brunch

제5화 구조적 변형

‘가정’하다.(3)

by 최영환

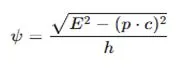
그 공식에 대한 풀이와 답은 아래와 같다. 양자역학에서의 파동함수(ψ)는 에너지(E)와 운동량(p), 그리고 빛의 속도(c), 플랑크 상수(h)와 관련된 수식으로 나타난다. 이는 우주가 시뮬레이션일 때 모든 입자와 에너지가 일정한 법칙에 따라 움직인다는 가정을 포함한다.

1.JPG

중력 상수(G)를 이용해 두 물체 간의 중력을 설명하는 수식이 Newton의 중력 법칙으로 나타난다. 여기서는 중력이 우주 시뮬레이션의 '법칙'으로 작용한다고 가정한다.

2.JPG

유체역학을 통해 고전 역학적 낙하 운동을 나타내는 수식이 포함된다. 이는 중력이 아닌 인위적인 시뮬레이션 조건에서만 성립하는 가정일 수 있다.


3.JPG

마지막으로 연속 방정식으로 나타난 유체의 운동 법칙은 실제 물리적 법칙이 아닌, 시뮬레이션 내부에서 유체나 입자들이 데이터를 교환하는 방식처럼 설명할 수 있다.


4.JPG

깨어보니 팔에 저릿한 감각이 스며들었다. 눈을 떠보니, 아내가 내 팔을 베고 자고 있다. 한때 나를 공포로 몰아넣었던 그 변신이 이제는 익숙해진 탓일까, 혹은 나의 감각이 무뎌진 걸까. 꿈과 현실의 경계를 헤매며, 옆에 놓인 A4용지 위의 공식을 바라보았다. 그것이 정말로 그 순간의 산물일까, 아니면 환각이 일어난 건가? 그것도 아니라면, 나는 몽유병인가?

내 기억 속의 색채는 스펙트럼의 경계마냥 흐릿했다. 뭔가 기이한 일이 일어나고 있음은 분명한데, 이제는 그조차도 무섭지 않다. 오히려 서서히 익숙해지고 있는 자신이 더 이상했다. 세상이 이 방향으로 이끌고 있다는 듯, 이제 그저 될 대로 되라는 심정이었다. 팔을 슬며시 빼내며, 곤히 잠든 아내의 얼굴을 한 번 더 쳐다봤다. 변신 전의 그녀와 변신 후의 그녀.

조심스레 침대에서 일어나 책상 앞에 앉았다. 종이를 들고, 다시금 그 수상한 공식을 눈으로 따라갔다. 그리고 책상 위에 남겨진 펜을 들고, 이 기이한 현실을 기록하기 시작했다. 나만의 일기가 거의 완성될 무렵, 아내가 천천히 눈을 떴다. 오늘은 주말. 오랜만에 부부 나들이가 계획된 날이었다.

침대에 엎드렸던 아내는 몸을 돌려, 나를 바라보며 조용히 웃었다. "우리 처음 만났던 날, 기억나?" 그녀가 말을 꺼내자, 그때의 장면들이 물결치듯 떠올랐다.

"응, 갑자기 그건 왜?"

"그때 인식이라는 주제를 이야기했었지. 한국의 유명한 시인, 김춘수 씨의 ‘꽃’ 말이야. 네가 그 시인의 시를 인용하면서 ‘내가 그의 이름을 불러주었을 때, 그는 나에게로 와서 꽃이 되었다’라고 했던 거 기억해?” 아내는 그 말을 천천히 되짚으며 고개를 살짝 갸웃했다.

“근데,” 그녀는 눈을 반짝이며 말을 이었다. “그 말, 아닌 것 같아. 그냥 인식에 따라 다르게 보인다는 거, 그 자체도 허상 아닐까? 만약,” “그 ‘꽃’이라는 것, 이름을 불러준다고 해서 그게 정말로 꽃이 되는 게 아니고, 그저 분자의 집합체에 불과하다면…. 어때? 인식 여부와 상관없이, 우리가 보는 건 결국 뇌가 만들어낸 환상에 지나지 않을지도 몰라.”

