brunch

Anchored VWAP (AVWAP)

by One Punch Capital

차트 분석에서 빠질 수 없는 게 Anchored Volume Weighted Average Price(AVWAP)이다. 트레이딩을 하면서 자주 드는 질문은 "언제 사야 할까?" 그리고 "언제 팔아야 할까?"인데, AVWAP을 잘 활용하면 이 질문에 대한 단서를 찾을 수 있다.


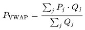
VWAP의 수학적 정의는 다음과 같다. P는 가격이고 Q는 볼륨인데, VWAP은 볼륨 가중치를 반영한 가격의 평균값이다.

https%3A%2F%2Fsubstack-post-media.s3.amazonaws.com%2Fpublic%2Fimages%2F9fc333d9-91a0-4a7f-b058-8d4dffc8cb9f_166x59.png


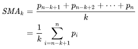
흔히 사용하는 Simple Moving Average(SMA)와의 차이는, SMA는 볼륨 가중치를 전혀 반영하지 않은 단순 평균값이라는 점이다.

https%3A%2F%2Fsubstack-post-media.s3.amazonaws.com%2Fpublic%2Fimages%2F99c69dbb-61ef-4226-8610-2e73cb2e228b_279x99.png


그래서 무슨 상관인가? 트레이딩에서 볼륨은 가격 못지않게 중요한 요소이다. 사실 주식뿐만 아니라 모든 시장에서 볼륨은 매우 중요하다. 부동산 거래에서도 거래량이 크지 않은 가격은 일회성 데이터로 치부하듯이 주식 거래에서도 거래량이 적은 가격은 그 중요성이 감소한다. 일반적으로 주식이 부동산에 비해 거래량이 월등히 많기 때문에 기간별 단순 평균값을 동일하게 취급할 수도 있지만, 볼륨 가중치를 추가하면 단순 평균값에서 놓친 인사이트를 발견할 때가 많다.


그럼 Anchored VWAP(AVWAP)은 무엇인가? “Anchored”는 VWAP을 계산하는 시작점을 지정하는 기법을 가리킨다. 주식 가격의 평균값을 구할 때 어느 시점부터 계산하느냐에 따라 평균값이 다를 텐데, 이 시작점을 10일 전, 100일 전 등과 같이 무작위로 정하는 게 아니라 유의미한 이벤트가 발생한 시점으로 지정하는 것이다. 주식에서 평균값의 시작점을 지정하는 게 중요한 이유는 주식 거래가 대부분 이벤트 중심이기 때문이다. 예컨대, 기업의 실적 발표나 정부의 경제 정책 발표에 의해 주식 가격이 급격히 움직이는 경우가 많은데, 이렇게 특정 이벤트가 발생한 시점으로 시작점을 지정하면 그 이벤트가 발생한 이후로 분석의 범위를 국한할 수 있다.

https%3A%2F%2Fsubstack-post-media.s3.amazonaws.com%2Fpublic%2Fimages%2Fdf916527-0b56-4884-9ddf-0a04a19567f9_2258x1185.png KWEB


이제 AVWAP을 주식 거래에 적용해 보자. 위 차트는 KWEB이라는 ETF의 주봉 차트이다. 하늘색선은 전고점을 시작점으로 지정한 AVWAP이다. 만일 내가 최근 KWEB을 저점에서 매수했다고 가정해 보자. 수익 실현을 위한 단기 목표가를 어디로 설정해야 할까? 위의 AVWAP에 따르면 34~35불 사이가 적당한 목표가이다.


이유는 다음과 같다. 차트를 보면 2021년 2월까지 KWEB은 대세 상승 중이었는데, 그 이후 2년 가까이 하락하다가 최근 중국의 리오프닝과 맞물려 최저점을 찍고 반등을 시도 중이다. 위 AVWAP에 따르면 2021년 2월부터 KWEB을 “저가” 매수한 투자자들의 평균 가격은 34~35불이다. 즉 현재까지 많은 투자자들이 포지션에 물려있는 상태이다. 이렇게 장기간 포지션에 물려있는 투자자들의 심리는 일반적으로 “제발 본전만 회복하자”이다. 따라서 가격이 34~35불 언저리로 회복하면 많은 투자자들이 본전 회복을 위해 포지션을 매도할 가능성이 높다. 즉 34~35불이 저항선으로 작용하게 된다. 일봉차트를 보면 실제로 지난 3일 동안 KWEB은 이 구간에서 힘겨워하는 것을 볼 수 있다.

https%3A%2F%2Fsubstack-post-media.s3.amazonaws.com%2Fpublic%2Fimages%2F9e4d30af-d388-4b44-8943-fdb80d1bb301_2694x1148.png KWEB


물론 KWEB이 34~35불의 저항선을 뚫고 상승한다면 반대의 해석이 가능하다. 대기 중이던 매도 물량이 전부 처리되었기 때문에 더 이상 유의미한 저항선이 없는 것이다. 따라서 가격이 34~35불 저항선을 뚫고 위로 올라선다면 불리쉬한 시그널로 받아들여진다. 따라서 KWEB을 거래한다면 다음과 같은 전략을 세울 수 있다: 34불에서 단기 수익 실현. 35불 이상으로 추가 상승한 한다면 재진입.

keyword
이전 04화SEC에 대한 추억