brunch

실전 천문학으로의 첫걸음

복사 전달 방정식

by astrodiary

실제 천문학 연구는 물리와 수학 없이는 불가능하지만, 필자는 복잡한 수식을 이용하지 않더라도 천문학적 현상과 그 이면에 있는 물리적 과정을 이해할 수 있다고 생각하고, 매주 쓰는 이 글을 통해서 그렇게 해보려고 노력 중이다. 하지만 말로 설명하다 보면 설명이 장황해져서 더 이해하기 힘든 경우가 있는데, 이때 수학을 이용하면 깔끔하게 설명할 수 있고 이해에 큰 도움이 되기도 한다. 그래서 이번에는 수식의 힘을 좀 빌어 천문학의 기초가 되는 중요한 물리적 과정을, 고등학교 이과 수학을 배운 분들이 이해할 수 있도록 좀 그럴싸하게 설명해 보려고 한다.


망원경으로 관측한 천체에서 온 빛의 스펙트럼을 이해하고 물리적인 해석하는 일은 천문학 연구에서 가장 큰 비중을 차지한다. '원자와 분자들의 지문'에서 흡수선과 방출선이 생기는 이유에 대해 대략적인 설명을 하긴 했지만, 천문학 연구에 필요한 정량적인 이해를 위해서는 천체복사가 우리에게 도달하는 과정에서 일어나는 일들을 기술하는 "복사 전달 방정식"을 알아야 한다. 거의 모든 천문학 전공과정에 있는 학생들은 반드시 복사전달 방정식을 공부하게 되어있다. 실전 천문학의 첫걸음이라 할 수 있을 만큼 중요한 주제이므로 간단한 수식을 이용하여 복사 전달 과정을 이해해 보기로 하자.

Screenshot 2025-11-07 at 11.05.54 PM.png 복사 전달 방정식이 가정하고 있는 상황

우선 수식을 쓰기에 앞서, 복사 전달 방정식이 어떤 상황을 가정하고 있는지 짚고 넘어가자. 위의 그림과 같은 상황에서, 왼쪽에서 진행하는 특정 주파수(v)의 빛(그 세기를 알파벳 Iv로 쓰기로 하고 Iv는 주파수 v의 함수이다)은 진행방향에 있는 노란색 덩어리로 나타낸 천체 (그 천체도 빛을 복사하며 그 세기를 알파벳 Sv로 쓰기로 하고 Sv 역시 v의 함수이다)를 통과하여 우리에게 도달하게 된다. 이제 우리는 왼쪽에서 진행하는 빛이 관측자의 눈에 도착하게 될 때까지 흡수와 방출로 인한 복사 전달 과정을 통해서 그 빛의 세기(Iv)가 달라지는 상황에 대해서 생각해 보기로 한다.

intensity_illustration.png 주어진 시직경안에 들어오는 빛의 세기는 천체까지의 거리에 상관없이 일정하다

이제부터, 우리가 고려하는 빛의 세기는 "주어진 시직경 안에 들어오는 빛의 세기"를 의미한다. 위의 그림에서 크기가 각기 다른 타원들은 모두가 같은 시직경을 가진다. 빛은 관측자에게 도달하는 과정에서 천체로부터의 거리가 멀어짐에 따라 그 제곱에 반비례해서 강도가 줄어들지만 주어진 시직경을 가지는 타원의 면적도 거리의 제곱에 반비례해서 줄어들기 때문에, 타원 면적당 빛의 세기는 일정하다. 다시 말해서, "주어진 시직경 안에 들어오는 빛의 세기"는 거리에 상관없이 일정하다. 따라서 빛의 세기에 변화가 일어난다면 그것은 거리효과와 무관하며 빛이 통과하는 물질의 물리적 특성에 따른 흡수와 방출을 통한 복사전달 과정 의해서만 가능하다.


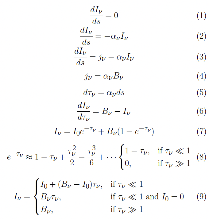
이제 아래의 수식을 이용하여 왼쪽에서 진행하는 빛이 관측자의 눈에 도착하게 될 때까지의 빛의 세기가 달라지는 물리적 과정에 대해서 생각해 보자.

