중학교 수학 수업, 봄(5) 유리수

중학교 수학 수업 - 봄 (5)

by Galaxy샘

사칙연산을 하다가도 분수가 나오면 학생들은 갑자기 얼음!

“초등학교 시절, 수학을 언제부터 안 하기 시작했나요?” 물으면,

학생들은 이구동성, “분수 나올 때부터요~” 라고 합니다.


인터넷에 돌아다니는 재치있는 유머가 있는데요, '수포자가 되는 9가지 순간'

1) 수학 문제에 영어가 나와서… 수학에서 문자의 사용이 시작될 때

2) 누가 자꾸 소금물을 섞어서 … 일차방정식 문장제 문제 중 농도 관련 문제가 나올 때

3) 철수가 영희와 다른 속도로 달려서 … 일차방정식 문장제 문제 중 속도 관련 문제가 나올 때

4) 조립하지도 않고서 분해만 하라고 해서 … 인수분해에 관한 문제가 나올 때

5) 이차함수 그래프를 그리다가 … 꼭짓점, 대칭축, 절편 등을 이용하여 이차함수의 그래프를 그릴 때

6) 달력이 찢어졌는데 새 달력을 사지 않아서 … 달력을 이용한 방정식 문제가 나올 때

7) 등산하지도 않을건데 산의 높이를 재라고 해서 … 삼각비를 배우고 삼각측량 문제가 나올 때

8) 자꾸 색깔 다른 공과 구슬을 사서 … 복잡한 확률 문제가 나올 때


그런데 무엇보다 가장 강력한 순간은,

9) '분수가 나와서' 랍니다.

한국교육과정평가원(KICE)의 '학습부진정장 과정 연구'(2019)에서도

수포자 가능성이 가장 높은 순간은, 바로 초등 3학년, 분수를 배울 때라고 조사되었다네요.


아이들이 그렇게 싫어하는 분수를,

오히려 너무 사랑했던 수학자가 있었으니, 바로 피타고라스(BC 570?~BC 495?) 입니다.

고대 그리스 수학자 피타고라스는 ”만물은 곧 수“ 라고 얘기했는데,

여기서 수란 바로 분수, 즉 유리수 였지요.


음수가, 자연수의 뺄셈 계산에서 그 필요성이 나타나서 등장하면서,

수의 세계가 자연수에서 정수로 확장되었고,

분수는, 자연수의 나눗셈 계산에서 그 필요성이 나타나서 등장하면서,

수의 세계가 정수에서 유리수로 확장되었지요.


정수의 세계에서는 덧셈, 뺄셈, 곱셈을 하기에는 전혀 부족함이 없었지만,

나눗셈을 할 때에는 정수 안에서만 해결될 수 없었습니다.

예를 들어 5÷3 은 딱 나누어 떨어지지 않으므로, 5/3 과 같이 나타냅니다.

피타고라스 시대에 5/3는 5 : 3와 같이 비례로 표현하였기에

분수를 비례를 나타내는 수라는 뜻으로,

유비수(rational number) 라고도 불렀습니다.


위와 같이 이 세상의 정수는 모두 유리수로 표현되고,

이 세상에서 유리수로 표현되지 않는 것을 찾기는 쉽지 않습니다.

그래서 피타고라스는, '만물은 곧 수' 라고 하였고, 이 때 수는 곧 유리수였던 것입니다.


피타고라스가 유리수를 사랑한데에는 또 다른 이유도 있었습니다

어느날 피타고라스가 대장간 앞을 지나가다가,

우연히 그 날 따라 쇠를 때리는 망치 소리가 조화롭게 들린다는 것을 알았답니다.

호기심 많은 피타고라스는 이를 연구하여

결국 오늘날의 음계의 시초가 되는 '7음계'를 최초로 만들었습니다.


오늘 수학 수업, 수학 진도를 모두 끝내고 5분 남은 시간,

"누구 노래 부를 사람?" 하면, 자다가도 손을 높이 드는 동우는,

수학은 정말 싫어하지만, 노래방 반주에 노래를 기가 막히게 잘 부릅니다.

애교 많은 동우가, 가끔 '수학 왜 배워요~'라고 묻곤 하는데,

동우가 부르는 그 노래의 음계가 바로 수학자 피타고라스로부터 기인한다는 걸,

아는 걸까요?, 모르는 걸까요?


피타고라스는 현의 길이의 비율에 따라 음의 화음이 달라진다는 것을 알았고,

이를 바탕으로 기준음(도)에서 현의 길이를 1 : 2 (1/2)로 줄이면 한 옥타브의 같은 음(도)이 됨을 알았고,

기준음(도)에서 현의 길이를 2 : 3 (2/3)으로 줄이면서 음(솔)을 찾았습니다.

이와 같은 방식으로 하여 7음계 '도레미파솔라시'를 만든 것이지요.

물론 약간의 오차가 있어서 이를, '피타고라스의 콤마' 라고 부르기도 합니다.


피타고라스는 두 현의 길이 비율이 간단한 유리수 비율일수록

더욱 조화로운 소리가 난다는 것을 발견하였으니,

피타고라스가 어찌 유리수를 사랑하지 않을 수 있었겠습니까.

