brunch

[브런치북] 긍정은 힘이 세다?

자기계발서, 새빨간 거짓말

by 박진우

긍정보다 부정의 힘이 세다는 사실은 심리학과 행동경제학의 여러 장면에서 다양하게 증명되고 있다. 100만원을 내고 50% 확률로 이기면 2배, 지면 모두 잃는 게임에 도전하는 사람은 거의 없다. 그런데, 반대로 100만원을 모두 잃을 확률이 50%, 한푼도 잃지 않을 확률이 50%인 게임이 있다면 사람들은 도전하기 시작한다. 손실이 너무 싫기 때문에 위험한 도박을 하는 것이다.


좋은 것을 나쁜 것으로 오염시키는 것은 너무 쉽다. 죽은 바퀴벌레를 완벽하게 살균해 사과 주스에 담궜다 빼는 것을 보고 나면 남녀노소를 불문하고 그 주스에 입도 대지 않는다. 심지어는 그 주스를 버리고 다시 잔을 눈앞에서 깨끗이 씻어 새 주스를 담아줘도 마찬가지다.


맛있는 초콜릿을 가득 쌓아 둔 그릇에 단 한마리의 바퀴벌레가 지나가면 바퀴벌레가 전혀 닿지 않은 초콜릿에도 선뜻 손을 내밀기 힘들다. 부정성은 힘이 세다. 반대로 바퀴벌레가 가득한 그릇에 초콜릿이 떨어진다면 바퀴벌레들이 달콤해 보일까? 그럴 리 없다.


우리 마음 속에서 긍정과 부정은 절대 1:1의 대응관계(symmetry relationship)가 아니다. 최소 1:3 ~ 1:5의 비대칭 관계(asymmetry relationship)다. 부정성이 긍정보다 힘이 센 이유는 우리 마음에서 부정성에 민감하게 반응하는 것이 나와 집단의 생존을 높이기 때문이다. 맛 좋은 열매를 따는 것보다 중요한 일은 독이 든 열매를 골라내는 것이고 토끼를 사냥하는 것보다 중요한 것은 사자를 피하는 것이다. 선한 한 사람이 집단의 안전을 보장해 줄 수 없지만, 단 한 명의 요리사의 부주의로 모든 사람을 죽일 수 있다. 누구나 좋은 리더 밑에서 일하는 것을 꿈꾸지만, 현실 세계에서는 최악의 리더를 피하는 것만으로도 충분히 직장생활을 이어갈 수 있다.


부정성 편향(negativity bias)은 주로 우리가 외부를 평가할 때 우리 마음 속에 잘 등장한다. 그런데, 우리가 우리 내면을 스스로 평가할 때는 다르다. 이때는 긍정성 편향(positivity bias)이 꿈틀대며 튀어나온다. 범죄로 복역 중이 죄소들조차도 자신은 교도소 밖에 있는 보통 사람들보다도 더 도덕적이고 정직하다고 평가한다. 법을 어겨 실형을 선고받은 이 죄수들이 가장 겸손하게 평가한 영역이 준법성이었다. 이들은 자신들의 준법성이 모든 사회 구성원들 중 평균이라고 답했다.


우리가 외부에 부정적이고 내부에 긍정적인 특성은 리더십을 발현하는 장면에서 가장 왜곡되어 드러난다. 리더로서 자신에 대한 평가는 매우 긍정적이고 낙관적이다. 그래서 모든 리더들은 자신이 얼마나 좋은 사람인지 드러내려고 노력한다.


그런데, 리더가 좋은 모습을 보이는 것이 리더십의 효과성을 높이는 데 도움이 될까, 아니면 나쁜 모습을 보이지 않는 것이 더 중요할까?


우리가 조직에서 접하는 리더십 역량이며, 리더십 교육 등에서는 리더의 장점과 강점을 어떻게 발휘하는가에 초점이 맞춰져 있다. 하지만, 정작 중요한 것은 따로 있다. 나쁜 모습을 보이지 않는 것의 효과성이 훨씬 더 크기 때문이다. 이를 밝혀 낸 좋은 연구가 있어 소개한다.


2022년 인사심리학 저널(Personnel Psychology)에 네브라스카-링컨대학교 비즈니스칼리지의 트로이 스미스(Troy Smith) 교수 등의 연구진은 리더의 긍정성에 비해 부정성이 리더십의 효과성에 미치는 영향이 더 크다는 사실을 연구해 발표했다. 리더의 부정성은 구성원의 만족도(employee satisfaction) 뿐 아니라, 직무에 몰입하는 직무배태성(job embeddness)와 이직의도에도 영향을 미칠 수 있다. 그리고 이 영향력은 평소 자신이 좋은 사람이라고 믿는 구성원에게 더 심하게 찾아온다.


출처: Smith, T. A., Boulamatsi, A., Dimotakis, N., Tepper, B. J., Runnalls, B. A., Reina, C. S., & Lucianetti, L. (2022). “How dare you?!”: A self‐verification perspective on how performance influences the effects of abusive supervision on job embeddedness and subsequent turnover. Personnel Psychology, 75(3), 645-674.


미국 내 1,276명의 직장인들을 대상으로 리더의 부정성이 직무 만족에 미치는 영향을 연구한 결과, 자신이 괜찮은 사람이라고 느끼는 부하직원일수록 리더의 부정성에 취약했다. 리더의 부정적 측면은 구성원의 직무만족을 떨어뜨리는데, 스스로 좋은 직원이라고 믿는 부하직원에게 부정적 영향이 훨씬 컸다.


