brunch
브런치북 ETF의 세상 12화

ETF의 세상 14
- 지수 산출 방식

by DUDE

저비용, 펀드와 주식의 하이브리드, 괴리율, 추적오차 그리고 LP의 역할 등 - 지금까지 ETF를 구성하는 핵심 요소들을 모두 커버했다. 지금부터는 ETF의 앙꼬와 같은 지수에 대해 다룰 예정이다.


앞장에서 지수는 금융 시장을 보다 잘 이해하기 위한 지도와 같다고 표현했다. 그렇다면 지도를 만드는 존재가 있을 것이고 어떤 방식에 의해 지수를 산출함을 뜻한다.


그렇다면 지수는 어떻게 산출되는가? 이를 만드는 지수 사업자들은 누구인가?



시가총액 가중지수


일반적으로 접하는 대부분의 지수들은 시가총액을 기반으로 산출되며 이를 기반으로 만들어진 지수를 바로 시가총액 가중지수(Market Cap Weighted Index)라고 표현한다.


여기서 기업의 시가총액은 현재 주가와 발행된 주식 수를 곱한 값으로 해당 기업의 사이즈를 의미한다. 가령 삼성전자의 주가는 24년 6월 14일 기준으로 79,600 원이며 발행된 주식 수는 총 5,969,782,550개다. 이로 인해 시가총액은 475조 원이 된다.


시가총액 가중지수란 지수를 구성하는 개별 기업들의 비중을 시가 총액 기준으로 산출한 값이다. 가령 전체 증시의 시가 총액이 100이라고 가정했을 때 A 기업의 시가 총액이 5일 경우 해당 기업이 지수에서 차지하는 비중은 5%가 된다. 엔비디아, 마이크로소프트, 애플, 구글 그리고 메타로 구성된 DUDE AI 지수를 예로 들면 다음과 같다.

시가총액 가중지수.jpg


시가총액 가중지수의 가장 대표적인 예가 바로 글로벌 금융 시장의 상징인 S&P 500 지수다. 해당 지수는 1957 3 4 처음 시작됐다. 당시 기준으로 S&P 500 지수의 시가 총액은 172 billion USD(200조 원)였으며 425개의 산업재(Industrial Stocks)들과 15개의 철도 기업 그리고 60개의 유틸리티 기업들로 구성됐다. IT가 주도하는 S&P 500 지수의 현주소와는 구성원과 사이즈 모두 사뭇 다른 시작이었다.


그런데 기업의 사이즈인 시가 총액을 기반으로 굳이 지수를 산출하는 이유는 무엇일까?


지수의 정의를 상기하면 지수란 특정 기준을 기반으로 특정 현실을 재구성한 지표이다. 마디로 지수는 기준이 되는 현실을 최대한 반영해야 한다.


이런 맥락에서 S&P 500 지수 혹은 Kospi 지수가 반영하고자 하는 현실은 바로 전체적인 경제 상황이다. 그리고 경제라는 덩어리는 동일한 크기의 구성원들로 이뤄져 있지 않다. 아주 큰 기업, 큰 기업, 보통 기업, 작은 기업 등으로 구성된 복합체다. 그리고 덩치가 구성원은 덩치가 작은 구성원 대비 전체 경제에 더 큰 영향력을 행사한다. 가령 삼성전자가 한국 경제에 미치는 영향력은 코스닥에 상장된 어떤 회사 대비 압도적으로 클 수밖에 없다. 작은 소규모 기업이 겪는 매출 둔화는 해당 기업의 문제로 끝날 수 있지만, 삼성전자가 겪는 매출 둔화는 대한민국 전체 경제에 영향을 미친다. 마찬가지로 영세한 반도체 기업이 실적 둔화는 시장의 관심을 끌지 못하지만 반대로 엔비디아의 실적에는 온 세상이 집중한다.


그러므로 대부분의 지수들은 이런 현실적인 부분을 감안해 산출된다. 사이즈는 중요하다. 시가 총액이 큰 기업은 상대적으로 시가 총액이 작은 기업 대비 지수에서 차지하는 비중이 클 수밖에 없다.


