brunch
매거진 힐링식단

다이어트할 때 체중 정체기를 겪는 이유! 의지박약?

당신의 의지력의 문제가 아니다.

by 힐링씨티


식량을 가공하고 저장하는 기술이 발달하기 전까지, 즉 불과 몇 세기 전까지만 해도 인류는 갑자기 오랫동안 굶게 될 일에 대비해 체중 감량을 막도록 진화되어왔습니다. 그렇게 수백만 년의 진화를 겪어왔기 때문에 인위적으로 체중 감량을 시작하면 신체가 무의식적으로 에너지(칼로리)를 절약하기 위한 행동 적응 방식으로 변하기 시작합니다. 신진대사도 함께 느려집니다. 실제로 1kg의 체중 감량이 될 때마다 휴식 시 신진대사의 속도가 하루 16kcal씩 감소됩니다. 얼핏 보고 몇 칼로리 안된다고 생각할 수 있는데요, 체중 감량이 큰 사람들에게는 눈덩이 같은 타격을 줄 수 있습니다.


140207114433-09-biggest-looser-winners-split-restricted-horizontal-large-gal.jpg?type=w1
39628850_1665559366900797_4420030945453670400_o.png?type=w1


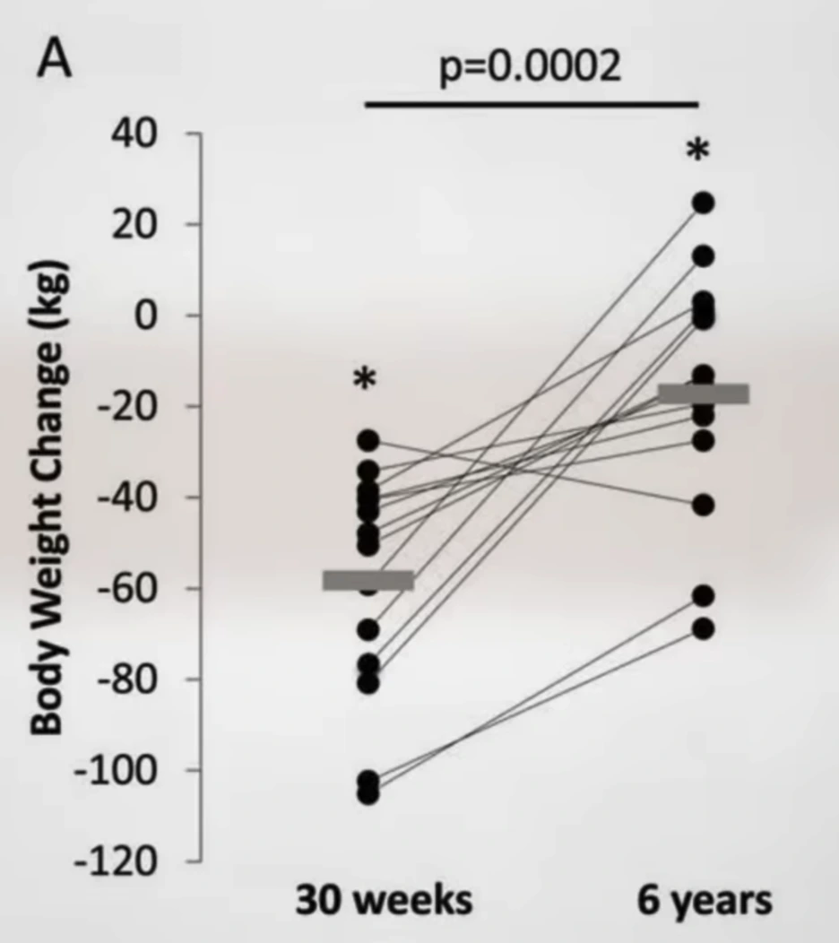
'The biggest loser'라는 TV 프로그램에 참가해서 엄청난 양의 살을 뺀 사람들의 신진대사율을 측정해봤습니다. 30주 동안 매일 수백 칼로리를 덜먹게 한 결과 평균 45kg을 감량했는데요, 휴식 시 신진대사 속도는 하루에 500kcal 이상씩 느려졌습니다. 이게 다라면 놀랍지는 않을 거예요.

여기서 소름 끼치도록 무서운 사실은 6년 후에 이 사람들의 신진대사 속도를 재측정해봤더니 여전히 하루 500kcal 이상씩 느렸다는 점입니다. 6년 동안 다이어트 후 같은 체중대의 사람들과 동일한 체중을 유지하기 위해서는 500kcal씩이나 더 움직이거나 덜먹어야 했다는 말입니다. 결국 대부분의 사람들은 다시 살이 쪘습니다. 다행히 원래 체중보다는 최소 10% 더 낮게 유지했으며 당뇨병 유병률은 약 절반으로 줄었습니다.


Screenshot_2020-06-15_at_12.05.07_PM.png?type=w1
Screenshot_2020-06-15_at_12.05.31_PM.png?type=w1


다이어트에 실패하는 사람들의 85% 이상이 운동에 초점을 맞춥니다. 실제로 운동이 다이어트에 미치는 중요성은 50% 미만인데 말이죠. 이 프로그램의 참가자들의 대부분이 프로그램 종료 후 6년이 지난 후에도 매일 한 시간씩 격한 운동을 해왔지만 여전히 다시 살이 쪘습니다.너무 억울하겠죠? 그 이유는 뭘까요? 예전처럼 더 먹기 시작했기 때문입니다.만약 그들이 하루 섭취량을 3,000kal 이하로 줄이고 매일 20분의 중간 강도의 운동만 했더라면 초기 체중 감량을 100% 그대로 유지할 수 있었는데 말이죠. 이렇게 말하면 그리 어려운 일처럼 들리지 않는데 왜 대부분의 사람들이 장기적인 다이어트에 실패하냐고요? 여러분, 이제 더 이상 의지력이 약하다고 자책하지 마세요. 지금 그 이유를 알게 될 테니까요. 체중 감량은 단지 신진대사의 속도만 늦추지 않습니다.


