brunch

오메가3 심혈관질환 효능
논란의 진실을 알아보자

오메가3 특성과 효과 논란, 여기서 총정리

by 닥터하워드


생선기름, 즉 어유(魚油, fish oil)가 오메가3지방산과 같은 것이라고 아시는 분이 많아요. 하지만 이 둘이 꼭 같지는 않답니다. 오메가 3는 영양소이고, 이 오메가 3의 주요 원료가 바로 생선기름이기 때문에 종종 오해가 생기지요.


오메가-3는 우리 몸이 스스로 만들어내지 못하기 때문에 음식이나 건강기능식품 같은 보충제로 섭취해야 하는 ‘필수’ 영양소예요. 오늘은 건전지오메가3 지방산의 특성최근에 불거진 효능 논란의 의미를 좀 더 자세히 알려 드릴게요!



3가지 질문으로 알아보는
오메가3


Q1. 오메가3, 무슨 뜻이에요?


A: 유기화합물의 작명법에는 고대 그리스어가 자주 사용돼요. 이건 오메가3 지방산도 마찬가지랍니다.


고대 그리스 알파벳에서는 마지막 글자를 오메가(⍵) 라고 불러요. 학자들은 이에 착안해 분자의 한 쪽 끝(즉, ‘오메가 ’)인 메틸기에서 세 번째에(즉, ‘3 ’) 위치한 탄소가 첫 이중결합을 하는 특성을 보고 오메가3라는 이름을 붙였답니다.

[그림1] 오메가3 지방산의 분자구조 예시 ©식품의약품안전처[1]


이렇듯 이중결합이 메틸기부터 몇 번째 탄소에서 시작하는지를 보고 오메가3라는 이름을 붙인 이유가 무엇일까요? 바로 이중결합의 유무와 그 위치가 중요하기 때문이랍니다[2].



Q2. 포화지방산 vs 불포화지방산,
무슨 차이가 있나요?


A: 오메가3는 필수 ‘지방산(Fatty Acids)’ 이에요. 이 지방산은 글리세롤과 함께 지방을 구성하는 요소랍니다. 예컨대 중성지방(triglyceride)은 글리세롤 하나에 지방산이 세 개 연결된 물질을 의미하죠. 이 지방산에 이중결합이 하나도 없으면 ‘포화’ 지방산, 반대로 이중결합이 하나 이상 존재하면 ‘불포화’ 지방산이라고 부른답니다.

%EA%B7%B8%EB%A6%BC2_%ED%83%84%EC%86%8C%EB%B6%84%EC%9E%90%EA%B5%AC%EC%A1%B0.png?type=w1 [그림2]탄소 분자의 구조


위 그림처럼 탄소 분자(C)에는 네 개의 손이 있어요. 네 개의 손이 ‘각각’ 수소 분자(H)를 붙들고 있어서 더 붙들 손이 남아 있지 않은, 즉 모든 손이 ‘포화된’ 상태가 바로 포화지방산이에요.


한편 탄소 분자가 이중결합으로 묶이면, 즉 C와 C가 두 손을 서로 맞잡고 있다면 언제든 손 하나를 빼서 다른 분자와 결합할 수 있겠죠? 이런 경우는 모든 손이 ‘포화되지 않은’ 상태이므로 불포화지방산이 되는 거예요. 그래서 첫 번째 이중결합이 끝(메틸기)에서 세 번째 탄소에 나타난 오메가3는 불포화 지방산이라는 거죠.


%EA%B7%B8%EB%A6%BC3_%ED%8F%AC%ED%99%94%EC%A7%80%EB%B0%A9%EC%82%B0_%EB%B6%88%ED%8F%AC%ED%99%94%EC%A7%80%EB%B0%A9%EC%82%B0.jpg?type=w1 [그림3]포화지방산과 불포화지방산의 분자구조 차이 ©식품의약품안전처


