brunch

3가지 팩트체크로 알아보는 글루타치온의 진실

글루타치온의 모든 것을 총정리했어요

by 닥터하워드


글루타치온, 어떤 물질인가요?


글루타치온(glutathione)은 본래 간에서 자연적으로 만들어지는 물질입니다. 강력한 항산화 작용을 통해 체내 활성 산소를 줄여 산화 스트레스를 낮추고 면역력을 강화한다고 알려져 있죠.

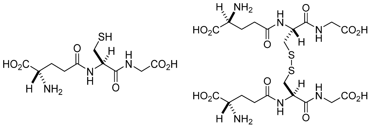
글루타치온구조.png 글루타치온의 구조: 좌-환원형(GSH) | 우-산화형(GSSG)


화학적으로 설명하자면, 글루타치온은 글루탐산, 글리신, 시스테인이라는 3 개의 아미노산이 결합된 펩타이드 입니다. 이런 펩타이드의 길이가 길어지면 우리가 잘 아는 영양소인 단백질이 돼요. 그런데 단백질이나 펩타이드를 먹으면 흡수되기 전에 구성 요소인 아미노산으로 먼저 분해돼야 하죠.

아미노산-펩타이드-단백질 구조

요컨대 글루타치온을 먹는다고 글루타치온으로 흡수가 되는 게 아니랍니다. 그래서 글루타치온은 많이 복용해도 체내로 거의 흡수되지 않아요. 이렇게 체내 흡수가 잘 안되는 문제를 해결하기 위해 최근에 나온 것이 글루타치온 필름 제형이에요. 뺨 안쪽에 있는 구강 점막에 필름을 붙이면 녹으면서 점막을 통해 흡수가 되는 원리를 이용한 것이죠.


구강 점막에는 혈액 공급이 원활하고, 모세혈관 말고도 림프관이 있어 이를 따라 흡수도 가능해요. 무엇보다 흡수된 이후 간을 거치지 않기 때문에 아미노산으로 분해될 때 손상되는 부분도 작아요. 그래서 현재 우리나라에서 절찬리에 팔리는 글루타치온 제품은 대부분 필름 제형이랍니다.


SE-5e3697e1-dec8-44d7-b088-d35275cfd827.png?type=w1 글루타치온 필름 제형 ⓒ게티이미지뱅크


나이가 들면 혈중 글루타치온 수치가 감소해요. 때문에 외부에서 글루타치온을 공급해 주면 노화를 늦출 수 있다는 기대도 해 볼 수 있겠죠? 이런 항노화 효과를 기대해 글루타치온은 주로 여성에게 많은 관심을 모아 왔어요. 최근에는 글루타치온에 피부 미백 효과가 있다고 알려지면서 ‘백옥 주사’ 라는 이름으로 수액(링거) 제제가 유행하기도 했죠.


그런데 과연 글루타치온이 정말로 피부를 밝게 만드는 효과를 갖고 있을까요? 건전지가 3가지 팩트를 체크하여 자세히 설명해 드릴게요.




글루타치온의 미백 효과,

3가지 팩트체크로 알아봐요



팩트체크 1: 충분히 검증되지 않았어요

체내 멜라닌 색소 2종의 생성 경로 비교[1]

사람의 피부색을 결정하는 것은 두 종류의 멜라닌입니다. 글루타치온은 항산화 작용을 통해 덜 검게 보이게 하는 멜라닌이 더 많아지도록 해요. 따라서 이론적으로는 글루타치온이 피부를 밝게 또는 하얗게 만들 가능성이 있기는 하답니다.


그래서 글루타치온의 피부 미백 효과를 확인하려는 임상시험이 실시됐어요. 2012년에 발표된 한 논문은 태국에서 60명의 여성을 대상으로 각각 30명씩 4주 동안 경구 투여한 글루타치온 500 mg과 가짜 약(*위약僞藥;플라시보)의 멜라닌 지표 감소 효과를 비교했어요[2]. 그 결과 글루타치온이 통계적으로 유의하게 피부를 밝게 만들었어요.


하지만 이 연구는 고작 60 명을 대상으로 실시된 것이기 때문에 큰 의미를 부여하기 어렵습니다. 논문이 게재된 저널도 별로 유명하지 않은 것이고요.


글루타치온이 미백 효과를 보였다는 논문이 2개 더 있기는 합니다. 그러나 이 역시 실험 대상의 숫자가 60 명[3], 46 명[4]으로 무척 작아서 결과의 신뢰도가 매우 낮아요. 여러 개의 임상시험 결과를 종합해서 검토한 논문은 한 편도 발표된 적이 없고요. 이런 이유 때문에, 글루타치온의 피부 미백 효과를 입증할 만한 근거는 아직 충분하지 않다는 것이 학계의 잠정적인 결론이에요[5].




