내 고객 한 명의 가치는 얼마일까?

숨고 플랫폼은 당근마켓을 이겨낼 수 있을까?

by 채과장

한 명의 신규 고객을 얻기 위해선 얼마의 비용이 들까?


안녕하세요.

숨고라는 서비스를 혹시 써보신 적 있으신가요?


'기업 이야기'에서 숨고에 대해 말씀드린 적이 있어요. 과외서비스를 제공하는 사람과 과외서비스를 받고 싶은 사람을 이어주는 플랫폼입니다.


숨고의 수익 모델은 다른 플랫폼 서비스처럼 중개 수수료를 취하는 형식은 아닙니다.

배민으로 비유해서 말하면 서비스 제공자(음식점)가 서비스 취득자(음식 먹는 사람)에게 서비스 견적을 보낼 때 숨고 캐시를 써야 합니다.


숨고 캐시를 더 빈번하게 혹은 더 비싸게 쓸수록 숨고에겐 유리한 구조이죠.


숨고에서 인테리어 견적을 받고 싶어서 숨고에 들어가서 나의 요청사항을 보냈을 때 고수들이 보내는 그 견적서는 견적서 한 개당 2,000원 ~ 3,000원짜리 견적서였던 겁니다.


저는 숨고에서 2019년 8월부터 견적서를 보냈던 것으로 확인했습니다.


그동안 숨고에 견적서를 보낸 수는 427건이었습니다.

그리고 숨고에서 저랑 서비스를 시작한 고객은 19 명이었습니다.


4.4%의 비율이죠. 20건의 견적서를 보내면 고객을 한 명 얻을 수 있는 확률입니다.

물론 서비스 제공자인 숨고 고수의 경쟁력에 따라 이 비율이 달라질 수 있습니다만 어쨌든 4.4%가 저의 신규 고객 유치율입니다.


그러면 4.4%의 비율인데 이게 뭘 뜻하는 걸까요?

다시 한번 들여보면 저는 대략 45만 원가량을 숨고에서 마케팅 비용으로 지출했습니다.

그리고 제가 만난 고객의 수는 19명이니, 1명의 새로운 고객을 만나기 위한 비용을 계산할 수 있습니다.

새로운 1명의 고객을 획득하기 위해선 저는 24,000 원을 지출해야 한다는 걸 뜻합니다


그러면 이 24,000원이 제가 언급한 고객 1명의 가치일까요?

그렇지는 않습니다. 제가 언급한 건 숨고 고객 1명의 가치이지 비용은 아니니까요



고객 생애가치란?

고객 생애가치(Customer Life Value)라는 것이 있습니다.

한 명의 고객이 나에게 가져다주는 평생 가치를 뜻하는데,


이 용어는 보통 이 질문으로 시작하죠

'한 명의 신규 고객을 획득하는 것이 좋은가? 기존 고객을 잘 유지하는 것이 좋은가?'


답은 간단합니다.

기존 고객의 이탈을 방지하는 것이 신규 고객 한 명을 유치하는 것보다 더 ROI가 높습니다.



왜냐면 신규 고객을 확보하기 위해서는 제가 위에 설명한 신규 고객 획득 비용 24,000원 같은 비용이 들어가기 때문입니다


그냥 가입했다가 혹은 이벤트 때문에 가입한 곳에서 계속 카톡이나 문자, 이메일로 메시지를 보내는 건 당연한 마케팅 활동입니다. 우리가 그 사이트에 가입했던 이벤트가 그 회사 입장에선 신규 고객 획득을 위한 마케팅 비용이었으니까요


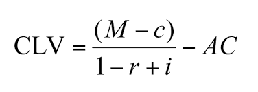
공식.png

CLV: 고객 생애가치

M: 고객 1인당 평균 매출, 보통 1년 단위

c: 고객 1인당 평균 비용 보통 1년 단위

r: 고객 유지비율(retention rate)

i: 할인율

AC: 신규 고객 획득비용


이 고객 생애가치 공식에 따라 숨고 고객의 CLV를 계산하기 위해서는

숨고로부터의 전체 매출, 숨고 고객의 수, 고객에게 드는 비용, 고객 유지 비율, 할인율, 신규 고객 획득비용이 필요합니다


이 중 금방 알아낼 수 있는 건 숨고 전체 매출, 숨고 고객의 수입니다.