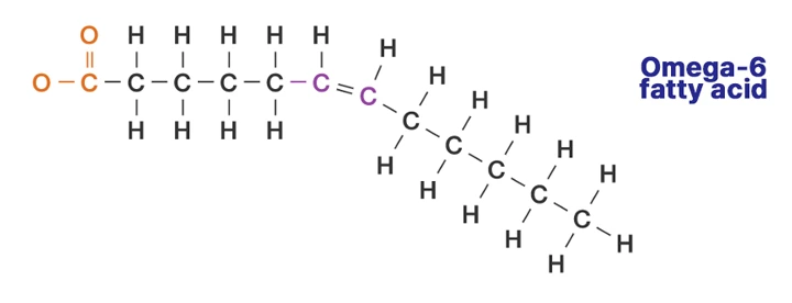
한편 오메가-6도 오메가 3와 유사한 불포화 지방산이에요. 위에서 이름을 붙이는 방법을 아셨으니, 오메가6가 분자의 끝(메틸기)에서 여섯 번째에 위치한 탄소에서 첫 이중결합이 나타난 불포화 지방산이라는 걸 쉽게 알아차리셨죠?


이 오메가-6는 주로 콩, 옥수수, 해바라기씨, 포도씨에서 추출한 식용유에 많이 들어 있답니다. 비슷해 보이지만 오메가-6는 오메가3와 기능이 반대인 경우가 많아요.


%EA%B7%B8%EB%A6%BC4_%EC%98%A4%EB%A9%94%EA%B0%806%EA%B5%AC%EC%A1%B0%EB%8F%84.jpg?type=w1 [그림4] 오메가-6 지방산 분자 구조 예시도.메틸기부터 6번째에 첫 이중결합이 나타나요.




Q3.오메가 3의 종류,
무엇이 있나요?


A: 오메가3 지방산은 도코사헥사엔산(Docosahexaenoic acid, DHA), 에이코사펜타엔산(Eicosapentaenoic acid, EPA), 알파리놀렌산 (alpha-linolenic acid, ALA) 과 같은 여러 종류의 불포화 지방산을 한데 묶어 일컫는 용어예요.

[그림5] 1)ALA 2)EPA 3)DHA[3]

도코사헥사엔산(이하 DHA)의 ‘도코사(docosa)’는 고대 그리스어로 22, ‘헥사(hexa)’는 6이란 뜻이에요. 이에 따르면 DHA는 총 22개의 탄소가 연결된 불포화 지방산인데, 그 중 6 개가 이중결합이고 첫 번째 이중결합이 끝에서 세 번째 탄소에 위치한 오메가3가 된답니다.


한편 에이코사펜타엔산(이하 EPA)의 ‘에이코사(eicosa)’는 고대 그리스어로 20, ‘펜타(penta)’는 5를 의미해요. 즉 EPA는 20개의 탄소로 이루어진, 5 개의 이중결합을 갖는 오메가3 불포화 지방산을 뜻하지요.


또한 알파리놀렌산(이하 ALA)에서 리놀(linon)도 고대 그리스어인데, 그 뜻은 아마(亞麻), 즉 리넨(Linen) 이에요. 아마풀의 씨앗에 ALA가 많기 때문에 붙여진 이름이죠.


이처럼 ALA는 견과류에 많아요. 반면 DHA와 EPA는 주로 어류에 많이 들어 있죠. 사람들이 오메가3하면 가장 먼저 생선기름을 떠올리는 건 DHA와 EPA 때문이랍니다.




논란: 오메가3는
심혈관질환 예방 효과가

있다? 없다?


지금까지 오메가3는 중성지방과 저밀도(‘나쁜’) 콜레스테롤의 혈중 농도를 낮춰 심혈관계 질환 또는 중풍을 예방하는 데 도움을 준다고 알려져 왔어요. 실제로 그동안 여러 소규모 임상시험과 관찰연구에서 오메가3가 심혈관계 사건 발생을 줄여준다는 결과가 보고됐죠.

image.png?type=w1 미국심장학회 | 미국심장협회 ©ACC, ©AHA


하지만 2023년 8월, 미국심장협회와 미국심장학회를 포함한 6개 단체가 합동으로 “오메가3가 만성 관상동맥질환 환자의 심혈관 질환을 예방하는 데 별다른 효과가 없기 때문에 식이요법 또는 건강기능식품 복용으로 보충하는 것을 권하지 않는다라는 지침을 발표했어요[4]. 당연히 그동안 오메가3를 열심히 복용하던 사람들은 큰 혼란에 빠질 수밖에 없었죠!


