brunch

2.1 도시는 살고, 기업은 죽는다.

도시에서 배우는 기업의 생존 전략

by 상효이재

La La Land - "City of stars" scene


초선형적인 도시, 저선형적인 기업


복잡계는 비선형적입니다. 선형적이지 않다는 것은 곧 지수적인 흐름과 분포를 보인다는 것입니다. 자기조직화에 의한 창발, 혁신은 그 중에서도 지수적, 다시말해 기하급수적(exponential)으로 ‘증가(+)’하는 것을 뜻합니다. 복잡계 물리학자들은 이를 초선형 스케일링(superlinear scaling)이라고 표현합니다.


그런데 비선형적인 것이 곧 초선형적인 것만을 뜻하는 것은 아닙니다. 예를 들어 동물이 살아 있기 위해 매일 소비하는 먹이와 에너지의 양의 경우가 그렇습니다. 예컨대 다른 동물보다 몸집이 2배 큰 동물은 매일 추가로 소비해야 하는 먹이와 에너지의 양이 선형적 추정을 할 때 예상할 수 있는 100퍼센트 혹은 초선형적 추정을 할 때 예상할 수 있는 300퍼센트가 아니라 겨우 약 75퍼센트에 불과합니다. 즉 생물계에서는 몸집이 큰 동물이 더 작은 동물보다 상대적으로 더 적은 먹이, 에너지량으로 움직일 수 있습니다. 계의 크기가 증가함에 따라 체계적으로 에너지가 절약되는 ‘규모의 경제(economy of scale)’를 갖는 것입니다. 이런 유형의, 또다른 지수적 스케일링을 저선형 스케일링(sublinear scaling)이라고 합니다.



기업과 도시의 공통점은 비선형적으로, 바로 정규분포•가우스 곡선이 아닌 지수적인 멱함수 법칙을 따른다는 것입니다. 도시와 기업은 얼핏 공통점이 많습니다. 에너지와 자원을 대사하고 폐기물을 배출하고 커지고 적응하고 진화하며, 질병에 걸리고 더 나아가 종양(위기), 성장이라 특징지을 수 있는 점들을 공유합니다. 나이도 먹습니다. 그런데 차이점이 있습니다. 도시는 초선형 스케일링을 따르는 반면, 기업은 생물과 같이 장기적으로 저선형 스케일링을 따릅니다. 즉 기업은 사실상 거의 모두 죽는 반면, 도시는 죽어 사라지는 곳이 거의 없을 뿐더러 지수적으로 팽창한다는 것입니다.


도시의 기하급수적 성장


도시의 초선형적인 팽창은 인류의 사회•경제적 팽창과 그 궤를 같이 합니다. 이론물리학자 제프리 웨스트_Geoffrey West의 분석에 따르면 우리의 사회적 경제적 삶이 지수적 속도로 팽창해 왔음을 가장 잘 보여주는 사례는 지난 200여년 동안 일어난 인구 폭발입니다.[i] 지구에 사는 사람들의 수는 200만 년 동안 천천히 꾸준히 증가한 끝에 1805년에야 10억명에 도달했습니다. 하지만 이어진 산업혁명으로 세계 인구는 폭발했습니다. 인구가 10억명 도달하는 데는 200만년이 걸렸지만, 다시 10억 명이 더 늘어나는 데는 120년 밖에 걸리지 않았습니다. 그리고 다시 한 번 더 10억 명이 늘어나는 데는 35년도 채 안 걸렸습니다. 그 뒤에는 겨우 25년밖에 안결러서 1974년에 40억명에 이르렀습니다. 이후 지금은 또 2배가 늘어 73억명을 넘습니다. 인구 폭발로 상징되는 사회경제적 팽창과 궤를 같이해온 것이 도시 도시화입니다. 그래프를 보면 1800년 산업혁명 이래로 인류는 세계 대전 등과 같은 많은 위기와 불황을 겪었지만, 거대한 흐름을 보면 사회경제, 도시화는 꾸준하게 지수적으로 성장하고 있습니다.



그림 1
약 1만년전 이래로 세계 인구는 지수적으로 성장했습니다. 1800년경 시작된 폭발적인 성장은 산업혁명과 도시화의 시작을 알립니다.


그림2
1800년 이래로 미국 GDP 성장률로 나타낸 도시화에 수반된 사회경제의 급성장. 많은 위기와 호황, 불황을 겪었지만 순수한 지수적인 실선은 이 추세를 아주 잘 묘사합니다.