Screenshot 2025-11-08 at 9.04.01 PM.png 복사 전달 과정을 이해하기 위한 수식들

우선 수식(1)을 보자. 빛이 작은 거리 ds만큼을 진행하는 동안 빛의 세기가 달라진 정도를 dI라고 하자. 만약에 빛의 진행방향에 천체가 없다고 가정하면, 빛과 관측자의 사이는 진공이나 다름없으므로, 빛은 진행하는 거리에 따라 그 세기가 변하지 않는다 (따라서 dI/ds=0). 자명한 일이다. 왼쪽에서 출발한 처음 빛의 세기를 Io 라고 하면 그 세기는 일정하게 유지된다.


그다음 수식(2)을 보자. 이제 빛이 진행하는 방향에 천체가 있고 그 천체는 진행하는 빛을 흡수한다고 하자. 흡수하는 정도 (입사한 빛의 10%, 30%, 혹은 60%)를 나타내는 흡수계수를 alpha라고 하자. 흡수계수는 일반적으로 주파수의 함수이며 (흡수는 아주 좁은 주파수 영역에서만 일어나기도 하고 넓은 주파수 영역에서 연속적으로 일어나기도 한다). 흡수계수가 주어지면 빛이 진행방향으로 거리 ds만큼 진행했을 때 세기변화는 수식(2)와 같이 쓸 수 있다 (흡수계수에 입사한 빛의 세기를 곱한양만큼 감소한다).


그다음 수식(3)을 보자. 이제 진행방향에 있는 천체는 흡수뿐 아니라 방출도 한다. 방출하는 에너지를 나타내는 방출계수 j 역시 주파수의 함수이다. 그러면 이제 빛의 세기는 진행방향에 있는 천체의 흡수에 의해 감소하는 동시에 그 천체의 방출에 의해 증가한다. 이 흡수에 의해 줄어든 양과 방출에 의해 늘어난 양을 고려하면, 진행 방향의 거리 s 에 따른 빛의 세기 변화는 수식(3)와 같이 쓸 수 있으며 이는 s를 변수로 하는 미분 방정식이다.


그다음 수식(4)을 보자. 방출계수는 흡수계수에다 Bv를 곱한 것과 같다? 이게 무슨 의미인가? 흑체복사에 관한 글에서 얘기한 대로 흑체는 빛을 흡수하여 일정한 온도에 이를 때까지 달구어진후, 그 온도에 해당하는 에너지만큼 방출하는 이상적인 물체를 가리키는 물리적 개념이다. 따라서 복사에너지 함수 Bv를 가지는 흑체를 가정하면 흑체는 자체에서 복사하는 빛을 흡수하여 (우변에 나타낸 대로 흡수계수에 복사에너지 세기를 곱한 값) 이를 방출한다 (좌변에 나타낸 대로 방출계수). 빛의 진행방향에 있는 천체가 흑체인 경우 수식(4)와 같이 쓸 수 있고, 이때 Bv는 흑체복사 함수 (플랑크 함수라고도 한다)이다.


그다음 수식(5)을 보자. 이는 광학적 깊이를 나타내는 함수 tau이다. 흡수계수를 진행방향의 경로에 따라 적분한 양인데 (천체의 시선방향 두께에 따른 흡수 정도를 나타낸다), 복사전달식에서는 실제 경로 s대신 광학적 깊이 tau를 적분 변수로 쓴다. 예를 들어 광학적 깊이를 변수로 하여 수식(2)을 풀어 해를 구하면 I=Io x e^{-tau} 이다 (미분하여 자기 자신이 되는 함수는 자연로그를 밑으로 하는 지수 함수이다). 재미있게도, 이 해을 살펴보면 tau값이 1이면 약 36.7% 정도의 광자만이 흡수되지 않고 관측자에게 도달하고 나머지 63.3%의 광자는 우리에게 도달하지 못한다는 사실을 알 수 있다 (e^-1 = 0.367). 이것이 "태양의 가장자리가 더 어둡게 보이는 이유"에서 우리는 평균적으로 광학적 깊이가 1보다 얕은 곳에서 나온 빛 만을 볼 수 있다고 얘기한 근거이다.


그다음 수식(6)을 보자. 이는 수식(3)을 광학적 깊이를 변수로 다시 쓴 미분방정식에 지나지 않는다. 이것이 바로 복사 전달 방정식이다.


