brunch

사교육 시장과 저출산의
시간지연적 악순환

스타트업이 거시 지표를 정확히 해석해야 하는 이유

by 카카오벤처스

안녕하세요. 카카오벤처스 투자팀입니다.


투자팀은 늘 창업 초기 단계에 있는 스타트업들과 함께 하며 시장 동향을 살피고 있는데요. 그러다 보면 궁금증과 고민이 생겨서 팀 안팎으로 많은 이야기를 나누게 됩니다. 아마 시장에 관심을 가진 분이라면 누구나 저희와 비슷한 상황에 있으실 듯합니다. 생각은 다양할수록, 대화는 깊을수록 좋기 때문에 저희가 가졌던 생각의 일부를 앞으로 하나씩 공유해 드리고자 합니다. 창업자, 투자자, 혹은 시장에 흥미를 가지신 분들께 조금이나마 도움이 되길 바랍니다.






스타트업이 거시 지표를 정확히 해석해야 하는 이유


이 글은 출산율’이란 거시 지표를 통해 ‘사교육’ 시장을 전망합니다.


스타트업은 거시적인 시장 상황에 좌지우지되기 쉽습니다. 중견~대기업에 비해 규모가 작아서 거시경제의 흐름을 거스르거나 버틸 여력이 작기 때문입니다. 따라서 시장 상황을 남들보다 빨리 파악하는 게 성공과 실패의 갈림길이 될 확률이 높습니다. 좋은 경영자의 필수 덕목 중 하나가 거시적인 흐름에 따라 예견된 리스크와 기회를 잘 관리하는 것도 그 때문입니다. 특히 시장의 성장 가능성을 파악하는 게 중요한데요. 스타트업이 속한 시장의 성장성은 스타트업의 성공 확률을 가늠하게 해줄 뿐만 아니라 스타트업에 대한 투자 매력도를 결정하기도 합니다.


문제는 해석에 따라 하나의 거시 지표를 두고 정반대 결론이 나올 수 있단 점입니다.

같은 지표를 보고도 누군가는 “이 시장엔 기회가 있다”고 말하고, 누군가는 “이 시장은 끝났다”라고 말하곤 합니다. 여러 데이터나 가설을 통해 치밀하게 결론을 내리면 좋겠지만 개개인의 직관이나 단편적이고 강렬한 사례 몇 개만으로 섣불리 시장에 대한 결론이 내려지는 경우가 많기 때문입니다. 스타트업만의 문제는 아닙니다만 앞서 언급했듯 초기 스타트업일수록 잘못된 시장 전망에 따른 피해가 클 수 있습니다.






저출산은 사교육 시장의 허들일까?


그런 맥락에서 이 글에선 요즘 가장 핫한 거시 지표인 ‘출산율’을 통해 (미성년자 대상)교육 시장’을 전망해봤습니다. 우리나라 합계출산율은 작년 4분기 기준 0.65명으로 세계 최하위입니다. 앞으로도 ‘초저출생’ 현상은 개선되기 어렵습니다. 출생아 수가 줄어드니 학생과 학부모 수가 줄어들고, 그렇다 보니 학생과 학부모를 대상으로 한 교육 시장도 점차 쪼그라들 것이란 인식이 만연합니다.


즉, 시장 규모를 단순하게 P(Price) * Q(Quantity)로 계산할 때 Q에 해당하는 학생 수(or 학부모 수)가 감소하니 시장 규모가 줄어들 거란 계산입니다. 이런 식의 접근은 쉽고 단순하지만 정확도가 떨어집니다. 실증적인 근거 없이 일반적인 가설에 사례를 하나 끼워 넣은 것에 지나지 않기 때문입니다.


해당 계산의 정확성을 과거 데이터를 통해 확인해볼까요?


과거의 데이터를 보면 ‘출산율 저하로 사교육 시장이 작아질 것’이란 주장이 잘못됐단 걸 알 수 있습니다.

