쩯 뺃 까오 쑨 싸이 찡

뻰 렙 캥 야 유 양 약 타이

by 꽃뜰


씨, 하, 혹 4,5,6을 공부했다. 물론 다시 한번 써보고. 요렇게. 오예!!! 하하


KakaoTalk_20191028_110915712 (2).jpg


오홋. 아주 잘하고 있다. 씨, 하, 혹


고자음에 마이엑이 붙어 low tone 1성

낮은 곳에서 내리듯 발음


고자음에 마이토가 붙어 falling tone 2성

높은 곳에서 내려오며 꽥 소리 지르듯 발음


고자음에 사음 엔딩이니까 low tone 1성

낮은 곳에서 또 내리며 발음


오홋 참 잘하고 있어요~




KakaoTalk_20191028_110915712 (3).jpg


그다음 오늘은 숫자 7과 8을 보자.


숫자 7

숫자 8


쩯은 쌈 즉 숫자 3의 태국 전통 숫자에

오른쪽으로 꽁지를 위로 치켜드니 쩯이 되는구나. 오호.


뺃은 쩯 단어의 쩌짠 위에 붙어있는

마이 뜨리와 꼭 같은 모습이네.


오호 뺃은 즉 마이뜨리와 같은 모습의

태국어 전통 숫자를 쓰는구나. 아하.


KakaoTalk_20191028_110915712 (4).jpg


자, 물론 한 번 써봐야 겠지?


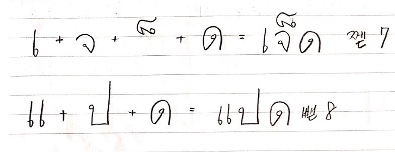
먼저 숫자 7 쩯을 보자.

싸라 에 + 쩌짠 + 마이뜨리 + 더덱 = 쩯 숫자 7


쩌짠이 중자음. 그리고 마이 뜨리.

중자음에 마이뜨리가 붙으면 high tone 3성

그러나 목이 칵 막히는 사음 엔딩이니까 low tone 1성


다음 숫자 8 뺃을 보자.


싸라 애+ 뻐쁠라 + 더덱 = 뺃 숫자 8


뻐쁠라가 중자음. 그리고 장모음에 사음엔딩.

이것 역시 사음엔딩이니까 중자음 + 사음엔딩은 low tone 1 성이다.

다만 장 모음이니 아래에서 빼앧 하고 길게 발음할 뿐. 하핫.

쩯처럼 1 성이다. 아래로 파팍 깔아서.


KakaoTalk_20191031_001605640.jpg


마이따이쿠와 뺃 모양이 비슷하다.

마이따이 쿠는 짧은 모음 싸라에가 종자음이 있을 때 따라오는 것.


뺏 8

시계방향 헤드로 시작해 왼쪽으로 두 번 굴곡을 주고 위로 가

꼭대기 부근에서 커브를 그린다.


까오 9

시계방향 헤드를 바닥에서 시작해 꼭대기에서 굽히고 다시 위로 뻗고

그 위에서 지그재그로 올라가 오른쪽으로 뻗어낸다.


KakaoTalk_20191028_111007753 (3).jpg


까오 9

중자음에 마이토가 붙었으니 falling tone 2성

높은 곳에서 아래로 내려오는 꽥 소리를 지르는 듯한 발음.


KakaoTalk_20191028_111007753 (2).jpg


이제 마지막 태국 숫자는 제로다.


쑨 0

써 쓰어+싸라 우+ 너누+ 여약=쑨

이것은 아주 기억하기 쉬운데 아라비아 숫자 제로와 꼭 같이 생겼기 때문이다.

다른 점은 쑨이 좀더 짧고 넓다.


KakaoTalk_20191028_111007753 (4).jpg


이제 숫자 1에서부터 10까지 써보자.

능 썽 쌈 씨 하 혹 쩻 뺕 까오 씹


KakaoTalk_20191028_111007753 (5).jpg


이제 불규칙 자음을 보자.

터타한과 러르는 둘이 합쳐져서 써소가 되어 S발음이 된다.

터타한 + 러르아 + 싸라아 + 여약 = 싸이 sand

터타한과 러르아가 합쳐져서 초자음 S를 만들어내는 것이다.


KakaoTalk_20191028_111222676 (2).jpg



다음 불규칙은 묵음 러르아다.

두 개가 합쳐지면 두번째 것 러르아는 발음하지 않는다.


쩯 뺃 까오 씹 7 8 9 10

그리고 불규칙 철자 3개의 자음 쩌짠, 써쏘, 써쌀라 와 써쓰어.


KakaoTalk_20191028_111222676 (4).jpg



복합 자음의 두 번째 것은 발음하지 않는다.


쩌짠 + 러르아 + 싸라이 + 응어응우 = 찡 real


쩌짠과 러르아 가 합쳐져서 초자음을 이루는데 여기서 러르아는 묵음이 된다.

그래서 우린 이걸 찡이라고 발음한다. 쩌짠 + 싸라이 + 응어응우 처럼 발음한다. 찡


KakaoTalk_20191028_111222676 (5).jpg



또 다른 중요 불규칙 철자는 어양과 여약이 함께 합쳐져서 시작할 때이다.

여약은 저자음이다. 그런데 여기 앞에 어앙을 붙임으로써 여약을 중자음처럼 만들 수 있다.

물론 여기서 어앙은 묵음이다. 그렇지만 이렇게 되는 건 딱 4가지뿐이다.

많이 쓰는 단어이므로 반드시 기억하자.

KakaoTalk_20191031_004355504.jpg

야, 유, 양, 약.


어앙+ 여약 + 싸라아,

어앙 + 여약 + 싸라 우,

어앙 + 여약+ 싸라아 + 응어응우

어앙 + 여약 + 싸라아 + 꺼까이


이 4개의 단어들은 모두 low tone 1성이다.

앞의 3개는 성조부호 마이엑이 1성을 만들기 위해 사용되었다.

그리고 마지막 단어는 사음 엔딩이라 1성이다.


대개 이때 허힙을 쓰는데 이 네 개의 단어에만

허힙 대신 어앙을 쓴다. 이 네 단어는 반드시 외우자.


야 는 don't.

유는 to stay

양은 a type, a style

약은 to want


이 네 단어를 외울 때 이 문구를 생각하라.

야유양약 Don't exist in a state of desire.

이것은 영어 이디옴과 매우 비슷하다.

Want for nothing.


KakaoTalk_20191031_005009644.jpg




마지막 불규칙 태국어는 타이 그 자체다.

마이말라이 + 터타한 + 여약 = 타이

이것은 초자음 터타한, 그리고 모음 싸라 아이, 그리고 여약이 마지막에.


여약은 거기 있을 필요가 사실 없다. 발음에 전혀 차이가 없으니까.

그러나 그게 우리가 그 단어를 쓰는 방식이니까 그냥 외워야만 한다.


요즘 젊은 애들이 쓰는 단어는 사전에도 없는 것들이 많다.

그러나 포기하지 마라. <끝>


keyword
꽃뜰 에세이 분야 크리에이터 프로필
팔로워 823