brunch

소인수분해

[Essay]

by 한은

[4] 수학의 꽃은 곱하기와 나누기

스크린샷 2025-04-17 오전 10.41.32.png

2를 표현하기 위한 숫자들의 연산이 무수히 많이 존재한다. 1+1=2, 0.5+0.5+0.5+0.5=2 등 2를 결과값으로 가지는 연산이 셀 수 없을 정도로 무한하다. 덧셈 뿐만 아니라 뺄셈, 곱셈, 나눗셈으로 2를 결과 값으로 얼마든지 만들 수 있다.

한장수학01_01.png
img.jpg

어떠한 결과값이 나와있는 숫자에 대해서 어떤 숫자들이 합성이 되어 표현이 되었는가 알기 위해서 곱해져있는 숫자를 분해하는 인수분해를 하게 된다. 인수분해하는 과정 중에서 숫자를 더 간단하게 표현하기 위해 소수(Prime number), 1과 자신만을 약수로 가지는 숫자로 분해하여 어떤 숫자들이 곱해져 있는지 알 수 있는 소인수분해가 있다. 소인수분해를 통해 결과값이 큰 숫자던, 작은 숫자던 어떤 숫자들이 합성되어 있는지 바로 찾을 수 있게 되었다. 그리고 지수를 통해 소인수가 몇번 곱해져있는지 알 수 있어서 아무리 큰 숫자여도 간단하게 표현이 가능하다.


무수히 많은 더하기, 빼기, 나누기의 표현 중에서 곱셈을 이용하게 되면 간단히, 짧게 숫자를 설명 할 수 있다. 그렇다.. 고등학생으로 넘어가면서 무리수의 영역을 배우게 되면 하루종일 곱하기, 나누기만 하고 있다. 계산하는 것은 곱하기와 나누기 뿐이지만 숫자의 영역이 넓어지면서 어떻게 곱해야하고, 어떻게 나누어야 값이 나오는지 판단하기 어려워지기 때문에 고1부터 수포자가 확실하게 많아진다.

IMG_3922.jpg
2019-07-05-18-06-05.jpg

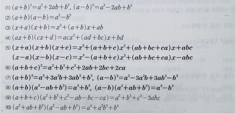
중1은 숫자를 문자로도 사용 할 수 있음을 알려주고, 중2는 숫자이면서 문자의 식들을 더하고 빼는 것을 연습한다. 이후 중3은 숫자이면서 문자의 식들을 더하고, 빼고, 곱하고, 나누는 방법을 문자와 식 그리고 다항식의 계산에서 배우게 된다. 고1부터는 문자와 식 그리고 여러 다항식들을 곱해보니 많은 규칙들이 발견 되었음을 알려주며 곱하기의 숙명인 "곱셈공식", "인수분해공식"을 외우게 된다. 고1부터는 어떻게 곱해져서 이 값이 나왔냐도 중요하지만 "몇번 곱해져있냐"가 정말 중요하다. 숫자와 문자들이 각 항마다 몇번 곱해져있냐를 잘 찾으면 중1 ~ 고1 수학은 금방 잡을 수 있을 것이다.


[4-1] 수학 잘하고 싶으세요? 사실 저도 못해요..


수학은 고이다 못해 썩은물들 너무 많이 존재한다. 나는 각 학년별로 배우는 수학의 기본이 되는 기둥들도 대학을 가서 알게 되었다. 왜 학생 때는 이런 일들이 보이지 않고 꼭 시간이 지나야만 보이는지... 너무 억울하다. 고등학교 때 무작정 외워서 성적을 만들었지만 대학에서는 차원이 다른 공부였다. 외우는 것만으로 절대 공부가 되지 않았다. 그래서 무작정 여러 수학 문제들과 씨름을 하느라 시간을 전부 뺐기고 정작 해야하는 전공 과제들은 못했었다. 하지만 그 씨름을 하는 시간이 많아지면 많아질수록 나의 전공 공부 속에서도 집중하는 수준에 변화가 너무 분명하게 있었다.


흔히 말하는 요즘의 a(알파) 세대 학생들은 씨름할 의사가 전혀 없다. 아닌 친구들도 많지만 대부분 씨름하는 것을 불편하게 생각한다. 기가 막히는 풀이 방법을 찾고는 있지만 정작 본인 생각은 전혀 없는 풀이 방법들이 너~~~~~무 많다. 그래서 나는 학생들을 가르칠 때 한 문제만 던져주고 어떻게 풀이할거냐고 물어본다. 외웠던 공식들을 왜 대입해야하며, 어떻게 대입하고, 왜 그렇게 대입을 해야만 하는지 설명하다보면 그 학생과 내가 함께 문제를 씨름하고 있고 그 문제는 앞으로 그 학생의 것이 되면서 절대 틀리지 않는 문제로 변한다.


나도 고등학생 때는 무작정 외웠지만 학생들에게 "제발 무작정 외우기만 하지마"라며 잔소리 하는 내 모습이 굉장한 아이러니이다. 하지만 내가 학생들에게 그러한 멘토이자 선생이자 선배가 되어줄 수 있다는 것에 큰 뿌듯함을 느낀다.

keyword
이전 03화더하기, 빼기, 곱하기, 나누기