이론 물리학자 제프리 웨스트(Geoffrey West)의 연구결과에 따르면 도시의 기반시설은 인구의 크기에 따라 저선형으로 증감하지만(즉 도시가 커질수록 상대적으로 그곳에 필요한 기반시설의 양은 작아지지만) 도시의 본질적 특성이라 할 수 있는 사회경제적 수치 -이를테면 인구, 임금, GDP, 식당, 특허, 독감, 범죄 등과 같은-는 초선형적으로 증가했습니다. 따라서 도시가 더 클수록 혁신적인 ‘사회적 자본’이 더 많이 창출되고 그 결과 평균적인 시민은 상품이든 자원이든 착상이든 간에 더 많이 지니고 소비합니다. 이는 도시에 대한 희소식이자 동시에 도시가 왜 그토록 매력적이고 유혹적인지를 말해줍니다. (반면에 도시는 어두운 측면도 지니는데, 그 점은 나쁜 소식입니다. 긍정적인 지표들과 거의 동일한 수준으로 인간의 사회적 행동이 보이는 부정적 지표들도 도시가 커짐에 따라 체계적으로 증가합니다. 도시 크기가 2배가 되면 1인당, 임금, 부, 혁신이 15% 증가하지만 범죄, 오염, 질병 건수도 그만큼 증가합니다.)


도시경제학자 에드워드 글레이저(Edward Glaeser)의 저서 <도시의 승리the triumph of the city>에 따르면 도시는 지수적 팽창을 추진하는 사회경제 시장의 상호작용, 메커니즘, 과정의 집합이 펼쳐지는 무대 그 자체입니다.[ii] 산업혁명과 함께 가속화가 시작된 도시는 문명의 용광로이자, 혁신의 중심이자, 부를 창조하는 엔진이자 권력의 중심이며 창의적인 인재를 끌어들이는 자석입니다. 도시는 부분적이고 또 단기적으로 도시 계획에 실패하거나 젠트리피케이션(gentrification)과 같은 슬럼화를 겪기도 하지만 장기적 관점에서 그 위기의 웅덩이는 시간이 흐르면서 또다른 인재의 유입과 창발로 메워져 왔다. 결과적으로 도시는 굉장히 높은 수준의 탄력성을 가지고 복잡 적응계로서 끊임없이 진화하는 속성을 지녔습니다.


그런데 도시가 어떤 연유에서든 이렇게 지수적으로 성장하고 지구가 기하급수적으로 도시화되는 이유는 무엇일까요?


제프리 웨스트(Geoffrey West)는 그것을 ‘에너지 열역학 법칙’을 빗대어 설명합니다.[iii] 인구가 생존하고 성장하기 위해서는 혁신과 창발이 필수적인데 그것이 그냥 되는 것은 아닙니다. 즉, ‘엄청난 에너지 소모’를 필요로 합니다. 창발, 혁신을 자극하려면 에너지가 필요하며 그 에너지의 상당량은 생각할 줄 아는 명석한 사람들을 지원하는 대학, 연구실, 의회, 카페, 음악당, 회의실 같은 우리가 관행적으로 자극적인 환경과 공동의 경험을 쌓는 장소를 제공하는 데 들어갑니다. 인류학자 마가렛 미드(Margaret Mead)는 이를 관통해 이렇게 표현했습니다. “중심지로서의 도시에서는 한 해 중 어느때라도 새로운 재능, 날카로운 정신, 재능 있는 전문가와 신선한 만남을 가질 수 있다. 어디에 살든 꼭 필요한 그런 만남을 말입니다” [iv]