반면 전체 견적 수를 숨고에서 찾아내기 쉽지 않습니다.

하나하나 세는 방법도 있고, 크롬 개발자 도구에서 태그명으로 찾을 수도 있습니다. 태그명으로 찾으면 신규 고객 획득 비용도 금방 찾을 수 있습니다


금방 나오지 않는 건

고객 1인당 평균 비용, 고객 유지 비율, 할인율입니다.


고객 1인당 평균 비용은 인테리어 업종처럼 재료가 들어가고 기타 비용이 매출의 그동안의 경험을 되살려 매출의 몇 %라고 가정할 순 있지만 강의를 하시는 분들은 산정이 쉽지 않을 수도 있습니다.

시간당 자신의 매출에서 몇 %가 자신의 인건비 정도인지 산정을 해야 하니까요. 저 같은 경우는 45%로 잡았습니다


그리고 고객 유지 비율은 1년 이상 강의를 하신 분이라면 1년 넘게 나랑 강의를 진행하는 사람이 몇 명이고 전체 수강한 사람의 수가 몇 명인지 계산하면 금방 나올 수 있습니다.

하지만 강의라는 특성상 1년을 텀으로 잡으면 너무 길고, 6개월 정도면 어떨까 생각이 드네요. 1년 이상 나랑 계속 과외와 강의를 진행하는 사람이 많을지.. 아직은 잘 모르겠습니다.


할인율은 결국 기업가치평가라는 개념과 맞닿아 있는데,

간단하게 설명하면 오늘의 1만 원이 내년의 1만 원과 같으냐? 다릅니다.

오늘의 1만 원의 가치가 내년의 1만 원 가치보다 더 큽니다.

왜냐면 금리 때문이죠. 오늘 1만 원을 은행에 맡기면 내년엔 아주 적은 금액이지만 이자가 붙습니다.


오늘 1만 원 > 내년 1만 원

그렇기 때문에 고객 생애가치에도 이 시간에 대한 개념이 필요해서 할인율이란 요소가 들어갑니다

그런데 어떻게 구해야 할까요?


기업가치를 평가할 땐 보통 WACC을 씁니다.

하지만 개인사업자인 강의자들은 자신만의 할인율을 적용해야겠죠. 한국은행의 기준금리를 적용하기도 어려울 것 같고요. 제 생각인 사업을 하기 위한 대출이나 본인의 주담보 대출이 있으면 그 이자율을 적용하면 괜찮을 것 같아요


그래서 이런 공식에 하나하나 대입해보면 저에게 숨고 고객 1명의 가치는 419, 790원 거의 42만 원으로 나옵니다 강의를 제공하는 입장에선 숨고 고객 1명의 가치를 더 끌어올리는 것이 저의 사업에 더 긍정적인 요소를 가져옵니다.


방법은 2가지이죠.

고객 이탈률을 줄이거나 신규 획득 고객 비용을 낮추는 것입니다.


고객 이탈률을 줄이는 건 저의 몫이지만 숨고라는 플랫폼 내에서 신규 획득 고객 비용을 낮추는 건 제가 할 수 있는 부분이 있고 없는 부분도 있습니다.

견적서를 보내는데 비용은 숨고 플랫폼의 프라이싱이기 때문에 제가 할 수 없는 부분입니다. 위에서 말씀드린 6월 30일 숨고는 캐시 정책을 바꿨다고 말씀드렸잖아요?



숨고의 신규 캐시 정책은 효과적일까?


사실 2020년 4월에 숨고는 이미 캐시 정책을 한 번 바꿨습니다

이 정책을 제가 언급하며 숨고에서 과외서비스를 제공하는 사람들은 숨고를 떠날 수도 있다고 말씀드렸습니다.


제 예상이 맞았는지 아닌지 알 수 없지만,

숨고는 6월 30일 새로운 정책을 내놓았습니다

견적서를 보내는 비용과 상담비용을 이원화하겠다는 정책입니다.


단순히 생각해보면 4월에 숨고캐쉬로 바뀌고 나서 숨고 고수들이 견적서 보내는 걸 신중히 생각해서 보낼 수 있겠죠. 견적서 하나하나가 바로 비용 이니까요.