시가총액 기반 지수에서는 대형주들의 움직임이 관건이다. 현재 S&P 500 지수를 기준으로 11개의 업종이 있으나 IT 산업 혼자 지수의 30% 정도를 차지한다. 이 중에서 상당 비중은 소위 매그니피센트 7(애플, 마이크로소프트, 엔비디아, 구글, 메타, 테슬라 및 아마존)라 불리는 최상위 7개 기업들이 독식한다. 즉 극소수 기술주들이 S&P 500 지수에 막대한 영향을 행사하고 있다.


결국 시가총액 가중지수는 전체 경제 상황을 온전하게 캡처하고자 하는 지수의 목적에 부합한 결과물이다. 이러한 이유에서 대부분의 글로벌 지수들은 시가총액 가중지수로 산출된다.


대표적인 시가총액 가중지수의 예:

MSCI ACWI 지수 - Morgan Stanley Capital International이 만든 전 세계 시장의 주요 기업들로 구성된 지수

S&P 500 지수 - Standard & Poor's가 만든 미국의 최상위 500개 기업들로 구성된 지수

FTSE 100 지수 - FTSE Russell이 만든 영국 최상위 100개 기업들로 구성된 지수

닛케이 225 지수 - 일본 닛케이 신문사가 만든 일본 최상위 225개 기업들로 구성된 지수




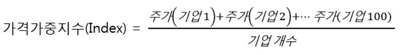
가격 가중지수


모든 지수가 시가 총액 기반으로 만들어지는 것은 아니다. 대표적인 예로 희소하긴 하지만 주식의 가격을 기준으로 산출한 가격 가중지수(Price Weighted Index)이다.


가격 가중지수란 지수를 구성하고 있는 개별 기업의 비중을 가격 기준으로 정한다. 가령 지수 전체를 이루는 기업의 수가 100개이라 하면 기업이 발행한 주식 수를 고려하지 않고 상장된 주식의 시장 가격만을 고려한다. 그렇기에 가격에 발행 주식 수를 곱해 시가총액을 기반으로 산출하는 시가총액 가중지수 대비 계산이 훨씬 더 단순하다.

가격가중지수.jpg

위와 같은 동일한 가격과 지수를 가진 DUDE AI 지수지만, 종목들의 비중은 상이하게 다르다. 그 이유는 비중 산정이 단순히 개별 종목 가격을 전체 합산 가격으로 나눈 수치이기 때문이다. 가령 엔비디아 비중은 80 USD에 전체 합산 가격인 350 USD를 나눈 값으로 22.86%이 된다. 이로 인해 가격 가중지수에서는 가격 자체가 제일 높은 종목이 가장 큰 파이를 갖게 된다. 시가총액 가중지수와 확연하게 다른 점이다.


대표적인 가격 가중지수로 미국의 다우존스 지수(이하 다우지수)가 있다. 대부분의 지수들이 현실을 반영하기 위해 시가총액 방식을 택한 반면 다우 지수가 가격 가중지수 방식을 택한 이유는 무엇일까? 일견 보더라도 가격 가중지수는 아귀에 맞지 않는 실제로 경제에 가장 영향을 미치는 것은 기업의 사이즈이지 상장된 기업의 주식 가격이 아니기 때문이다.


우선 이렇게 배경에는 다우존스 지수가 1896년에 만들어졌기 때문이다. 당시에는 시가총액은커녕 지수와 주식이라는 개념 자체가 희박했던 시기였다. 그럼에도 다우 존스(Dow Jones & Company)라는 회사를 만들어낸 언론인 찰스 다우(Charles Dow) 통계학자 에드워드 존스(Edward Jones) 당시 상장된 미국의 되는 주식들의 전체적인 추이를 있는 하나의 지표를 만들길 원했다. 그렇게 해서 지금에 와서 보면 구식이지만 당대에는 천재적인 발생이었던 다우존스 지수가 탄생했다.


다만 다우존스가 택한 가격 가중지수 방식에는 한 가지 기술적인 문제점이 있다. 바로 기업의 액면분할 인수 합병 같은 기업 행위(CA: Corporate Action) 자연스럽게 반영하지 못하는 점이다.