그녀는 마치 새로운 세상을 깨달은 사람처럼 말했다. “즉, 내 말은 그 꽃이 실체가 있는 물질이 아니라, 파동 상태라는 거지. 우리가 보고 느끼는 모든 것들이 실제가 아니라, 허상이라는 거. 존재하는 것처럼 보이지만, 사실은 아무것도 없는 ‘무(無)’의 상태일지도 몰라.”

그녀의 말은 하나의 가정일지라도 경외감마저 들었다. 문자를 하는 척, 몰래 핸드폰을 열어 그녀의 말을 하나하나 입력하기 시작했다. 그녀의 통찰은 단순한 철학이 아니라, 우리가 겪고 있는 기묘한 사건들과도 연결된 듯했다.

나는 핸드폰에 기록을 마치고, 침대에 널브러진 아내에게 말을 건넸다. “어제 우리가 이런 공식을 적었어. 기억나?” 어젯밤에 적은 A4용지를 건네주었다. 하지만 아내는 그것을 보고도 멀뚱멀뚱, 고개를 갸웃했다.

“공식? 무슨 공식?” 나의 말에 대수롭지 않다는 듯 웃으며 고개를 돌렸다. 그 표정은 마치 어제의 일은 전혀 기억하지 못하는 듯했다. 그러나, 나는 그 표정이 진짜인지, 아니면 그냥 기억하지 않으려는 척하는 것인지 분간할 수 없었다.

그녀는 그저 무심하게 내 말을 흘려보내더니, 갑자기 소리치며 벌떡 일어났다. “오늘 데이트하는 날이잖아!” 아내는 이불을 발로 차며 침대를 빠져나왔다. “얼른 씻고 나가자!” 천방지축처럼 여기저기 돌아다니며 바지를 뒤집어쓰고, 빗도 찾지 않은 채 머리를 손으로 쓸어넘기고 있었다.

그 모습을 보고 있자니, 내 머릿속이 더 어지러웠다. ‘나를 놀리는 건가? 아니면, 그 모든 일이 내가 만들어낸 환각일까?’

이내 그녀의 말처럼, 뇌를 휴식시키는 게 나을지도 모르겠다는 생각이 들었다.

“얼른 씻고 준비해!” 화장실로부터 그녀의 밝은 목소리가 들려왔다. 나도 의자에서 천천히 일어나 욕실로 향했다.


부부가 된 이후로는 오랜만의 데이트였다. 대학교 신입생 때처럼, 우리 둘은 좁디좁은 골목길을 걸었다. 아내는 떡볶이 포장마차 앞에서 매운 떡볶이를 한 입 먹고는 눈을 크게 뜨며 혀를 내밀었다. "와, 정말 매워!" 그녀는 매운맛을 참지 못하면서도, 입을 훔치며 한입 더 먹었다.

길거리에는 붕어빵이 익어가는 냄새가 가득했고, 우리는 붕어빵 하나를 나눠 먹으며 추억을 되새겼다. 싸구려 액세서리 가게 앞에 다다랐을 때, 반짝이는 귀걸이와 목걸이를 만지작거리고 있었다. “이거 어때? 예쁘지?” 그녀는 귀걸이를 한 손에 들고, 거울을 보며 웃었다. "핀란드에는 이런 작은 액세서리 가게가 없어."

스티커 사진기 안에 들어서자, 아내는 장난스럽게 포즈를 취하며 웃었지만, 사진 속 내 표정은 꽤 어색했다. 이번에는 코인 노래방으로 나를 끌고 들어갔다. 작은 방 안, 푸르스름한 불빛 아래에서 아내는 한국노래를 부르며 즐거워했다. 노래가 끝나고 아내가 내게 “잘 듣고 있었어?”라고 물었다.

