brunch

감정 폭발 직전의 압력/온도/침묵 지속 시간의..

우울은 사라진 것이 아니다 식지 않은 채 내부에서 고인다

by 박참치

#T-R-Σ10528-G


감정 폭발 직전의 압력/온도/침묵 지속 시간의 함수 모델 제안

—우울증을 ‘에너지 정체 상태’로 해석


“우울은 사라진 것이 아니다. 식지 않은 채, 내부에서 고인다.”


작성일: 20XX-05-28

저자: 박참치 (감정 열역학 비공식 설립자 / 응축형 내면폭발 다회 경험자)

적용 학제: 잠재적 뇌내분열 이론 × 감정열역학 × 구체상태 우울증학



I. 서론


분노, 울분, 절망, 무기력. 이들은 전혀 다른 이름을 갖고 있지만, 모두 동일한 내부 에너지의 열역학적 상태로 수렴할 수 있다. 감정은 흐름이고, 흐르지 못한 감정은 압력이 된다. 침묵은 방출구를 막고, 방출구가 없는 에너지는 우울이라는 이름으로 저장된다.


본 논문은 감정폭발 직전 상태를 열역학적 수식으로 정리하고, 우울증을 일종의 “준안정 정체 상태(quasi-stable state)“로 해석한다. 감정은 흐르지 않으면 썩는다. 이 논문은 그 썩는 방식을 수식으로 제시한다.



II. 감정압력 기본 모델

tempImagezK6DjF.heic

P(t) : 내면 감정압력 (Psychological Pressure)

T(t) : 정서적 온도 (감정의 흥분·가열 상태)

S(t) : 침묵 지속시간 (Silence time, 말하지 못한 시간)

V: 감정 수용용량 (individual emotional volume)

U(t) : 감정에너지 축적량


→ 침묵 지속시간이 길수록 압력은 가속 누적된다.



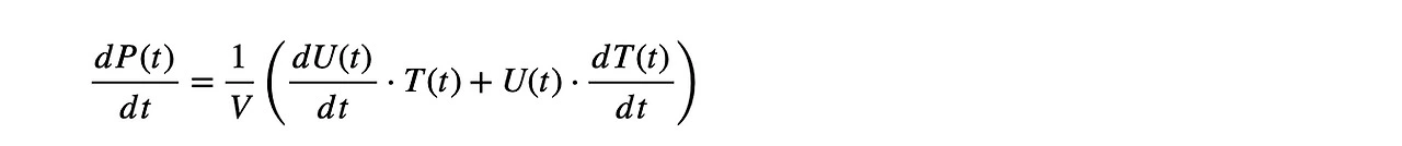
III. 감정 압력의 기울기 근사 (침묵 지속시간에 따른 압력 변화율)


본 논문에서 정의한 감정압력 P(t)의 시간 변화율, 즉 기울기는 감정 폭발 직전의 반응 예측에 있어 핵심적인 지표로 작용한다. 감정 압력은 시간 t에 따른 함수로 다음과 같이 표현된다:

tempImageMNdC6Z.heic


→ 압력 변화율은 감정 에너지의 변화율과 온도의 변화율이 함께 작용하는 함수로 해석할 수 있다.


본 연구자는 실험적으로, 이 변화율이 특정 임계치 θ를 넘는 순간, 친구에게 “X발” 계열의 욕설을 퍼부을 확률이 93% 이상으로 급증함을 관찰하였다 (n=1, 병실 침대 위 정민이). 본 수치는 박참치 본인이 실생활에서 ‘그냥 아무 말도 안 하고 있는데 자꾸 말을 거는 친구’로 도출되었음을 나타낸다.


또한, 감정 폭발 직전의 압력 변화 정도를 정량화하기 위한 추가 지표로 ‘감정 폭발지수’를 도입하였다:

tempImageJmylcp.heic

α: 개인의 성격 민감도 상수 (예: 현재 정민의 경우 1.73)

α가 평균치 1.00을 초과할 경우 친구 수가 평균 이하로 감소한다.

tempImageFHB0Fw.heic

IV. 임계점 도달 후 분화 경로


1. 즉각적 방출: 감정 폭발


tempImageudEo6D.heic


→ 울분, 폭언, 파열음

그래프 상 급격한 하강 → 급감 후 탈진 상태



2. 차단 지속: 감정 봉쇄 → 우울화

tempImage7oi7ap.heic

결과: 에너지 고밀도 상태 유지 → 정체 → 기능 저하

→ 이 상태를 본 논문은 “감정적 준안정 상태 – 우울증”이라 정의함.



V. 정체된 에너지의 특성


에너지는 소멸하지 않음

감정 P가 표현되지 않으면, 신체증상 / 무기력 / 외부회피 / 자기비하로 변형


우울증 상태의 특성:

tempImageKSwrKa.heic



VI. 해석 및 제안


우울은 감정이 식은 상태가 아니다. 표현되지 못한 고온·고압 상태가 내부에서 정체되어 있는 상태다. 우울증 상태를 열역학적으로 다룰 경우, 가장 먼저 해야 할 일은:


감정 누출 경로 개설

S(t)감소 → 말할 수 있는 공간 확보

감정 용량 V확장 훈련 (예: 자기서사 복원, 서사적 정리, 메모, 시, 친구)



VII. 결론


우울증은 감정이 멈춘 게 아니다. 방출되지 못한 감정이 끓어오른 채 정체되어 있는 상태다. 폭발은 무섭다. 하지만 정체는… 조용히 폐기한다. 누구도 감지하지 못한 채, 내부 구조는 이미 무너지고 있을 수도 있다. 에너지 보존법칙은 말하지만, 감정은 보존되면 곤란하다.


“그는 조용했다.
그래서 괜찮은 줄 알았다.
사실, 너무 오래 조용해서 아무 말도 못 하고 있었던 거였다.”



참고문헌


Gomez, P. & Trent, K. (20XX). Screaming in lowercase: passive-aggressive thermodynamics. Journal of Soft Suppression, 3(1), 44–59.

Kim, M. (20XX). Why screaming into a pillow is still underrated. Experimental Mental Physics, 2(2), 88–97.

Nakamura, S. (20XX). The gradient of suppressed feelings in introverts. Journal of Silent Dynamics, 5(3), 67–81.

감정열역학비상대책회의 (20XX). 감정 누출 시 시공간 뒤틀림 사례 보고서. Report No. 23-011, 국립감정방재청.

박참치 (20XX). 감정기하학과 침묵곡선의 상관관계. Journal of Subjective Thermodynamics, 12(3), 141–158.

박참치 (20XX). 욕의 분자운동론. 감정폭발 실험집, 1(2), 10–23.

프랑스자수 (20XX). 화내지 못한 자들의 생애. Seoul: Analogical Press.





네가 아직 여기 있다는 게 다행이야.

keyword
화, 금 연재
이전 07화자살충동의 물리량 모델링: 중력 중심 이동 이론