CA의 대표적인 행위 중 하나로 기업의 액면 분할이 있다. 가령 100 USD에 거래되는 A기업이 기존에 발행된 주식 수를 두배로 분할하며 주가는 50 USD가 된다. 단 주식수가 두 배 증가했기에 회사의 전체적인 시총은 액면 분할 전과 후로 동일하다. 하지만 가격 가중지수는 가격만을 고려하기에 이러한 액면 분할을 정상적으로 인식하지 못한다. 즉 가격 가중지수 기준에서 액면 분할과 일반적인 주가 하락은 거의 동일하다.


다우존스와 애플의 액면분할

2020년 애플은 4 대 1로 액면분할을 단행했다. 당시 애플 주식은 500불에 달했는데, 액면 분할로 이해 주가는 125불로 변경됐다. 물론 전체적인 시가총액에는 전혀 이슈가 없다. 그만큼 주식수가 늘어났기 때문이다. 문제는 가격 가중지수로 산출되는 다우지에서 애플의 영향력이 4분의 1로 축소된다. 이를 액면 그대로 해석하면 다우지수에서 애플과 같은 기술주가 차지하는 비중이 축소됨을 의미한다. 그렇다면 다우지수와 같은 가격 가중지수는 애플의 액면 분할을 어떻게 인식해야만 기업 활동이 지수에 영향을 미치지 않게 할 수 있을까?


우선 위의 DUDE AI 지수를 예로 들면 전체 주가의 합은 350이며 총 5개의 기업들이 있다. 가격 가중지수는 단순 전체 주가를 합산한 값에 기업 개수를 나눈 70이다.


가격가중지수 공식.jpg


다만 이 경우 엔비디아가 주식을 5 대 1로 액분하면 DUDE AI 지수는 다음과 같이 뒤틀린다.

가격가중지수 - 액면불할.jpg

전체 합산 가격은 기존 350에서 286으로 바뀌며 산출된 가격 가중지수는 286을 5로 나눈 57.2가 된다. 즉 엔비디아의 5대 1 액면분할은 지수가 18% 하락한 것과 동일한 효과를 지닌다. 물론 지수에서 엔비디아가 차지하는 비중 또한 기존 22.86%에서 4.57%로 5분의 1 감소했다.


이를 막기 위해선 일차적으로 엔비디아가 지수에서 차지하는 비중을 인위적으로 고정시킨다. 즉 액면분할 이후에도 회사가 차지하는 비중은 4.57%이 아닌 22.86%이다. 더불어 가중치(Divisor)를 활용해 지수 값이 기존 70에서 57.2로 하락하는 것을 막는다. 즉 286을 나누는 분모는 더 이상 기업의 개수인 5가 아니라 70을 그대로 유지하기 위한 4.08이 된다. 다우 존스 지수의 경우 분모에 들어가는 가중치를 Dow Divisor라고 부른다.


가중치 공식.jpg


결론적으로 가격 가중지수는 단순히 가격을 평균한 점에서 시총가중지수 보다 산출이 단순해 보인다는 착각을 있다. 하지만 실상은 기업 활동(CA) 인위적으로 반영해줘야 하므로 자연스럽게 조정되는 시총가중지수 대비 인위적인 개입이 동반된다.


가격 가중지수에 기반한 다우존스는 시총가중지수에 기반한 S&P 500 대비 전체 시장의 움직임을 적절하게 반영하지 못한다. 실제로 이로 인해 다우존스는 구식이라는 비판이 많다. 심지어 주가가 매우 높은 아마존 같은 기업은 포함될 수도 없다. 가격이 너무 높아 지수에 포함되는 순간 지수에서 차지하는 비중이 왜곡되기 때문이다.