리더의 부정성은 부하직원들이 리더에게 하는 평가에도 악영향을 미쳤다. 특히 스스로 좋은 직원이라고 여기는 구성원들의 경우, 리더의 부정성에 민감하게 반응했다. 리더 스스로 긍정성을 높이려는 행동의 효과보다 똑같은 한 번의 리더십 행동이어도 부정적 행동이 미치는 영향이 훨씬 크다는 사실을 인지해야 한다.


리더의 부정성은 긍정성에 비해 영향이 더 크고, 특히 자신에 대해 긍정적인 구성원에게 미치는 부정적 영향이 지대하다. 그러니, 리더십의 영향력을 높이려면 뭔가 잘하려고 노력하기보다는 부정적인 측면을 줄이려고 노력하는 편이 낫다.


나를 포함해 내 주변의 아빠들도 마찬가지다. 아이들에게 아빠의 멋진 모습을 보여주는 것이 아빠를 존경하게 만드는 방법 같지만, 실상은 그렇지 않다. 아이들은 자신들에게 필요한 게임기를 사주고, 컴퓨터를 바꿔주는 아빠를 존경하지는 않는다. 금연과 금주, 화내지 않겠다는 약속을 지키는 아빠를 더 존경하고 따른다. 아빠에 대한 존경심은 긍정성을 더하는 것보다는 부정성을 보이지 않는 것이 더 중요하기 때문이다. 그리고 그 부정성을 보이지 않겠다는 약속을 지키는 것이 훨씬 어려운 일임을 아이들도 안다.


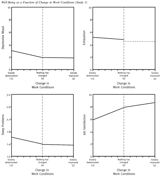
2023년 8월 응용심리학저널(Journal of Applied Psychology)에 발표된 논문 역시 부정성이 힘이 세다는 것을 입증하고 있다. 이 연구에 활용된 샘플 수는 무려 1천만건이 넘는다. 논문의 제목도 간결하고 좋다. <On the Asymmetry of Losses and Gains: Implications of Changing Work Conditions for Well-Being> 굳이 번역하자면, "손실과 이득의 비대칭성: 근무 조건 변화가 구성원의 안녕감에 미치는 효과"로 근무조건이 좋아지거나 나빠지는 것이 구성원의 안녕감에 똑같은 영향을 미치는 것이 아니라, 비대칭성 즉, 부정성의 영향이 훨씬 크다는 것이다.


아래 그래프를 보면, X축의 근무 조건이 0에서 -5로 바뀔 때의 그래프는 가파르지만, 0에서 5로 개선될 때는 완만하다. 0(점선)을 기준으로 왼편의 기울기는 모두 오른편에 비해 가파르다. 구성원의 우울감(depressive mood), 정서적 소진(exhaustion), 불면증(sleep problems), 직무 만족(job satisfaction) 등 긍정적 안녕감 지표던, 부정적 안녕감 지표던 관계 없이 모두 그렇다.


근무 조건 개선으로 볼 수 있는 효과는 크지 않지만, 근무 조건의 개악으로 잃는 것은 너무 크다.



출처: Meier, L. L., Keller, A. C., Reis, D., & Nohe, C. (2023). On the asymmetry of losses and gains: Implications of changing work conditions for well-being. Journal of Applied Psychology.


그러니, 조직의 리더와 HR은 무언가 잘하려고 노력하는 것도 물론 중요하지만, 이전에 비해 나빠진 것은 없는지 더 크게 경계해야 한다. 리더의 자기인식(self awareness) 역시 자신의 강점보다 자신의 어떤 측면이 부정적 효과를 나타내기 쉬운지에 대한 인식이 우선되어야 한다. 많은 심리학자들이 MBTI, DiSC 등의 유형진단에 대해 부정적 견해를 갖는 것은"성격은 좋고 나쁜 것이 없다"라는 황당한 전제에서 출발하기 때문이다. MBTI를 긍정적 관계형성에 활용하겠다면 제한적이지만 나쁘지 않다. 하지만, 리더십 진단을 MBTI로 해서는 안된다. 이런 진단으로는 리더 스스로 제대로 된 자기 인식이 불가하다. 물론, MBTI를 배운 사람들은 주기능 외에 부기능과 3차기능, 열등기능을 언급할 지도 모르겠다. 나는 2000년대 초반에 MBTI 일반강사 자격(한국MBTI연구소의 모든 진단을 활용할 수 있는 최상급 자격)취득했다(당시 기업체에서는 일반강사 자격자가 거의 없었다. 내 동학들은 대부분 상담심리 석사들과 수녀님들이다). MBTI에서 말하는 열등기능은 성격의 dark-side를 의미하지 않는다. 리더십을 제대로 이해하려면 반드시 dark-side에 대한 진단과 이해가 필요하다. 리더십의 어두운 측면(dark-side)의 작동 방식을 이해하고 경계하지 않으면 밝은 측면(bright-side) 역시 제대로 활용할 수 없다. 어두움은 밝음을 이기지 못한다는 말은 아주 제한된 물리적 환경에서 나타나는 현상일 뿐, 우리가 사는 실제 세상은 밝음으로 어두움을 덮지 못하는 경우가 훨씬 더 많다.

keyword
작가의 이전글[홍보] 가산 근처에 계시다면 편히 오세요~