brunch

아파트가 사람보다 많아진다면

세 번째 조건, 수요자

by 송두칠

널리 알려지지는 않았지만, 흥미로운 사실이 하나 있습니다. 바로 우리나라 수도권 대학의 총 정원이 딱 고정되어 있다는 겁니다. 아주 예외적인 상황을 제외하면 대학 총 정원은 변한 적이 없습니다. 수도권 과밀을 억제한다는 이유입니다.


그래서 대학 들어가기가 그렇게 힘들었나 봅니다. '서연고-서성한-중경외시-건동홍-국숭세단'으로 이어지는 대학 순위 상단에는 늘 인서울 대학이 즐비했으니까요.


07-01.jpg

▲ 자타공인 국내 최고 대학인 서울대학교 정문광장 야경. 국내에서는 비교불가한 불변의 1위인 데에 반해 2026 QS 세계 대학 랭킹에서는 38위, 전년도에 비해 7계단 미끄러졌다. (출처: 서울대학교)



그러나 세상이 바꼈습니다. 인서울, 인수도권 대학 입학은 더 이상 어렵지 않습니다.


엄격히 제한한다는 수도권 소재 대학의 모집정원은 약 19만 명입니다. 지금 태어나는 아이들이 1년에 약 23만명이고요. 대학 진학률이 떨어지지 않고 유지된다는 가정 하에, 이들 중 대학에 진학하는 사람은 17만 명이 조금 넘습니다. 네, 이 사람들 전부 다 수도권 간다고요.


대학을 가기 위해 경쟁하는 시대는 끝났습니다. 대학이 학생의 선택을 받기 위해 경쟁해야 하는 시대입니다.




'모두가 인서울이 가능해진 시대'는 저출산이 낳은 여러 모습 중 하나에 불과합니다. 어떤 사회가 될지는 다른 편에서 찬찬히 살펴보기로 하고요, 우선 사태의 심각성부터 짚어보도록 하겠습니다.


통계청이 발표한 장래인구추계에 따르면 2072년 대한민국 인구는 3,017만 명까지 줄어들 수 있을 것으로 전망됩니다. 지금이 5,168만 명 수준이니까, 약 2천만이 넘는 사람들이 사라진다는 소리죠.


잘 와닿지 않으실 수 있어요. 그래서 이게 뭐 어쨌다는 거냐고요.


현재 수도권 인구가 2천6백만 명이 넘습니다. 그런데 2072년에는 나라 전체 인구가 3천만 명이라고요. 즉, 약간 과장하면 오직 수도권에만 사람이 살고 그 외에는 아무도 살지 않는 땅이 되는 셈입니다! 부산이고 강릉이고 전주고 제주고 세종이고 싹 다 증발해버리는 꼴이라고요!


07-02.jpg

▲ 통계청 장래 인구 추계. 내용을 들여다보면 중위추계도 상당한 희망회로를 돌린 결과다. (출처: 뉴시스)



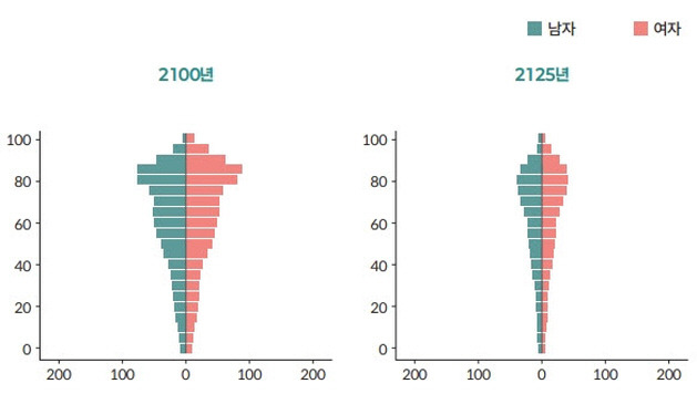
훨씬 암울한 예측도 있습니다. 100년 뒤에 우리나라 인구가 753만 명(!)이 된다는 전망인데요, 한반도미래인구연구원이 내놓은 결과입니다.


지금 서울 인구가 약 933만 명 정도 됩니다. 여기에서 종로구 날리고요, 용산구 날리고요, 서대문구 날리고요, 중구 날리고요, 금천구, 성동구, 강북구, 도봉구까지 싹 다 날려야 비슷해집니다.


이미 지방에서는 뼈저리게 느끼고들 있습니다. 아직 도시에 사는 사람들한테 피부로 와닿지 않을 뿐이에요. 저출산, 이거 진짜 말도 안 나올 만큼 커다란 폭탄입니다.