과거엔 출산율 저하가 사교육 시장의 감소로 이어졌는지 확인하기 위해 2007년부터 2022년까지의 발표된 통계청의 ‘초중고사교육비조사’ 속 고등학생 1인당 월평균 사교육비국내 사교육비 지출의 총합, 그리고 해당 기간 고등학생의 출생 시점인 1989~2004년 합계출산율의 추이를 그래프 상에서 비교해봤습니다.



1*d2A5egGHZ-3bXfbB5QqhsA.png



위 그래프에서 볼 수 있듯이 합계출산율이 확실한 하락세에 접어들기 시작한 2009년부터 월평균 사교육비 지출이 증가해왔음을 확인할 수 있습니다. 특히 2014~2022년 동안 두 지표 간 상관계수는 -0.9878였습니다. 총 지출과 합계출산율 간의 상관계수도 -0.8288이었는데요. 학생의 출생 시기에 출산율이 낮을수록 사교육비 지출이 컸던 것을 알 수 있습니다. 이는 여러 연구를 통해서 예측할 수 있는 사실인데요. 즉, 위에서 사교육 시장을 추산하기 위해 사용한 P*Q 계산을 이용하자면 Q는 감소하지만 P가 더 빠른 속도로 증가했기에 지금껏 국내 사교육 시장의 규모는 출산율이 낮아질수록 오히려 커졌음을 확인할 수 있습니다.


통념을 깨는 결론이지만, 여전히 시장의 미래를 전망하기엔 부족합니다.

저출산 외의 요소들(집값, 공교육 질 저하, 학부모의 소득 등)이 사교육 시장에 미친 영향을 제거하지 못했기 때문에 ‘과거엔 이런 현상이 있었구나’ 정도로 참고할 시계열 추이에 지나지 않습니다.


하지만 ‘학생이 태어난 시기의 출산율과 사교육 시장 규모는 반비례한다’는 현상에서 흥미로운 가설을 떠올려볼 수 있습니다. 바로 저출산과 사교육 시장은 서로 부정적인 영향을 주며 악화한다는 것입니다. 즉 출산율이 낮으면 사교육비가 늘어나고, 사교육비가 늘어나면 출산율이 낮아지는 식의 악순환이 일어난다는 건데요. 그에 따라 저출산이 지속된다면 사교육 시장은 점점 더 커질 거란 예측을 해볼 수 있습니다. 이제 이 예측의 정확성을 데이터를 통해 검토해보겠습니다.






사교육과 저출산의 시간지연적 악순환


본격적인 검토에 앞서 출산율과 사교육 시장이 서로 ‘시간지연적 악순환(서로 부정적인 영향을 끼치지만 그 영향으로 나오는 결과가 서로 다른 시기에 나타남)’에 놓여있음을 짚겠습니다. 앞서 살펴봤듯이 출산율과 사교육비 지출은 서로 반비례합니다. 하지만 서로에게 미치는 영향은 동시에 실제 결과(출산 or 교육비 지출)로 나타나지 않습니다. 이미 10대로 성장한 학생의 학부모의 사교육비 지출은 현재 출산을 앞둔 부모의 출산율(=자녀 수요)와는 완전히 무관하기 때문입니다.


학부모는 출산을 결정하기 전에 자녀가 학교에 들어갈 시기의 사교육 시장의 규모를 확인할 수 없습니다.

따라서 출산을 결정할 시기에 얻을 수 있는 사교육 정보만 부모의 출산율에 영향을 줍니다. 반대로 올해 고등학생의 사교육비 수준도 올해 출산율의 영향을 받지 않습니다. 해당 학생들이 태어날 시기의 출산율, 즉 전체 학생 수가 몇 명이고 각 학생에게 형제가 몇 명 있는지 여부만이 그 학생들의 사교육비 수준에 영향을 줍니다. 즉, 출산과 사교육비에 대한 결정들은 동시에 일어나지 않습니다.