그럼에도 불구하고 100년이 넘는 지수를 그대로 사용하는 이유는 기나긴 역사에서 나오는 다우존스의 상징성 때문이다. 찰스 다우가 다우존스 지수를 만들 때는 컴퓨터도 없이 손으로 계산을 했던 구식의 시기다. 증시의 전체적인 추이를 보여 주겠다는 발상은 구식이라고 없다. 그리고 산출 방식은 구식이지만 현재 지수를 구성하는 기업들은 애플, 골드만 삭스, 인텔과 같은 미국을 대표하는 기업들이다. 이로 인해 지수 산출 방식이 구식이라는 비판과는 별개로 지수 자체의 움직임은 놀랍게도 전체 시장을 상징하는 S&P 500 지수와 유사한 움직임을 보이고 있다.




동일가중지수


시가총액 가중지수와 가격 가격지수에 이어 마지막으로 소개하고 싶은 지수는 바로 동일 가중지수다. 동일가중지수는 2003년에 S&P 500을 대상으로 재구성된 지수다. S&P 500 Equal Weighd Index(EWI)이라 불리며 이는 S&P 500, KOSPI 및 니케이 225와 같은 실질적인 지수라기보다는 이론적인 개념에 가까운 대체가중지수(Alternatively Weighting Index)다. 실제 지수가 아닌 이론적인 지수임에도 동일가중지수를 소개하는 이유는 증시의 쏠림 현상을 측정하기 위한 수단으로 S&P 500 지수와 S&P 500 EWI의 격차가 많이 활용되기 때문이다.


동일가중지수는 개별 종목의 시총이 어떻든 지수를 구성하는 기업들의 비중을 모두 동일하게 구성한다. 가령 지수 안에 100개 기업이 존재하면 개별 기업에게 할당된 비중은 모두 균등하게 1%가 된다. 시가총액 가중지수와 가격 가중지수 대비 더 극단적인 산출 방식이다.


아래 테이블에서 나타나듯 DUDE AI 지수를 구성하는 종목들의 가격 와 주식 수는 모두 의미를 잃는다. 지수에 총 5개 종목이 있으므로 개별 종목의 비중은 균등하게 20%다.


동일가중지수.jpg


동일 가중지수는 몇 가지 특징을 가지는데, 우선적으로 높은 리벨런싱 비용이다.


동일 가중지수가 이론적인 대체 가중지수인 이유는 기업의 비중을 동일하게 유지할 수 없기 때문이다. 주가는 매일매일 변동하기 때문에 지수 내 기업들의 비중을 모두 동일하게 설정하는 행위는 의미가 없다. 하루만 지나도 비중은 모두 틀어질 수밖에 없다. 즉 지수를 구성하는 기업들의 주가 움직임이 일치하지 않는 이상 동일가중지수는 완벽하게 유지될 수가 없다. 이런 이유에서 S&P 500 EWI를 구상한 Standard & Poor’s는 분기별로 지수의 종목 구성을 리밸런싱 한다. 모든 기업의 비중이 동일해야 하므로 기존에 고평가 된 종목(초기 비중보다 높아진 종목)을 매도하고 저평가된 종목(초기 비중보다 높아진 종목)을 매수한다.


분기별 리밸런싱은 무엇을 의미하는가? 바로 잭 보글이 그토록 혐오한 빈번한 턴오번 및 트레이딩을 뜻한다. 턴오버가 높을수록 결국 비용을 야기하기 때문이다. 실제로 동일가중지수 기반의 S&P 500를 추종하는 Invesco S&P 500 EWI ETF(RSP)의 보수는 시가총액 가중지수를 택한 가장 보편적인 Vanguard S&P 500 ETF(VOO) 보다 높을 수밖에 없다.


RSP vs VOO.jpg 출처: ETFDB


동일 가중지수의 두 번째 특징으로 소형주 위주의 구성이다. 대형주 위주로 편성된 시가총액 가중지수와 달리 동일 가중지수는 모든 구성원의 비중이 동일하므로 대형주(Large Cap) 보다는 중소형주(Mid-Small Cap)의 구성이 독보이게 된다. 한 마디로 원래라면 대형주에 묻혔을 소형주들이 동일가중지수에서는 스포트라이트를 받게 되는 구조다. 아래 차트에서 나타나듯, 일반적인 S&P 500 ETF 구성 종목은 98.46%가 대형주이며 1.3%가 중형주다. 소형주 비중은 너무나 미미하며 굳이 계산하자면 0.3% 이내다.


