환절기, 건조주의보의 의미

시 아흔하나

by 설애

환절기


임영조


밖에는 지금

건조한 바람이 불고

젖은 빨래가 소문 없이 말랐다

생나무가 마르고 산이 마르고

도시의 관절이 삐걱거렸다


사람들은 늘 갈증이 심해

내뱉는 말끝마다 먼지가 났다

가슴이 마르니까 눈만 커진 채

안부를 물어도 딴전이나 부리며

저마다 귀를 빨리 닫았다


저 멀리 좌정한 산이

어깨를 들썩이며 기침을 하자

온 마을엔 별의별 풍문이 나돌고

긴장한 나무들은 손을 들고 떨었다


세상은 이제

누군가 불만 댕기면

활활 타버릴 인화성 물질

건조주의보가 내려진 날은

단 한 방울 눈물도 보이지 말고

자나 깨나 불조심

오나 가나 입조심

어쨌거나 요즘은 환절기니까


건조해진 공기가 마음까지 마르게 하면

산도, 도시도 불조심, 입조심입니다.


마르는 게 빨래이거나 생나무뿐 아니라

세상인심이라면

눈물 숨기고 조심조심 살아야 하나 싶습니다.


건조주의보가 새삼 무섭습니다.




건조주의보는 실효습도가 35% 이하인 날이 2일 이상 계속될 것이 예상될 때 발령되고, 25% 이하인 날이 2일 이상 계속될 것이 예상될 때는 건조경보를 발표합니다. 건조가 많이 된 목재의 연소 속도가 빨라지기 때문에 실효습도가 50% 이하인 경우에는 산불 가능성이 높다고 합니다.


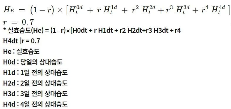
실효습도 공식입니다. 더 오래 전의 습도에 가중치를 주는 방식의 가중평균을 사용하여 구합니다.

출처: https://share.google/0z8tzxifxZwXwkiMg

이때 사용하는 것은 상대습도인데요, 상대습도는 일정온도에 포함될 수 있는 최대 수증기량인 포화 수증기량 대비 현재 수증기량입니다. 온도가 높아질수록 포함할 수 있는 수증기량은 증가하기 때문에 이렇게 계산하는 것이고, 포화 수증기량이 넘어가면 이슬이 생성됩니다.

출처 https://share.google/images/bBB178adnoHrGeCnu

이 그래프로 잘 설명되는데, 온도가 낮아지면 응결되어 이슬이 생깁니다. 그래서 아침, 저녁 기온이 낮아지면 이슬 맺히는거죠.




과학은 잘 활용될 때 가치가 있습니다.

건조주의보는 5일의 누적 결과인 실효습도가 2일 이상 지속되어 내려지는 것이니, 적어도 6일의 누적 결과입니다. 과거로 미래를 예측하여 주의보를 알게 되는 것도 소중한 정보입니다.


그런 정보들 잘 활용하셔서 환절기, 감기조심, 마음조심하세요.


설애가 당신의 행복을 바라며 시 한 잔 나눕니다.
keyword