아래 그림은 그런 출산율과 사교육비 지출 간 ‘시간지연적 관계’를 나타냅니다.


1*O-tDEXV_otCqrL__32Lirg.png



모델 분석: 출산율 감소 속도보다 사교육비 증가 속도가 빠르다


이제 출산율과 사교육 시장의 시간지연적 악순환 관계가 실존하는지, 그렇기에 저출산이 심해짐에 따라 향후 사교육 시장은 더욱 커질 것인지 데이터를 통해 살펴보겠습니다. 이 글에선 가설을 검증하기 위해 크게 3가지 종류의 모델을 만든 뒤 *회귀분석을 해봤습니다.


분석 결과에 대한 설명만 확인하시려면 아래 사진과 사진 설명들은 건너 뛰시면 됩니다.


*회귀분석은 독립변수와 종속변수 간 관계를 찾고 독립변수의 변화에 따라 종속변수가 어떻게 변할지 예측하는 자료 분석법입니다. 이 글에선 저출산(독립변수)에 의해 사교육 시장 규모(종속변수)가 커질지 예측하기 위해 회귀분석을 사용했습니다. 회귀분석에 관한 자세한 설명은 다른 분의 글을 통해 확인하시면 더 이해가 잘 되실 듯합니다.


각 모델과 분석 결과는 다음과 같습니다.

데이터는 총 75,786명을 대상으로 한 통계청 2015, 2018년 초중고사교육비 조사의 마이크로데이터를 사용해 ▲학생의 형제 수 ▲부모의 소득 ▲부모의 교육 수준 ▲거주지역 등을 확인했습니다. 출산율 관련 지표는 통계청의 1997년부터 작년까지의 인구동향조사를 사용했습니다.




• Model 1: 가구당 출산율과 사교육비 지출 규모는 서로 반비례


1*Ja92uhafMPT5YqTx6hivzw.png


▽ (왼쪽) 통계 설명


먼저 학생의 ‘남매 수’를 독립변수로, 우리나라 월간 사교육비 총지출액을 종속변수로 하는 모델입니다. 남매 수는 한 가구의 출산율, 즉 자녀에 대한 수요를 보여주는 지표이며 약 7.5만 명 학생에 대한 개별 데이터가 존재하기 때문에 출산율과 사교육 시장 규모 간 관계를 파악하는 데 유용합니다.


회귀분석을 위해서 다음의 수식 모델을 세웠습니다.


수식(완전).1.jpeg


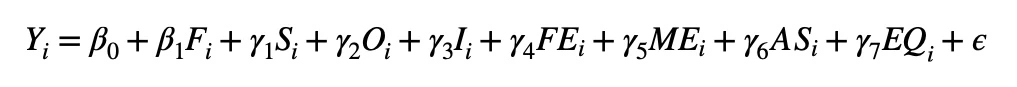
여기서 Yᵢ는 월간 사교육비 지출액, Sᵢ는 해당 학생의 형제 수, Iᵢ은 가구소득, ASᵢ는 월간 방과후학교 수업 지출액, FEᵢ는 아버지의 교육수준, MEᵢ는 어머니의 교육 수준을 뜻합니다.


식을 간단히 설명하자면 β값은 독립변수가 종속변수(Yᵢ)에 영향을 주는지 측정하기 위한 값이며, γ는 가구소득, 교육수준 등 출산율 외의 변수가 종속변수인 사교육비에 주는 영향을 처치해주기 위한 값입니다.


분석 결과를 보면, 모델1에서는 남매 수가 1명이 증가/감소하면(=자녀 수요, 즉 한 가구의 출산율이 증가/감소할 때마다) 한 가구의 월간 사교육비 지출은 약 4.41만원 감소/증가하는 것으로 나타났습니다.


▽ (오른쪽) 산점도 설명


산점도는 남매 수와 사교육비 지출의 관계를 나타낸 것입니다. 직관적으로 가구당 출생아 수가 적을수록 사교육비 지출이 크게 늘어남을 알 수 있습니다.