spy breakdown.jpg 출처: ETFDB


하지만 S&P 500 동일 가중지수를 추종하는 ETF인 RSP의 구성을 보면 숫자가 사뭇 달라진다. 1.3%에 불과했던 중소형주들의 비중이 11.89%로 증가했다. S&P 500 지수는 그 자체로 미국을 대표하는 기업들로 구성되어 있기 때문에 대다수가 대형주다. 하지만 모든 종목 비중을 동일하게 배정함에 따라 중소형주들의 비중이 커졌다.

rsp breakdown.jpg 출처: ETFDB


일반적인 S&P 500 시가총액 가중지수와 동일 가중지수의 대형주 및 중소형주 비중 차이는 무엇을 의미하는가? 바로 현재 증시가 압도적으로 대형주 위주로 움직이고 있음을 시사한다. 단순 기업 개수에 따라 동일 비중을 배정한 동일 가중지수에서 중형주 비중이 11.89%였지만, 일반적인 시가총액 가중지수에서는 1.3%로 대폭 축소 됐기 때문이다. 즉 그만큼 지수에서 대형주들이 차지하는 비중이 압도적으로 높음을 뜻한다.


마지막으로 동일 가중지수에서는 가치주의 비중이 커진다. 현재 S&P 500 지수는 AI 테마에 의한 테크 중심으로 움직이고 있다. 이로 인해 지수 내 가장 큰 비중을 차지하는 섹터는 결국 IT다. 에너지 및 유틸리티와 같은 전통적인 산업의 비중은 미미하다.


spy holding anlysis.jpg 출처: ETFDB

동일 가중지수의 경우 섹터별 비중이 첨예하게 달라진다. 일단 가장 큰 비중을 차지하는 섹터는 IT가 아니라 금융업이다. 기존 2.3%에 불과했던 유틸리티 업종은 동일 가중지수에선 6.88%로 3배가량 상승하게 된다. 동일 가중지수의 특성상 모든 종목에게 동일한 가중치를 부여하기에 특정 섹터로 쏠림 현상이 제한된다. 동시에 분기별 리벨런싱을 단행하므로 특정 섹터에서 발생하는 쏠림 현상은 결국 분기 단위로 리셋된다. 그렇기에 전체적인 섹터별 분포가 고르게 형성됨을 알 수 있다.


RSP analyssi.jpg 출처: ETFDB


결론적으로 시가총액 가중지수와 동일 가중지수 수익률을 비교하면 지수의 쏠림 정도를 알 수 있다. 만약 수익률 차이가 미미하다면 이는 지수 내에 포함된 11개의 섹터들이 모두 비슷한 수익률을 올리고 있음을 뜻한다. 반대로 차이가 발생한다면, 이는 곧 특정 섹터로 수익률이 쏠려 있음을 뜻한다.


가령 S&P 500 시가총액 가중지수를 추종하는 SPY와 동일 가중지수를 추종하는 RSP의 수익률을 비교하면 최근 1년 기준 현격한 차이가 발생함을 알 수 있다. SPY는 26.08%인 반면 RSP는 14.8%다. 즉 12%만큼 수익률 차이가 나타나고 있으며 이는 지수가 포함하는 섹터별 비중에서 기인한다. 대형주 및 테크 비중이 큰 SPY가 전통적인 가치주 비중이 높은 RSP를 압도했기 때문이다. 그리고 이 두 지수 간의 수익률 격차가 지속되고 커지는 현상은 그리 바람직하지 않다. 소수의 섹터가 전체 지수를 견인하는 현상은 그리 오래 지속되지 않기 때문이다. 동시에 증시 전체가 좋다는 환상을 심어준다.

rsp vs spy.jpg 출처: ETFDB


결국 동일한 시장이라도 이를 어떻게 분류하고 재구성하느냐(시총총액 가중지수 vs 가격 가중지수 vs 동일 가중지수)에 따라 다양한 투자 전략이 나올 수 있다.

keyword
이전 11화ETF의 세상 13 -괴리율과 추적오차 III