brunch

백신 장기부작용에 대한 증거가 나오기 시작하는군요

by 이덕희

며칠 전 npj Vaccines에 백신의 장기 부작용을 시사하는 매우 중요한 논문이 발표되었더군요. 이 논문이 실린 저널은 네이처 자매지로 백신 분야에서 인정받는 주요 학술지입니다. 저자들은 TriNetX global network이라는 대규모 데이터셋을 이용하여 백신 접종과 망막혈관폐쇄증 발생 위험 간의 관련성을 12주와 2년 시점에 각각 평가했습니다.


백신접종이 시작되면서 청와대 국민청원 게시판에는 매우 다양한 비특이적 증상을 호소하는 사람들이 많았는데 그 중 하나가 시력저하였습니다. 망막혈관폐쇄증이란 말그대로 망막의 혈관이 막히는 질환으로 주증상은 갑작스런 시력저하이며 “눈에 생기는 중풍”으로까지 불리죠. 국내에서는 배우 강석우 씨가 백신접종 후 시력이 저하되어 6년간 진행해 온 라디오에서 하차한다고 밝히면서 한 때 이슈가 된 적이 있으나, 방역당국에서는 인과성이 없다고 주장한 바 있습니다.


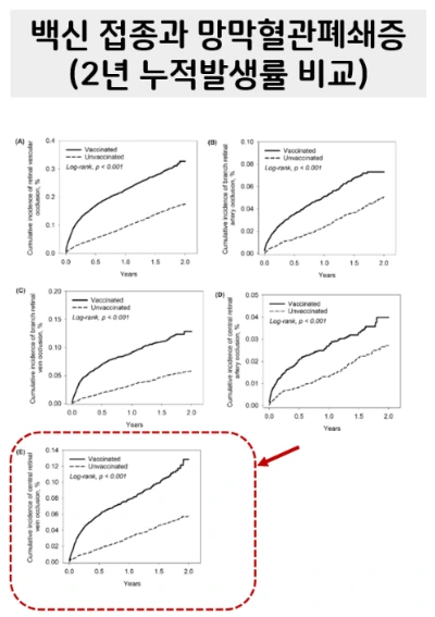
이번 npj Vaccines에 발표된 논문 결과를 요약하면 백신접종군의 망막혈관폐쇄증 발생 위험이 비접종군보다 12주 시점에는 약 3.5배, 2년 시점에는 약 2.19배 높았다는 것입니다. 백신접종 후 위험도 증가는 65세 이상과 18~64세 연령군에서 유사했으며 성별 혹은 인종에 따라서도 큰 차이가 없었습니다. 아래는 결과를 요약한 그래프로 망막혈관폐쇄증을 혈관이 막히는 위치에 따라 세분했을 때 특히 (E)망막중심정맥 폐쇄증이 시간이 갈수록 위험도가 더 높아지는 양상을 보였습니다. 장기 위험성은 주로 mRNA백신에서 뚜렷하게 보였다고 합니다.


망막혈관1.PNG


현재 백신부작용 인과성 평가에서 가장 큰 이슈 중 하나가 <42일 기준>입니다. 즉 백신 접종 후 42일 이내 발생한 부작용만 인과성을 인정한다는 것으로 “코로나 백신부작용 인과성 평가, 신뢰할 수 있을까?”에서 이는 이미 만신창이가 된 코로나 사태에 또 하나의 치명적인 오류를 추가하는 것임을 지적한 바 있습니다. 이번 npj Vaccines에 발표된 논문은 <42일 기준>은 물론이거니와 백신 부작용을 평가할 때 특정 기간을 조건으로 명시한다는 것 자체가 난센스임을 다시 한번 보여주고 있습니다. 백신접종 후 12주간 일일발생률을 비교해보면 전체 기간 동안 백신접종군의 위험이 지속적으로 높았으며, 망막중심정맥 폐쇄증은 시간이 지나감에 따라 위험도가 상승하는 추이까지 보여줍니다.


망막혈관2.PNG

망막혈관폐쇄증이란 망막에 존재하는 혈관에서 발생하는 문제임을 의미하는 것일 뿐입니다. 이 백신이 망막의 혈관에 문제를 발생시킬 수 있다면 다른 장기나 조직에 존재하는 혈관에는 미치는 영향이 없을까요? 고작 4개월 임상시험을 거쳤던 mRNA백신을 가지고 인류가 도대체 무슨 일을 벌인 걸까요?


keyword
작가의 이전글장기 학교폐쇄를 선택했던 한국, 누구를 위한 것이었나?