팩트체크 2: 건강기능식품 인증이 없어요


사실 우리나라에서 글루타치온은 건강기능식품이 아니랍니다. 식품의약품안전처(이하 식약처)가 정식으로 글루타치온의 기능성과 안전성, 품질을 면밀히 검토해 기능성 원료로 인정하지 않았기 때문이에요. 그래서 글루타치온은 아직 ‘건강식품’ 또는 ‘건강보조식품’에 불과해요.


건전지가 이전에 다른 글에서 말씀드린 것처럼, 진짜 ‘건강기능식품’은 제품 표면에 꼭 식약처 인증 마크를 부착하도록 되어 있답니다. 그러니 의심스러울 때는 라벨을 한번 확인해 보세요! 아무리 그럴듯한 포장을 하고 있어도 건강기능식품 마크가 없다면 건강기능식품이 아니라는 점, 꼭 기억하세요!

제품 라벨에 이 마크가 없다면, 건강기능식품이 아니에요!




팩트체크 3: 과장 광고, 거짓 광고가 매우 심각해요


이렇듯 아직 식약처의 정식 인증이 없기 때문에, 글루타치온 건강(보조)식품이 마치 건강에 도움을 주는 기능이 있는 듯 광고하면 불법이에요.


실제로 2023년 말 한국소비자원에서 국내에서 유통 중인 글루타치온 식품의 안전 실태를 조사했는데 결과가 매우 충격적이었답니다. 시중 제품 대부분의 실제 글루타치온 함량이 표시나 광고한 양의 절반 밖에 안됐어요. 전부 과장 광고인 셈이죠!


더 큰 문제는 조사 대상 온라인 쇼핑몰의 59%에서 글루타치온이 마치 건강기능식품인 것처럼 오도했고, 심지어는 질병 예방이나 치료 효과가 있는 양 거짓 광고를 했다는 거예요. 여드름 케어, 피로회복, 간 건강 개선, 피부 미백이 주로 사용된 과장 광고 문구였답니다. 게다가 마치 진짜 소비자가 남긴 것처럼 가짜 후기를 작성해서 구매를 권유한 사례도 적발됐고요.




결론: 상술에 속지 마세요!


글루타치온, 비싼 돈 내고 사시면 안돼요. 먹는 글루타치온은 흡수가 거의 안되고, 그나마 흡수율이 낫다는 구강 필름 제형이라도 기대하는 미백 효과를 보이지 못한답니다.


그래도 굳이 구매를 하시려면 함량 정보가 정확한지 확인부터 하셔야 하겠죠? 무엇보다 글루타치온은 아직 건강기능식품이 아니라 단순 건강(보조)식품이라는 사실을 꼭! 기억하세요.


글을 읽고 궁금한 점 또는 별도의 의학 관련 문의사항이 있으시면 댓글로 남겨주세요.Stay Charged!




참고문헌/출처

[1] Lu Y, Tonissen KF, Di Trapani G. Modulating skin colour: role of the thioredoxin and glutathione systems in regulating melanogenesis. Biosci Rep. 2021 May 28;41(5):BSR20210427. doi: 10.1042/BSR20210427. PMID: 33871027; PMCID: PMC8112849.

[2] Arjinpathana N, Asawanonda P. Glutathione as an oral whitening agent: a randomized, double-blind, placebo-controlled study. J Dermatolog Treat. 2012 Apr;23(2):97-102. doi: 10.3109/09546631003801619. Epub 2010 Jun 5. PMID: 20524875.

[3] Weschawalit S, Thongthip S, Phutrakool P, Asawanonda P. Glutathione and its antiaging and antimelanogenic effects. Clin Cosmet Investig Dermatol. 2017 Apr 27;10:147-153. doi: 10.2147/CCID.S128339. PMID: 28490897; PMCID: PMC5413479.

[4] Wahab S, Anwar AI, Zainuddin AN, Hutabarat EN, Anwar AA, Kurniadi I. Combination of topical and oral glutathione as a skin-whitening agent: a double-blind randomized controlled clinical trial. Int J Dermatol. 2021 Aug;60(8):1013-1018. doi: 10.1111/ijd.15573. Epub 2021 Apr 19. PMID: 33871071.

[5] Sonthalia S, Jha AK, Lallas A, Jain G, Jakhar D. Glutathione for skin lightening: a regnant myth or evidence-based verity? Dermatol Pract Concept. 2018 Jan 31;8(1):15-21. doi: 10.5826/dpc.0801a04. PMID: 29445569; PMCID: PMC5808366.




keyword