그리고 제가 위에 적은 것처럼 저 같은 경우는 20개를 보내야 1명이 저의 고객이 되는 경우인데(사실 저의 리뷰는 좋은 편에 속해도 그렇습니다) 고수들은 더 몸을 사릴 수밖에 없겠죠


숨고를 이용하는 고객의 경우에는 예전보다 고수들의 견적서가 적게 오니까 그다지 이 플랫폼을 찾는 효용을 느끼지 못해서 재접속률이 떨어질 수도 있습니다.


그래서 6월에 다시 변경한 내용이 견적을 보내고, 고객이 관심을 보이고 상담을 시작할 때, 상담비용을 추가로 받겠다는 내용입니다.


견적을 보내는 데 4월까지는 견적서 1개당 3,000원이었다면 7월부터는 견적서 보내는 데는 500원, 고객이 응답을 해서 상담이 진행되면 상담 채팅을 할 수 있는 비용 4,500원이라는 겁니다.


즉 견적서를 보내도 거기 회신 비율 고객이 많지 않으니 고객을 유치할 확률이 높아진 상황인 상담을 시작할 때 돈을 더 받겠다는 내용인데 좋은 정책이라고 생각합니다.


하지만 숨고의 캐시 정책은 또 변경되었습니다. 상담비용을 더 낮춘다고요


왜냐면 숨고에서 고수가 견적서를 보낼 때 기존에는 고수가 여러 메시지와 자신의 강의자료를 첨부할 수 있는 가능성이 있었는데, 견적서를 가격을 낮추면서 비용과 고수의 프로필만 전달하기 때문에 고객 입장에서는 고수가 뭔가 더 말해주길 기다리고 있으니까요


대부분의 고객은 수동적입니다.

결국 서비스 제공자가 이런저런 말을 더 해야 하는데, 상담비용은 기존의 견적서 비용보다 더 상승했기 때문에 상담을 주저할 수밖에 없습니다.


그래서 숨고는 다시 상담비용을 낮추는 방안을 냈고요.

하지만 제 생각엔 숨고가 본인들의 플랫폼을 더 활성화하기 위해서는 고수들의 신규 고객 획득 비용을 낮춰주는 방안과 매칭 확률을 높여주는 것 두 가지가 중요할 것입니다.


마지막 정책 변경으로 고수 입장에선 신규 고객 획득 비용이 낮아졌으니 일단 긍정적으로 작용할지 지켜봐야 할 것 같습니다.


대신 매칭 확률을 높여주기 위해선 고객의 요구사항을 더 자세하게 명시하게끔 도와주는 것입니다.

고수와 고객의 거래가 이어지는 가장 중요한 요소 중 하나는 가격인데, 사실 가장 중요하지 않을까요?


고수가 견적을 보내기 위해 찾아보는 고객의 요구사항에 고객이 얼마를 생각하는지 나와있지 않습니다.

기껏 상담을 시작했더니 가격이 안 맞아서 진행하지 않겠다고 하면, 고수 입장에선 마케팅 비용만 날린 셈이죠.


그리고 고수 입장에선 이 마케팅 비용 소비 방식이 그다지 효율적으로 보이지도 않았습니다.

그럼 다시 견적서를 전보다 적게 보내겠죠


숨고가 숨고를 이용하는 고객에게 수수료를 부과할 생각은 없어 보입니다. 배민도 고객에게 수수료를 받지는 않죠. 음식점에게만 받으니까요.


숨고도 서비스 제공자인 고수들에게만 숨고 캐시로 돈을 받고 있는데 배민처럼 강력한 지배 플랫폼을 갖추지도 않은 상황에서 일방적인 서비스 부과를 한다면 당근마켓에 밀릴 수도 있다는 생각이 듭니다


당근마켓에서 이런 서비스를 제공하고 있고 실질 트래픽은 훨씬 더 증가하고 있습니다.

어차피 고수들과 고객의 만남은 장소 지향적입니다. 고수를 뵙기 위해서 서울 동쪽에서 인천까지 올 일은 없습니다.


온라인 강의들을 하는 고수도 많아지지만(사실 저도 zoom으로 온라인 강의를 합니다), 아직 모든 연령대가 온라인 강의에 익숙한 게 아닙니다.


그리고 젊은 연령도 오프라인 수업을 더 선호하는 사람도 많고요. 그렇다면 신규 고객 획득 비용도 낮고, 주위의 장소에 더 많이 홍보될 수 있는 당근마켓으로 과외 플랫폼이 옮겨갈지도 모르겠네요.



매거진의 이전글위기의 미국 기업들