07-04.jpg

▲ 한반도미래인구연구원 '2025 인구보고서' 중 일부. 빼빼 마르다 못해 앙상해진 인구 피라미드가 안쓰럽다. (출처: 뉴스핌)




사람이 사는 데 필요한 의식주. 이 중에 가장 소비기간이 긴 것이 '주', 그러니까 '부동산'이라는 것을 앞서 살펴본 적이 있습니다.


기본적으로 집이란 것은 즉각 즉각 쓰고 없어지는 물건이 아닙니다. 계속 남아있죠. 옷(衣)은 입다가 헤져서 버리면 그만이고, 입을 사람이 줄어들면 안 만들어내면 그만입니다. 밥(食)이야 먹으면 그만이고, 먹을 사람이 없으면 요리 안 하면 그만입니다.


그런데 이게 부동산은 안 됩니다. 이미 지어놓은 것들은 결코 사라지지 않습니다. 지을 때도 공들여 지어야겠지만, 부술 때에도 애써서 부숴야 합니다.


07-05.jpg

▲ 통계청 주택총조사(2023년 기준)에 따른 빈 집 현황. 새 집인데 비어있는 곳도 꽤 많다. (출처: 조선비즈)



전국에 있는 빈 집은 총 153만 채가 넘습니다. 산골이나 오지에만 빈집이 있는 게 아닙니다. 서울만 해도 11만 채 가까이 비어있고요, 수도권에는 48만 채가 비어있습니다.


다 낡아서 쓰러지는 집만 그런 것도 아닙니다. 2000년대 이후 지어진 빈 집만 해도 거의 68만 채가 됩니다. 심지어 지어진 지 5년도 안 된 집이 14만 채가 넘고요.


물론 지역 전체를 놓고 봤을 때는 그다지 높은 비율이 아닐 수는 있습니다. 현재 서울시 가구수가 414만 가량 되기 때문에 가구수 대비 빈집은 약 2.6% 수준입니다.


하지만 인구도 가구도 빠르게 줄어들 예정입니다. 인구수를 넘어 가구수 순감소 시대로 접어들면, 집은 그대로인데 거기 사는 사람들은 사라지는 때가 옵니다.


그 때가 되면 서울에서 먼 곳부터 집값은 빠르게 떨어지게 되고, 심지어는 돈을 안 내도 빈집에 들어가 살 수 있게 될지도 모릅니다.


허황된 소설이 아닙니다. 이미 지방에서는 벌어지고 있는 일입니다.


07-08.JPG

▲ 부산 영도. 준공 당시 최고급 거주지였지만 지금은 텅텅 비어버린 아파트 단지가 보인다. (출처: KBS)





혹자는 말합니다. 그러니까 1급지를 사야한다고 말이죠. 인구 소멸도 알겠고, 지방 부동산 시장도 알겠는데, 그럴수록 사람들은 선호도가 높은 상급지에 더 몰릴 거라고. 그러니까 서울 상급지 부동산 가격은 앞으로도 계속 오를 거라고.


07-06.JPG
07-07.JPG

▲ 전북 익산. 사람이 넘쳐났던 과거와 달리 밤낮으로 을씨년스러운 분위기를 풍기고 있는 적막한 요즘 거리가 새삼 새롭다. (출처: KBS)



동의합니다. 이왕 살거면 서울 상급지를 사야죠. 그게 백 번이고 천 번이고 낫습니다.


그렇지만 동의하지 못하는 부분이 있습니다. 어쨌든 부동산을 사야한다는 부분입니다. 서울 상급지 부동산 시장이 계속 불장일 거라는 부분입니다.


07-10.JPG

▲ 경기도 과천 지역 지적편집도. 과천은 최근 몇 년 새 아주 높은 집값 떡상을 경험하고 있는 지역 중 하나다. (출처: 네이버)



핵심은 경쟁지의 집값이 폭락한다는 겁니다.


예를 들어 볼까요. 서울 상급지 집값이 100억이라고 칩시다. 그런데 강원도 춘천은 사람이 너무 없어서 집값이 2천만원이 됐습니다.


다른 조건들이 비슷하다면, 이 상황에서 선뜻 서울 집을 선택할 사람이 그렇게 압도적으로 많을까요? 99억 8천만원이 나한테 주는 다른 효용들을 다 물리치고?