• Model 2: 지역별 출산율과 사교육비 시장 규모는 서로 반비례


1*4GCnmvKCtQ3j6Fq7hyJcLA.png


▽ (왼쪽) 통계 설명


이번엔 ‘남매 수’가 아닌 ‘지역별 출산율’을 독립변수로, 가구당 월간 사교육비 지출액을 종속변수로 하는 모델입니다. 가구의 사교육비 지출은 단순히 한 가구 내의 자녀에 대한 수요(=출산율)뿐만 아니라, 해당 가구가 속한 지역의 출산율의 영향도 받을 것이라고 예측했습니다.


이번엔 다음과 같은 수식 모델을 세웠습니다.


수식(완전).1 복사본.jpeg


마지막 EQ(지역별 사교육 수준, Education Quality)를 제외하고는 Model1과 같은 변수들입니다.

현재 설명변수로 사용하는 지역별 출산율은 해당 가구와 학생이 거주하는 지역의 사교육 수준이 얼마나 뛰어난지와 관련 있을 수 있기 때문입니다. 따라서 EQ를 측정하기 위해 지역별 학생 수와 강사 수 데이터를 얻어 학생 1인당 강사 수를 측정했습니다.


분석 결과, Model 1과 마찬가지로 출산율과 사교육비 지출액은 음의 관계를 띄었습니다. 즉, 출산율이 낮을수록 해당 지역의 사교육비 총지출액이 컸습니다. 각 가구의 출산율뿐만 아니라 사회 전체의 출산율도 사교육비 시장 규모와 반비례한다는 뜻입니다.


▽ (오른쪽) 산점도 설명


역시 지역별 합계출산율 수준과 월간 사교육비 지출액 간 산점도를 그려봤는데요. Model1(남매 수)만큼 뚜렷한 경향성은 보이지 않지만, 출산율과 사교육비 시장 규모는 통계적으로 유의하게 음의 관계를 보임을 알 수 있었습니다.




• Model 3: ‘출산율 쇼크’를 전후로 출생한 학생들의 사교육 시장 규모 비교


1*fS3KBmwsU5lQbCZSNexVvg.png


▽ 통계 설명


마지막으로 출산율과 사교육 시장의 관계를 시계열적으로 살펴보고자 했는데요. 하지만 장기적인 시계열 분석이 이뤄지면 출산율과 사교육 시장 간 내생성(출산율과 사교육 시장 둘 모두에 영향을 미치는 제3의 요소를 잡아내지 못했을 때 생기는 문제)으로 인해 실질적인 관계를 파악하기 어렵다고 판단했습니다.


따라서 장기적인 시계열 분석 대신 ‘출산율 쇼크’가 있었던 2000년을 전후로 태어난 학생들 간 비교를 진행했습니다. 출산율 쇼크란 1997~1999년과 2001~2003년의 출산율이 IMF 외환위기 등으로 인해 1.475와 1.226으로 크게 차이남을 말합니다. 이렇게 두 기간의 출산율-사교육비 시장 관계를 분석함으로써 단기적인 시계열 분석의 효과를 얻으려 했습니다. 만일 1997~1999년 출생아인 2015년 학생에 대한 ‘출산율-사교육비 간 음의 관계’보다 2001~2003년 출생아인 2018년 학생에 대한 ‘출산율-사교육비 간 음의 관계’가 더 강하다며 저출산이 심할수록 ‘출산율이 낮을수록 사교육 시장이 커지는 경향이 강하게 나타난다고 추측할 수 있습니다.


수식 모델은 다음과 같습니다.


수식(완전).1 복사본 2.jpeg


모델 1, 2와 βγ의 의미가 달라졌습니다.

