) 4m입니다.

즉, 변위의 크기가 4m입니다.

ac속력.png


이제 위에서 구한 속도들을 이용하여 잼리의 운동을 정리하여 설명해보겠습니다.

A에서 C까지 이동하는 동안 잼리는 2개의 평균 속도를 가지게 됩니다. 처음 10초 동안의 운동을 살펴보니 평균적으로 북동쪽으로 0.5m/s의 빠르기로 움직였고, 다음 6초 동안은 평균적으로 남쪽으로 0.5m/s의 빠르기로 움직였습니다. 이를 종합해보면 결국 총 16초 동안 잼리는 평균적으로 동쪽 방향으로 0.25m/s의 빠르기로 움직인 것이 됩니다.


그럼 잼리가 A에서 출발한 순간부터 32초가 되었을 때 잼리는 어디에 있을까요?

① 동쪽 방향으로 8m

② 알 수 없음


예상과는 다르게 잼리의 위치는 알 수 없습니다. 왜냐하면, 처음 16초 동안의 평균 속도는 위에서 구한 것과 같지만 그 다음에는 어떻게 운동할지에 대한 정보가 없기 때문에 확신할 수 없습니다. 다만, 처음 16초와 같은 패턴으로 움직인다고 가정한다면 32초 후에는 A로부터 동쪽 방향으로 8m 떨어진 곳에 있을 것이라고 예측할 수는 있습니다. 이런 문제점을 해결하기 위해서는 앞서 소개했던 '순간 속도'가 필요합니다. 매 순간 순간의 속도를 안다면, 시간이 얼마나 지났든 잼리의 위치를 정확히 예측할 수 있을 것입니다.


다음 장에서는 속력에 대해 알아보고 속도와 속력을 비교해볼까요?


[덧붙이는 말] 중요한 것은 속도보다 방향??? 이거 왜이래?? 속도에는 방향이 포함되어 있다규~!!

come on~~~~man~~~!!!



** 휴~~ 속도에 대해 쉽게 설명하는 글을 쓰는게 이렇게 힘들줄이야.. ㅠㅠ 산으로 갔어 산으로... **





keyword
매거진의 이전글06_운동의 기본