“응, 그럼.” 내 눈은 아내가 아닌, 방 한쪽 벽에 붙은 스피커에 고정되어 있었다. 그녀는 나의 반응에 조금 실망한 듯했지만, 곧 다시 웃으며 다른 곡을 선택했다. 이 모든 시간이 너무나 평범하면서도 기이했다. 아내는 데이트가 끝날 때까지, 연신 내 팔을 잡아당기며 이리저리 이곳저곳 쏘다녔다.

집으로 돌아와 소파에 앉아있었다. 그리고 조심스럽게 타이밍을 재는 중이었다. ‘어떻게 물어보지?’

아내가 샤워를 마친 뒤 욕실에서 나왔고, 나는 주방 쪽으로 걸어갔다. 찬장을 열고 술병을 꺼냈다. 포도주잔을 들고 소파로 돌아오자, 아내가 눈을 동그랗게 뜨며 물었다. “자기가 웬일로 술이야?” 꽤 놀란 눈치였다.

나는 잔을 들고 어색하게 미소 지으며 한 모금 마셨다. 자연스럽게 대화를 이끌어가겠다는 다짐을 하고, 용기를 냈다. “그 공식 있잖아… 어제 우리가 적었던 거. 혹시 그걸 교수님들께 물어보면 어떨까?”

무슨 생각을 하는지, 아내는 고개를 살짝 기울였다. 나는 잔을 꽉 쥐고 그녀의 대답을 기다렸다. 사소한 일인 양, 살짝 웃으며 느긋하게 고개를 끄덕였다. “그래, 뭐. 그렇게 해봐. 어차피 난 기억도 안 나는데, 상관없어.”

진지하게 물어본 질문의 답변은 흥미를 잃은 사람처럼 가벼웠다. 아내에게는 그저 아무렇지도 않은 일이었다.


다음 날 아침, 차라리 잊히면 좋으련만 공식의 의미를 도저히 풀어낼 수가 없어서, 답답한 마음은 가시질 않았다. 차를 타기보다는 천천히 걸어가며 생각을 정리해보자는 아내의 제안에 따라 집을 나섰다.

거리를 걷다 보니 어느새 익숙하게 들려오는 음악이 귓가에 흘러들었다. “만약에~ 네가 온다면…”

그 가사에 집중하기 시작하자, 그 순간 내 시야에 들어오는 모든 것들이 그 단어와 연결되었다. 지나가는 커플들, 카페에 걸터앉은 사람들, 심지어 길가에 놓인 광고판까지 전부 ‘만약’이라는 단어에 엮여 있는 듯했다.

‘이걸 뭐라고 부르더라? 평소에 무심코 지나치던 것들도 특정한 자극을 받으면 그와 관련된 것들만 선명해지는 현상…’ 그 현상이 지금 나에게 찾아왔다.

"이레나, 혹시 넌 이 공식이 뭘 뜻하는지 감이 와?" 하고 물었지만, 아내는 여전히 어젯밤과 같은 시큰둥한 표정으로, “교수님께 가면 알겠지. 뭐든 답은 있으니까.”라며 무심하게 대답할 뿐이었다.

토목공학관에 들어서자마자, 우연히도 교수님 두 분이 로비에 앉아서 커피를 마시고 있었다. 연구실까지 찾아갈 필요가 없다는 생각에 마음이 다소 가벼워졌다. 나는 아내의 손을 살짝 끌어당기며, 이 기회를 놓치지 말자는 듯 고개를 끄덕였다. "지금이야, " 나직한 목소리로 속삭이며, 우리는 교수님들에게 다가갔다.

안상국 교수님과 김연수 교수님은 담소를 나누고 있었는데, 우리가 다가가자 반갑게 눈인사를 건넸다. 나는 바로 꺼내놓고 싶었던 그 공식을 머릿속에서 되뇌며, 심호흡을 한 번 하고는 교수님들에게 조심스레 노트를 내밀었다.

"교수님, 저희가 어제 이런 공식을 적어봤습니다."


If, 우리가 경험하는 이 세상이 허상이라면, 그 허상을 유지하는 법칙은 무엇일까?

4.JPG


keyword
매거진의 이전글제5화 구조적 변형