brunch

414 빛의 속도로 차여본 적이 있나

특수 상대성 이론 이해하기 2

by 평범한 직장인

제목은 원피스 정상 대전에 해군 3 대장 키자루의 명대사이면서 많은 밈을 생산해낸 대사입니다. 빛의 속도로 차였다는 표현을 많이 하지만, 사실 그건 불가능합니다. 전 편에 유도해본 식을 보면 말이죠.


https://brunch.co.kr/@gjchaos0709/267

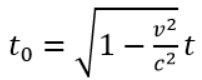
화면 캡처 2022-01-10 074004.png

이 식을 뜯어보면, 속도가 빨라질수록 루트 안의 숫자는 작아질 것이기 때문에 t0도 작아지게 됩니다. 속도는 절대적이지 않기 때문에 v는 기준이 되는 지점에 대한 상대 속도일 것입니다. 기준이 되는 지점에서 느끼는 시간 t에 대비하여, v의 속도로 운동하는 지점의 시간인 t0는 더 작습니다. 즉, 어떤 기준 지점 대비 속도를 가지게 되면 고유의 시간이 달라집니다.




수식에서 보면 속도가 점점 빨라질수록 느껴지는 시간이 줄어드는 것을 볼 수 있습니다. 그리고 상대 속도가 빛의 속도에 다다르면 t0는 0이 되고 말아 버립니다. 시간이 없어지는 것이죠. 하지만 그럴 수는 없습니다. 속도가 빨라짐에 따라 질량이 증가하기 때문이죠. 질량 증가는 운동량 보존 법칙과 위의 시간에 관한 수식을 통해 쉽게 유도할 수 있지만, 그건 공부하는 사람들 이야기고 사실 여기부터만 해도 많이 복잡합니다. 유도한 질량 증가의 결과만 보면,

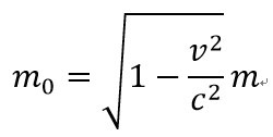
화면 캡처 2022-01-25 074616.jpg

속도의 수식과 똑같고 t가 m으로 바뀐 걸 알 수 있습니다. 수식에 따르면 속도가 증가하면 할수록 루트 안의 숫자는 작아질 것이고, m0에 비해 m은 점점 커지게 됩니다. 유도 과정이 궁금하다 싶으면 인터넷에 많이 나와 있으니 참고 바랍니다. 생각보다 많이 어렵지도, 그렇다고 아주 쉽지도 않습니다. 이에 따르면 질량을 가진 물체가 빛의 속도에 근접할수록 질량은 무한하게 커지게 됩니다. 알다시피 속도를 증가시키기 위해서는 가속을 시켜야 하며, 가속을 위해서 힘이 필요하다는 것을 F=ma를 통해 알 수 있죠. 질량이 증가하면 할수록 가속하는데 들어가는 힘이 커지게 되며, 질량이 무한하게 커지게 되면 가속하는데 드는 힘도 무한하게 됩니다. 때문에 빛의 속도에 근접할 수는 있어도 도달할 수는 없는 것이죠.




0950327602021031390127dfb-4a22-42c3-9955-0324aa58807f.jpg

하지만 질량이 없는 물질이라면 어떨까요? 질량이 없는 물질이라는 말 자체가 이미 모순이긴 하지만, 실제로 질량이 없는 것이 있습니다. 등잔 밑이 어둡다고 빛은 빛의 속도로 움직이니 질량이 없어야 하죠. 때문에 빛, 즉 전자기파는 실제로 질량이 없습니다. 물리학자들은 워낙 엄밀해서 이를 또 정지 질량이 0이라는 말을 하는데, 실제로 우리가 생각하는 개념으로 질량이 0입니다. 0을 무한대로 증가시켜도 0이죠. 이를 다른 시각으로 표현할 수도 있는데 지금 그 얘기를 하면 너무 혼란스러울 것 같아 미뤄둡니다.




빛은 가속도 감속도 하지 않고 언제나 일정한 속도로 움직인다는데 이상한 점이 한두 가지가 아닙니다. 특히 저는 초등학교 때 배운 지식이 생각났습니다. 물속에 빨대가 휘어지는 것은 빛의 굴절 때문이며, 빛이 반사하고 어쩌고 하는 것들은 모순되어 보입니다. 인터넷을 아무리 찾아봐도 빛은 최단거리로 이동한다는 것만 이야기하고 있었습니다.


빛이 최단 거리를 이동한다는 것은 생각해보면 이상합니다. 빛이 의식이 있어서 발사하기 전에 이미 최단거리를 알고 간다는 것도 이상하며, 설사 의식이 있는 우리 역시 최단거리를 알기는 어렵습니다. 게다가 빛의 속도로 움직인다면 위의 공식에 따라 시간 역시 존재하지 않기 때문에 빛이 쏘아지는 그 순간 최단거리로 움직여 모든 공간을 메꾼다는 것인지 등 혼란스러워하며 상당히 많은 생각을 하고 있었습니다. 사실 과학에 이것저것을 알아보면서 아직도 가장 많이 생각해보는 것이 빛입니다. 물론 직장인이기에 조각조각 생각할 뿐이지만 말입니다.


빛이 최단 거리를 가는 이유에 대해서는 "파인만의 QED 강의"라는 책을 보고 이해할 수 있었습니다. 세상에서 가장 어려운 과목에 속하는 양자 전기역학을 가장 쉽게 설명한 책입니다. 물론 쉽다고 말하지는 않았습니다. 빛이 최단거리로 이동하는 현상은 양자 전기역학으로 나아가기 위한 핵심 지식이기에 상당히 많은 페이지를 할애하여 설명하고 있는데, 아주 후려쳐서 설명하자면 빛은 모든 방향으로 방출되며, 다른 모든 방향의 빛은 상쇄되어 최단거리만 우리 눈에 보인다고 요약할 수 있습니다. 이 표현은 점점 깊이 들어갈수록 바뀌어야 하겠지만 일단은 이렇게 알아두겠습니다.




빛의 입장에서 시간이 존재하지 않기 때문에 존재하는 순간 끝이라고 말할 수도 있습니다. 생각해보니 빛의 속도로 차일 수도 있겠네요.ㅠㅠ


keyword