제프리의 분석에 따르면 도시는 전형적인 프랙탈 기하학의 형태를 띕니다.[v] 프랙탈은 종종 한 생물의 모든 세포나 한 도시의 모든 사람이 에너지와 정보를 공급받도록 하거나 운송 시간을 최소화하거나 최소 에너지로 과제를 달성함으로써 효율을 최대화하는 등 특정한 특징을 최적화하는 쪽으로 나아가는 경향을 지닌 진화과정의 산물일 때가 많습니다. 도시는 직선과 같은 고전적인 유클리드 기하학이 지배하는 하향식으로 가공된 기계가 아니라, 복잡 적응계의 전형적인 주름진 선과 프랙털형 모양을 지닌 생물에 훨씬 더 흡사합니다. 아래는 미국의 주간 도로망 체계를 나타낸 지도입니다. 이들 도로는 2차 세계대전 후 1950년대 건설되었는데 주요 도시 사이의 거리와 여행시간을 최소화하기 위해 가능한 직선이 되도록 계획된 것이 특징입니다. 그 결과 주간 도로망은 직사각형 격자에 근접해 있어 프랙탈 보다는 유클리드 기하학과 더 닮아 있습니다. 하지만 그 겉 모습과 달리 실제 교통흐름이라는 관점에서 보면 본질적으로 프랙탈의 패턴에 더 가까움을 볼 수 있습니다. 그림 아래는 제프리 웨스트 팀이 실제 교통흐름을 보기 위해 분석한 텍사스의 교통흐름지도입니다. 각 도로 구간의 폭은 텍사스 주 항구도시 러레이도에서 나오는 트럭들의 교통 흐름을 나타넵니다. 즉 도록 폭이 더 넓을수록 러레이도에서 출발하는 트럭의 수가 더 많다는 뜻입니다. 쉽게 알아볼 수 있듯이 지도에서 보인 격자 모양의 주간 도로망은 어느덧 자연의 나무 혹은 혈관 순환계를 떠올리는 프랙탈 구조로 변모합니다.




그림 위- 미국 국가주간방위고속도로체계National System of Interstate and Defense Highways의 모습 / 아래- 텍사스 교통흐름 지도: 물리적인 도로체계에 숨겨져 있는 프랙탈 구조를 드러낸다. 도록의 폭은 상대적인 교통 흐름을 나타낸 것입니다.[vi]


일련의 특징은 비단 도로와 같은 물리적 기반시설의 흐름뿐 만이 아닙니다. 도시의 사회 관계망 역시 마찬가지입니다. 도시는 물리적 기반시설을 이루는 도로, 건물, 관, 전선의 단순한 총합이 아닐 뿐더러, 모든 시민들의 삶과 상호작용을 누적한 합도 아닙니다. 이 모든 것들이 융합되어 생동하는 다차원적이고 살아 있는 실체입니다.


즉 도시는 물리적 기반시설과 그 주민을 모두 유지하고 성장시키는 에너지와 자원의 흐름을 모든 시민들을 상호 연결하는 사회 관계망 속의 정보 흐름 및 교환과 통합함으로써 탄생하는 창발적인 복잡 적응계입니다. 제프리 웨스트(Geoffrey West)는 이 두가지의 전혀 다른 망의 통합과 상호작용이 마법처럼 그 물리적 기반시설의 점증하는 규모의 경제를 낳는 동시에 사회적 활동, 혁신, 경제 산출량의 기하급수적(불 균형적인) 증가를 낳는다고 주장합니다. 그에 따르면 사회적 상호작용의 체계적인 증가는 도시의 사회적제적 활동을 이루는 핵심 추진력입니다. 부 창조, 혁신, 기회는 모두 사회 관계망과 더 많은 대인 상호작용을 통해 촉진되고 강화됩니다. 기체나 액체의 온도 증가에 비례하여 분자 사이의 충돌 횟수가 증가하듯이 도시의 크기가 증가함에 따라 시민 사이의 상호작용 횟수와 속도도 증가합니다. “비유적으로 말해 도시의 크기 증가는 따라서 도시 온도의 증가입니다. 이런 의미에서 서울, 뉴욕, 런던, 상하이는 진정 뜨거운 도시입니다.”[vii]


기업의 과학


기업은 어떨까요? 제프리 웨스트(Geoffrey West)와 그의 팀은 미국 기업들의 주가 지수인 S&P 500으로 가장 잘 알려진 금융 서비스 회사 스탠다드 앤드 푸어스_Standard & Poor’s(S&P)가 제공하는 1950년부터 2009년까지 60여년동안 미국 주식시장에서 거래된 약 2만 8,853개 기업 정보 컴퓨스탯(compustat)를 분석해 도시의 특성과 비교하고자 했습니다.[viii]


연구 결과 수많은 기업 역시 도시와 마찬가지로 거듭제곱 법칙(지수 법칙)을 따르는 것으로 나타났습니다. 즉 통계적 의미에서 기업은 서로가 서로의 근사적인 규모 증감, 자기 유사적인 모습을 갖고 있습니다. 예컨대 삼성은 훨씬 더 작은 크기의 기업의 근사적인 규모 증가 모습입니다. 이는 연구팀이 추가로 분석한 중국시장 데이터 -중국 주식시장에 상장된 모든 중국 기업의 자료를 담은 정보를 분석- 에도 그대로 적용되었습니다.