체중 감량은 식욕을 굉장히 돋웁니다.


ryan-benson-biggest-loser.jpg
ryan-benson-today.jpg
6년 전 비포 vs 애프터와 6년 후 다시 살찐 애프터 (TheBiggest Loser winners – where are they now?)


대부분이 다이어트를 시작하고 식이 요법에 지키기 시작한 다음 6개월 뒤에는 체중 감량이 중단됩니다. 왜 그럴까요? 낮아지는 신진대사 속도를 탓할 게 아닙니다. 실제 많은 사람들에게 나타나는 현상을 아래 그래프가 잘 보여주고 있습니다.


예를 들어, 매일 2600kcal를 먹으면 동일한 체중을 유지하는 사람이 800kcal를 덜먹기 시작한다고 칩시다. 과연 6개월 뒤에도 매일 똑같이 1800kcal만 먹고 있을까요? 왼쪽 아래 그래프에서 보이는 것처럼 대부분이 슬금슬금 더 먹기 시작해서 결국 6개월 뒤 예전과 비슷한 양을 먹고 있습니다. 분명히 똑같은 의지력으로 열심히! 운동하고 음식도 자제하고 있는 것 같은데 왜 더 먹고 있다는 건 인지하지 못할까요? 그것은 바로 늘어나는 식욕 때문입니다! 아래 오른쪽 그래프를 보세요. 살이 빠지는 6개월 동안 식욕은 600kcal 가량 더 올라가는데요. 따라서 6개월 후 점점 더 먹게 되어 하루 200kcal만 덜먹고 있더라도 식욕이 600kcal 만큼 늘어났으므로 몸은 여전히 다이어트 초기같이 800kcal를 적게 먹는 것처럼 느끼게 됩니다. 결국 왕성하게 늘어난 식욕 때문에


다이어트 초기와 동일한 의지력과 음식에 대한 자제력을 유지해도 체중 정체기가 오게 됩니다.


Screenshot 2020-06-15 at 12.43.56 PM.png
Screenshot 2020-06-15 at 1.36.23 PM.png
왼쪽은 시간에 따른 섭취량과 체중의 변화, 오른쪽은 시간에 따른 식욕의 변화.


따라서 이런 체중 정체기를 겪고 싶지 않다면 늘어난 식욕과 느려진 신진대사 속도를 감안하고서도 매일 300 - 500 kcal를 지속적으로 덜 섭취해야 한다는 말입니다. 그렇다고 해서 이제부터 더 의식적으로 다이어트 다이어리를 빡세게 쓰고 칼로리를 철저하게 계산하면서 늘어난 식욕을 참아내자는 말이 아닙니다. 누군가에게 더 적은 양을 먹도록 시키는 것은 마치 숨을 조금만 쉬게 시키는 것과 같습니다.잠시 동안 식욕을 억제하거나 숨을 참는 것은 가능하지만 결국엔 자연의 섭리가 승리합니다. 장기간 식욕을 억지로 누르면 과식, 폭식, 거식 등의 식이 장애로 극심한 스트레스에 시달리게 됩니다. 자연의 섭리에 거스르면 겪게 되는 당연한 결과죠. 따라서 실제 이러한 심리적 문제를 겪지 않고 지속 가능한 체중 감소로 가는 길은


음식을 덜 먹음으로써 일어나지 않습니다. 더 질 좋은 음식을 골라 먹어야 합니다.



여기서 말하는 질 좋은 음식들이란 바로 칼로리 밀도가 낮은 음식들입니다. 칼로리 밀도가 낮은 음식을 먹으면 양을 줄이지 않고도 지속적인 체중 감량이 가능한데요, 칼로리 밀도가 낮은 음식의 대부분이 정제하지 않은 자연식품(WFPB, Whole Food Plant based)이랍니다. 채식 위주의 식단은 신진대사의 둔화를 막고 식욕을 자연스럽게 내립니다. 심리적 건강을 지키면서 체중 감량에 대해 더 알아보고 싶다면 아래 포스팅도 같이 보세요!









이 글은 생활습관의학을 선두하는 뉴트리션팩츠(https://nutritionfacts.org)에서 제공하는 과학적인 근거에 기반하여 작성된 내용입니다. 뉴트리션팩츠는 닥터 그레거가 설립하였으며 기업의 광고와 후원이 전혀 없는 비영리적 기관으로써 전 세계 30여 개국에서 지원한 자원봉사자들과 20명의 연구원들에 의해 운영되고 있습니다. 상업적인 광고기사나 기업의 후원으로 발표된 논문들을 걸러낸 이런 투명한 건강정보들은 우리가 최우선적으로 접해야 하는 건강에 대한 진실입니다. 저는 수년간 헬스케어 업계에 종사한 의료인으로서 뉴트리션팩츠 소속 하에 한국어 번역 자원봉사를 하고 있는 힐링씨티 대표 '힐링코치'입니다.


The Reason Weight Loss Plateaus When You Diet(한글자막 없음)






keyword
매거진의 이전글장내 혹 같은 빈 주머니가 생기는 이유는? 대장 게실