피타고라스 자신이 뛰어난 수금 연주자이기도 하였는데요.

어쨌든 오늘날 모든 음악은 '피타고라스의 수학'에 빚지고 있다고 해도 과언이 아니지 않을까요.


덧붙여 '음악의 아버지'라 불리는 요한 세바스찬 바흐(1685~1750)는

어쩌면 피타고라스의 후예라고 할 수 있습니다.

바흐와 피타고라스 사이에는 약 2,200년이라는 시간적 간격이 있지만,

바흐와 피타고라스 모두 수학을 통해 음악을 발전시켰습니다.


바흐는, 피타고라스의 음계를 정교하게 수학적으로 다듬어서

한 옥타브를 12개의 반음으로 똑같이 나누는 '평균율'을 완성했습니다.

바흐의 <평균율 클라이버곡집>은,

세상의 모든 악보가 사라져도 이것만 있으면 다시 음계를 만들 수 있을 정도라고 합니다.

피타고라스가 수학으로 음악을 발견했다면,

바흐는 음악으로 수학을 표현했다고 할 수 있겠네요.


다시 수업으로 돌아오면,

학생들이 아무리 분수를 싫어한다고 해도,

중학교 1학년에서 넘지 않으면 안 되는 것이, 바로 '유리수의 사칙연산' 입니다.

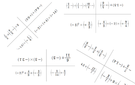
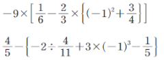
분수들이 마구 나오고, 사칙연산 +, -, ×,÷ 에

소괄호 ( ), 중괄호 { }, 대괄호 [ ]까지 등장하는 유리수의 혼합 계산 문제는

어떤 학생들에게는 마치 헤어 나올 수 없는 미로 같기도 하겠지요.


스크린샷 2026-01-13 134354.png


그런데 유리수의 혼합계산이라는 미로에서 나올 수 있는 방법은,

다른 것 없습니다, 그저 많은 문제를 풀어서 익숙하게 해야 한다는 것입니다.

피아노를 배울 때, 반복되고 지루하다는 '하농(Hanon)'을 치면서 손가락 훈련하는 것을 피해갈 수 없듯이,

수학에서도 지루하더라도 반복적인 연산 훈련이 필요합니다.

그래서 수학 수업 시간에 100문제, 200문제 거뜬히 놀이처럼 풀어낼 수 있는 여러 장치들을 마련해 둡니다.


유리수의 사칙연산 문제 풀어서 짝꿍과 땅따먹기 하기,

모둠별 릴레이로 유리수 혼합 계산 문제 풀기 ,

유리수의 사칙연산 문제와 그 정답 서로 짝 맞추기,

유리수의 사칙연산 문제 풀어서 나온 정답 색칠하여 그림 그리기,

유리수의 사칙연산 문제들로 이루어진 타지아(tarsia) 퍼즐 풀기,

유리수의 사칙연산 문제와 정답을 짝지어 이어 붙이는 꼬리 잡기, 등등.


한번은 유리수의 사칙연산을 배울 무렵, 학부모 공개 수업을 하게 되었습니다.

학부모님들이 수학 수업에 오셔서 자녀의 수학 공부를 직접 볼 수 있는 흔치 않은 기회인데요,

4명이 한 모둠이 되어 활동하는, '유리수의 혼합 계산 릴레이' 로 공개 수업을 했더랬습니다.


릴레이를 시작하기에 앞서 혈기왕성한 중학생들과 반드시 원칙을 공유합니다.

첫째 원칙은 ‘화목하게 하기’,

그리고 네 명이 머리를 맞대고 문제를 풀 때,

'정답 알려주지 않기, 정답을 알려주는 것은 친구의 배움을 기회를 빼앗는 것이다' 라는

두 번째 원칙을 강조합니다.


릴레이가 시작되자 교실은 모둠 안에서 친구들끼리 서로 가르치고 배우느라 그야말로 아수라장입니다.

'유리수의 혼합계산' 1단계 문제를 다 풀면, 모둠원이 앞에 나와서 채점을 받는데,

틀린 것이 있으면 들어가서 다시 검토해야 하고,

다 맞아야 다음 단계의 문제를 가지고 갈 수 있습니다.

틀리지 않기 위해서 모둠 안에서 서로서로 답을 검토해 주느라 얼마나 적극적인지 모릅니다.

이렇게 '유리수 혼합 계산 릴레이'가 진행되면서 학생들은 1단계, 2단계, 3단계... 문제를 계속 풀게 됩니다.

학생들은 물론 그걸 지켜보던 학부모님들까지도 열기가 가득하게 되지요.

어느새 학생들은 45분 한 차시 수업에 무려 40문제도 넘게 풉니다.

함께 풀어서 정답을 맞췄을 때의 그 짜릿함, 작은 성취가 주는 기쁨이지요.


학생들은 이 수학 수업을 학기가 끝날 때까지 기억하곤 합니다.

이렇게 해서 '유리수의 사칙연산'이라는 야트막한 산 하나를 넘습니다.

이전 05화중학교 수학 수업, 봄(4) 음수