다만 기업의 스케일링이 가진 두드러진 특징은 주요 척도 중 상당수가 도시처럼 초선형(기하급수적 증가)이 아니라 저 선형으로 규모 증가가 이뤄진다는 것입니다. 이는 기업은 죽음이 있는 생물과 비슷한 궤적을 가지고 있을 뿐 아니라 혁신과 창발, 수확 체증이 아니라 규모의 경제가 기업논리를 지배해 왔음을 시사합니다. 쉽게 말해 기업의 저선형 스케일링은 기업은 (도시와 달리) 결국 성장을 멈추고 궁극적으로 죽는다는 것을 시사합니다.


생물과 도시의 성장은 모두 대사와 유지관리 사이의 차이를 통해 추진됩니다. 생물학에서 대사율은 크기에 따라 저선형으로 증가하므로 생물의 몸집이 커질 때 에너지 공급은 세포의 유지 관리 수요를 따라갈 수 없어서 결국 성장이 멈추게 됩니다. 반면에 도시의 사회적 대사율은 초선형적으로 증가하므로 도시가 커질 때 사회적 자본의 생성 속도는 유지관리 수요를 초과함으로써 점점 더 빠르게 열린 성장이 일어납니다.


기업의 총 수익/매출은 ‘대사’라고 생각할 수 있고 비용은 ‘유지 관리’ 비용이라고 한다면 기업의 유효대사율은 궁극적으로 생물의 궤적을 따릅니다. 다시말해 기업의 이상적인 성장 곡선은 생물학에서 보는 전형적인 S자 곡선과 공통점을 지닙니다. 즉, 처음에는 비교적 빠르게(초선형적으로) 성장하다가 종국에는 성장이(저선형적으로) 느려집니다. 다만 생물의 경우는 더 이상 성장을 하지 않는 반면에 기업은 사라지지 않는 이상 느리게나마 성장은 계속합니다.


일련의 사실은 개별 기업에 커다란 과제를 안겨줍니다. 기업이 속한 사회경제 시장 자체는 초선형적인 성장 스케일을 따르기 때문입니다. 시장의 전반적인 수행 능력은 사실상 참여하는 모든 개별 기업들의 성장 수행 능력의 평균이라는 점을 볼 때 기업의 경우 팽창속도가 적어도 시장의 열린 팽창 속도를 따라 가지 못하게 되는 순간 살아남기 어려울 수 있다는 점을 의미합니다.


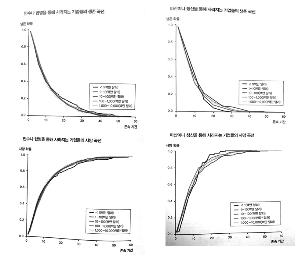
제프리 웨스트Geoffrey West팀의 컴퓨스탯 자료 분석결과 1950년부터 2009년까지 미국 주식시장에서 거래된 2만 8,853개 기업 중에서 2009년까지 2만 2,469개(약 78%)가 사망했습니다. 생존 기업의 수는 상장된 직후 급감하기 시작해 30년이 지난 뒤 남아 있는 기업은 5%도 안 됩니다. 또 50년 안에 사망하는 기업의 수는 거의 100%에 다다르고 그중 약 절반은 10년도 안 되어 죽는다. 어느 부문이든 사업 목적이 무엇이든 시계열 상에서 10년 넘게 살아남는 기업은 전체 기업의 절반에 불과합니다.



[그림] 인수/합병, 파산/청산 유형에 관계없이 기업의 생존, 성장 곡선의 궤적은 매우 유사하다.[xi]


제프리 웨스트(Geoffrey West) 팀 연구의 생존 분석은 아주 오래된 기업은 극소수여야 한다고 말해줍니다. 그의 분석 결과에 따르면 기업이 100년 동안 존속하는 경우는 100만개 중 약 45개에 불과하고, 200년 동안 존속할 확률은 10억분의 1에 불과하다는 예측이 나옵니다.


기업은 죽지만 도시는 왜 죽지 않는가?