조금 더 현실적인 비유를 들자면 이렇습니다. 사당 집값이 50억 하고요, 과천 집값이 30억 하고요, 산본 집값이 3억 하는 겁니다. 이동시간은 걸릴지언정 산본에 살면 3억이면 되는데, 사당 집값이 산본 집값을 무시하고 천정부지로 뛸 수 있을까요?


그러기 힘들 겁니다. 어떤 물건의 값은 대체재(substitutional goods)의 값에 영향을 받기 때문입니다.




다시 말하면 이렇습니다. 아무리 사람들이 서울 상급지로 몰려도 대체 가능한 지역의 집값이 굉장히 낮은 상황이라면, 서울 상급지 가격도 맘놓고 오르지 못한다는 겁니다.


같은 논리로 서울 집값도 외곽부터 빠르게 무너질 수 있습니다. 물론 초상급지는 그렇지 않을 수 있습니다. 일전에도 말했듯이 부동산은 지리적 공급량이 제한되어 있으니까요.


그런데 지금 여러분이 초상급지를 매매하시는 건 아니잖아요. 예산 규모에 맞춰 가급적 조금 더 높은 곳의 아파트를 매매하려고 하시는 거잖아요. 그러면 똑같다는 겁니다. 4급지나 3급지나 정도와 시기의 차이만 있을 뿐입니다. 어차피 어중간한 곳에 들어간다면, 그곳은 미래에 수요가 가장 먼저 빠지게 될 가능성이 높습니다. 가격 방어도 안 될 거고요.


07-11.jpg

▲ 서울 강남 대치동 은마아파트. 30년째 재건축 얘기를 하고 있다. (출처: 한국경제)



마지막으로 다른 얘기 하나만 더 할까요. '몸테크' 얘기입니다.


몸테크는 일부러 연식이 오래된 집에 들어가는 부동산 재테크 전략입니다. 보통은 재건축을 노리고요, 크게는 재개발, 작게는 리모델링을 노리기도 합니다. 헌집이 새집으로 다시 지어지면서 생기는 시세 차익을 노리는 전략이죠.


이거 이제 안 됩니다. 재개발이고 재건축이고 이제 예전만큼 활발하게 할 수가 없습니다. 수요가 없기 때문입니다. 사람이 없고, 가구가 없어요. 서울 외곽만 나가도 빈집이 쌓여있는 상황에서 30분쯤 시내로 들어왔다고 재개발 재건축이 활발할까요. 그걸 정부에서 허가할까요. 글쎄요, 선뜻 끄덕여지지 않습니다.


그렇다면 그런 곳들의 집값은 어떻게 될까요. 비록 지금 당장은 구축이고 살기에 불편하지만 역세권이고 대단지고 용적률이 약간 남아서 재개발을 노리는 곳들이요.


당연히 가격이 빠질 겁니다. 시세 차익을 기대하는 수요 때문에 집값을 버텨오던 거였으니까요. 얼마나 빠질지는 잘 모르겠습니다. 다만 한 가지 확실한 건, 조만간 수도권을 빼고 온 나라가 멸종하는 수준으로 인구가 사라질 거라는 사실입니다.


상황은 지금과 판이하게 다를 겁니다.


07-12.jpg

▲ 서울 도봉구 창동의 한 아파트. 난간까지 얼어버린 모양이다. 이정도는 견뎌야 몸테크다. (출처: 아이뉴스24)




우리는 앞으로도 부동산 가격이 오르기 위해서는 세 가지 조건이 필요하다는 것을 살펴봤습니다. 첫째로 선호가 있어야 하고, 둘째로 구매력이 있어야 하고, 셋째로 이 모든 걸 실제로 실행에 옮길 '사람'이 있어야 합니다. 그런데 이제 그 '사람'이 없어지는 걸 봤습니다. 정확히는 '수요자'가 없어지는 거죠.


인구 감소로 인한 부동산 가격 하락은 일면 직관적입니다. 하지만 많은 전문가들은 인구 감소와 부동산 가격 하락을 단선적으로 연관짓는 것은 지나친 비약이자 너무 단순한 논리라고 비판합니다. 여러 외국 사례를 들며 인구 감소와 부동산 가격 상승은 상관관계가 없다는 얘기도 합니다.


가장 많이 하는 반박중 하나가 외국인입니다. 토종 한국인 수가 좀 떨어져도 앞으로 외국인 수요가 늘어날 거라는 전망입니다. 우리나라 인구 중 다문화 비율이 빠르게 늘고 있고, 외국인의 부동산 매매 수요도 더욱 빠르게 늘어날 수 있다면서요.


좋아요. 이것도 한번 따져봅시다.



송두칠 doo7@kakao.com


keyword