그다음 수식(7)을 보자. 이는 복사전달방정식 (수식(6))의 해이다. 여기서 Io는 빛이 시선 방향의 천체를 지나며 복사전달을 겪기 전 초기의 세기를 나타낸다. 관측할 때 선택한 (가시광 혹은 적외선) 빛의 파장은 비교적 좁은 범위를 가지고 있고 있기 때문에 그 범위 내에서 Io 와 Bv는 주파수에 따라 변하지 않는 상수라고 봐도 무방하다. 어떻게 이런 해를 얻었는지는 중요하지 않기 때문에 설명을 생략하지만, 이 해가 실제로 미분 방정식 (6)을 만족하는지 확인해 보기를 바란다 (수식(7)을 tau에 대해 미분한 결과가 수식(6)을 만족하는지 확인해 보면 된다).


이제, 이 복사 전달 방정식의 해가 의미하는 바를 생각해 보기로 하자. 그전에 수식(8)을 보면 tau의 지수함수를 테일러 다항식으로 근사한 표현이 나온다. 이때 광학적 깊이 (tau)가 1보다 아주 큰 경우 (광학적으로 두꺼운 경우)와 1보다 아주 작은 경우 (광학적으로 얇은 경우)에 따라 다른 근삿값을 얻을 수 있다는 사실을 알 수 있다.


이를 염두에 두고, 피날레를 장식하는 수식(9)을 보자. 복사전달 방정식의 해 (수식(7))에 수식(8)의 근삿값을 적용하고 천체의 배경에서 입사한 빛 (Io)이 있는 경우와 그렇지 않은 경우를 고려하면, (밑에서부터 차례대로) 세 가지 경우에 해당하는 복사전달식의 해를 얻을 수 있다.


경우(1): 천체의 광학적 깊이가 매우 깊은 경우 (tau>>1) 이다. 이 경우 천체에 입사하는 배경 빛이 있고 없고에 상관없이 관측되는 빛은 천체의 흑체복사를 따른다. 거의 대부분의 광자가 천체에 흡수되어 열복사 평형을 이루고 나서 다시 방출되기 때문에 천체 뒤에서 무슨 일이 일어나는지 알 길이 없다.


경우(2): 천체의 광학적 깊이가 얕고 (tau<<1) 천체 뒤에서 오는 배경 빛이 없는 경우이다. 이 경우 관측되는 스펙트럼은 광학적 깊이의 주파수에 따른 함수모양 (주로 특정 주파수를 기준으로 대칭인, 정규분포와 비슷한 모양을 보여준다)에 따라 결정되며 (좁은 영역의 주파수에서 상수로 간주한 Bv에 tau를 곱한 값이므로) 방출선으로 나타난다.


경우(3): 천체의 광학적 깊이가 얕고 (tau<<1) 천체 뒤에서 오는 배경 빛이 있는 경우이다. 특히 배경 빛의 세기가 천체가 내는 흑체복사보다 센 경우, (Bv-Io)가 음의 값이 되기 때문에, tau의 주파수에 따른 함수 모양에 따라 특정 주파수의 경우 배경 빛의 세기 Io가 줄어드는 결과를 가져온다. 이것이 바로 흡수선이 생기는 이유이다. 천체보다 훨씬 밝은 배경 복사가 광학적 깊이가 얕은 천체를 통과해 올 경우, 우리는 배경복사에서 흡수선을 관측할 수 있다.


이런 복사 전달 과정을 거쳐 우리가 보는 스펙트럼은 아래와 같다.

content_STScI-J-article-Spectroscopy-Part3-DifferentSpectra-f-1600x872.jpg 복사 전달에 의한 스펙트럼

복사 전달식의 해와 광학적 깊이의 주파수에 따른 함수 모양, 그리고 흡수, 방출선을 만들어 내는 물질들의 시선 방향의 운동에 따른 적색 혹은 청색이동으로, 관측되는 주파수가 달라질 경우, 관측되는 스펙트럼은 약간씩 다른 모양을 보이게 되는데 이를 가지고 역으로 원인을 제공하는 물질들의 상대적 위치와 운동상태를 추론하는 일은, 일단 복사 전달 과정을 이해하고 나면, 마치 퍼즐을 맞추는 것과 비슷하게 두뇌를 쓰는 재미있는(?)일이다.

01-zpup.gif 물질이 뿜어져 나오는 별의 스펙트럼. https://www.usm.uni-muenchen.de/~adi/wind.html

위의 스펙트럼은 실제 별을 관측하여 얻은 결과이다. 굉장히 복잡해 보이지만 꽤 재미있는 물리현상이 숨어 있다. 다음에는 오늘 설명한 복사 전달 방정식을 바탕으로 이 스펙트럼에 숨어 있는 물리적 현상에 대해 알아보기로 하자.

keyword
매거진의 이전글천문학적 숫자