기존 모델에서는 주 설명변수와 통제변수 간의 의미 구분을 위해 절편과 주요 설명변수의 계수를 β, 통제변수의 절편을 δ라고 했는데요. 모델 3에서는 계수가 많기에 2015년의 모든 계수 β로 표현했습니다. δ는 2018년 더미인 D²⁰¹⁸X의 교호항의 계수로, 절편을 포함한 변수들의 2015년 대비 2018년의 변화량을 의미합니다. 이번 분석에서 중요한 분석대상은 δ₁(합계출산율에 따른 사교육비 지출액 변화)입니다.


분석 결과, 출산율 쇼크 이후 출산율이 낮은 시기에 태어난 학생들의 사교육 시장이 출산율 감소에 따른 증가폭이 더 컸습니다. 저출산과 사교육 간 시간지연적 악순환은 출산율이 낮을수록, 즉 지금 같은 초저출산 시대에 더 강하게 나타남을 알 수 있습니다. 다만 2015년과 2018년이라는 단면적인 시점에 대한 분석만 진행했기에 장기적으로 해당 악순환이 어떤 양상으로 흘러갈지 신뢰성 있게 예측하긴 어렵습니다.






한국인의 K-전략과 소비 트렌드의 변화


분석 결과를 요약하면 출산율이 낮을수록 사교육 시장은 커질 것입니다.

저출산으로 인한 학생의 증가 속도보다 저출산으로 인한 가구당 사교육비 지출 증가 속도가 더 빠르기 때문입니다. 다만 지금 시점의 낮은 출산율은 현재의 사교육 시장에 바로 영향을 주진 않고, 지금 태어난 아이들이 학생이 될 시점의 사교육 시장 규모를 증가시킵니다.


이를 통해 알 수 있는 건 크게 두 가지입니다.


첫째는 저출산으로 학생 수가 줄어든다고 해도 교육 시장엔 충분히 기회가 많을 것이란 점입니다. 교육 시장의 규모는 단순히 학부모나 학생 수만으로 판단할 수 없고 지출 규모나 지출 대상의 종류를 봐야 하는데, 현재로선 학생 수의 감소를 상쇄할 만큼 지출 규모가 빠르게 증가할 것으로 보입니다.


둘째는 비단 교육 시장뿐만 아니라 자녀 양육과 관련된 대부분 시장에서 일종의 ‘K-전략’이 두드러지게 나타날 것이란 점입니다. 생태학에서는 생물의 양육 전략을 r-전략과 K-전략으로 나누곤 하는데요. r-전략은 일단 자녀를 되는 대로 많이 낳되 자녀 하나하나에 들어가는 비용을 최소화하는 전략입니다. 반면 K-전략은 자녀를 적게 낳지만 자녀 하나에 최대한 많은 투자를 하는 전략입니다.






‘출산율 감소 속도보다 사교육비 증가 속도가 빠르다’는 점을 통해 우리 사회에서는 점차 K-전략이 극대화된다고 예측할 수 있습니다.


자녀 한명이 최대한 많은 교육을 받게 하고, 건강한 음식만 먹고, 좋은 물건만 쓰게 하는 식의 양육법이 점차 심화하는 건데요. 달리 말하면 고관여 상품, 맞춤형 상품에 대한 소비자들의 관심이 더 커진다고 볼 수도 있겠습니다. 고관여 소비가 점점 증가하는 건 단순히 세대나 접근성 변화에 따라 취향이 세분화됐기 때문만이 아니라, 출산율이라는 지표와 K-전략이란 양육법의 결과일 수도 있습니다.


이렇듯 소비 트렌드가 바뀌게 된 배경을 다양한 각도에서 바라본다면, 소비자와 시장의 욕구에 한발 더 가까이 다가갈 수 있지 않을까요?




▼ 카카오벤처스 투자팀의 인사이트가 더 궁금하다면



#카카오벤처스 #스타트업 #초기투자사 #벤처캐피털 #Kakaoventures #VC

keyword
매거진의 이전글왜 우리는 초전도체를 못 만들까