기업이 도시처럼 초선형이 아니라 저 선형으로 규모 증가를 한다는 사실은 기업이 혁신과 창발로 인한 성장보다는 규모의 경제(비용절감, 효율화 등과 같은)로 승리하는 대표적인 사례임을 시사합니다. 기업은 대개 이익을 최대화하도록 생산 효율을 높이고 운영비를 최소화하기 위해 애쓰는 하향식 조직으로 운영됩니다. 반대로 도시는 혁신이 규모의 경제를 이기는 대표적인 사례입니다.


도시는 기업보다 훨씬 더 분산된 양상으로 돌아가며 권력이 시장과 시의회에서 기업, 시민단체에 이르기까지 다수의 조직 구조들에 흩어져 있습니다. 즉 어느 한 집단이 절대적인 통제권을 가지고 있지 않습니다. 그렇기에 좋든 나쁘든 추하든, 사회적 상호작용의 혁신적인 혜택을 이용하면서 기업과 비교해 자유로운 분위기를 풍깁니다. 도시는 갈팡질팡하고 비효율적이지만 기업과 달리 끈질기게 살아남고 성장합니다.


반면 대부분의 기업은 젊을 때를 빼고는 대개 정체되기 마련입니다. 성공한 기업이라 할지라도 초기 어떤 혁신을 통해 급속히 성장한 이후에는 대체로 그렇게 쌓은 시장의 헤게모니를 지키기 위한 전략을 중심으로 모든 것이 돌아갑니다. 비용은 가능한 줄이고 효율성을 높여 이익을 늘리기 위해 기업은 으레 조직화의 더 세세한 수준까지 규칙, 규정, 규약, 절차를 추가하며 그 결과 관리하고 운영하고 실행을 감시하는 데 필요한 중앙집권적, 관료주의적 통제가 점점 늘어납니다. 위기가 닥치기라도 하면 잘나갈 때 투자했던 혁신과 연구를 위한 비용에 대한 희생부터 즉각 이뤄집니다. 기업들은 대부분 현재 잘나가는 크게 성공한 제품과 서비스, 그리고 그 제품/서비스를 만들면서 (순전히 주관적으로) 얻은 성공경험에 취하기 마련입니다. 성공에 안주하려는 근시안적이고 보수적인 태도를 취하고, 신사업을 추진하더라도 주관적 성공경험에 따라 중앙 집권적이면서도 실제 시장과 동떨어진 의사결정을 반복적으로 내립니다. 즉, 힘을 쏟아도 모르는 것을 알고자 하기보다 기업 스스로 안다고 착각하는 것을 증명하기 위해 힘을 쏟기 때문에 위험성 있지만 동시에 혁신적인 창발을 외면하는 경향이 있습니다. 그래서 기업은 점점 더 일차원적으로 되어갑니다.


세세하고 복잡한 규칙과 제약이 쌓일수록 기업의 역동성과 유연성, 다양성은 떨어지기 마련입니다. 그 결과 중요한 변화에 반응하는 능력도 떨어집니다. 기업이 도시에 비해 결정적인 결함은 바로 이 지점에 있습니다. 기업이 지속 가능하게 성장하기 위해서는 늘 사회경제적 확장(초선형적 확장)보다 더 빠르거나 적어도 그와 궤를 같이해야 하는 부담이 있는데 이 곤란한 상황에서 조직의 다양성이 감소하는 순간 기업은 생존 확률이 급격히 낮아집니다. 기업이 자신의 상태를 깨달을 즈음에는 대부분 너무 늦었습니다. 재편, 개혁은 점점 어려워지고 비용도 더 많이 듭니다. 따라서 코로나와 같은 예기치 않은 강력한 충격, 위험이 닥칠 때 많은 기업은 심각한 위기에서 헤어나오지 못하고 인수되거나 매각되거나 그냥 무너지고 마는 것입니다.




References

[i] 제프리 웨스트Geoffrey West 저, 이한음 역, 스케일, 김영사, 2018, 292~296

[ii] Edward Glaeser, The Triumph of the City(New York: Penguin Books, 2012)

[iii] 제프리 웨스트Geoffrey West 저, 이한음 역, 스케일, 김영사, 2018, 324p~340p

[iv] Ibid, 331p

[v] Ibid, 400p

[vi] Ibid, 406p

[vii] Ibid, 445p

[viii] Ibid, 532~565p

[xi]Ibid, 550p


Book: 상효이재, 초개인주의 Over-Individualism, 한스미디어, 2022

장재웅, 상효이재, [네이키드 애자일] , 미래의 창, 2019

keyword