이 지침의 근거는 무작위 대조 임상시험 86 개에서 발표된 결과를 모두 모아서 실시한 메타분석 논문이었어요[5]. 2020년에 발표된 이 논문에 따르면, 오메가3 섭취와 사망 및 심혈관계질환의 감소 사이에는 아무런 연관이 없었어요.


의학에서 근거의 타당성을 평가할 때, 메타분석은 가장 신뢰할 수 있는 방법이에요. 요컨대 메타분석에서 ‘아니다’ 라고 결론을 내린다면 그건 정말 ‘아니’ 라고 받아들여야 한다는 뜻이랍니다.


그 뿐만 아니라 최근에 발표된 한 관찰연구에서는 건강한 사람이 오메가3의 원료인 생선기름을 규칙적으로 복용하면 심방세동과 뇌졸중이 발생할 위험이 오히려 각각 13%, 5% 증가한다는 결과가 보고됐어요[6].


다만 이 연구에서도, 심혈관계 질환을 앓고 있는 사람의 경우 생선기름 복용이 심방세동에서 주요 심혈관계 사건, 심근경색, 사망 발생으로 이어지는 질병 경과를 예방해 준다는 전혀 상반된 결과가 나타났답니다.



한편 오메가3 중 EPA만으로 구성된 순도 높은 아이코사펜트 에틸(Icosapent Ethyl, 이하 ‘IE’)은 지속적인 질병 예방 효과를 보였습니다.


예를 들어 IE를 과량, 즉 하루 4그램씩 섭취할 경우, 중성지방이 높은 심혈관질환 또는 심혈관질환 위험요인을 동반한 당뇨병 환자가 해당 질환으로 사망할 확률이 20%나 감소한다는 임상시험 결과가 유명한 의학잡지에 논문으로 출간되기도 했어요[7].

image.png?type=w1 U.S Food & Drug Administration mark © US FDA


실제로 미국식품의약품청(US FDA)은 중성지방이 높은 심혈관질환 환자 또는 심혈관질환의 위험요인을 가진 당뇨 환자, 그리고 중성지방이 매우 높은 환자의 보조치료제로 IE를 허가했어요. 다만 IE만을 고함량, 고용량으로 함유한 오메가3 건강기능식품은 아직 시중에 출시된 적이 없답니다.


이 모든 결과를 종합할 때, 오메가3의 임상적 효용을 둘러싼 최근의 논란은 그리 쉽게 잦아들 것 같지 않아요.



중성지방이 많은 한국인,
오메가3를 드시는 게 좋아요


어쨌든 건강한 사람이 장래에 발생할지도 모를 질병을 염려해 오메가3를 복용할 필요는 없어 보여요. 다만 오메가3는 중성지방을 낮춰주는 효과가 있기 때문에, 한국인의 경우에는 의사의 처방을 통해 오메가3를 복용하는 것이 좋습니다. 한국인의 혈중 중성지방 수치는 탄수화물 위주의 식습관 탓에 대체로 높은 편이기 때문이에요.


결국 몸에 좋다는 건강기능식품을 무작정 복용하기보다는 먼저 적절한 운동 균형 잡힌 식사를 건강 유지의 첫걸음으로 삼아야 합니다. 건강기능식품이 건강 유지에 도움을 주는 건 사실이지만, 순서가 바뀌면 오히려 건강에 해가 될 수 있다는 사실을 꼭! 잊지 마세요!




글을 읽고 오메가3에 대해 궁금한 점 또는 별도의 의학 관련 문의사항이 있으신가요?

댓글로 남겨주시면 상세히 답변해 드릴게요!

Stay Charged!



참고문헌

1.식약아리아: 우리 몸에 좋은 지방이 있다?(지방산과 오메가3 지방산), 식품의약품안전처. url: https://www.mfds.go.kr/webzine/201512/06.jsp

2. W.M. Nimal Ratnayake, Claudio Galli; Fat and Fatty Acid Terminology, Methods of Analysis and Fat Digestion and Metabolism: A Background Review Paper. Ann Nutr Metab 1 September 2009; 55 (1-3): 8–43. https://doi.org/10.1159/000228994

3.Ouagueni, A.; Al-Zoubi, R.M.; Zarour, A.; Al-Ansari, A.; Bawadi, H. Effects of Omega-3 Polyunsaturated Fatty Acids, Docosahexaenoic Acid and Eicosapentaenoic Acid, on Post-Surgical Complications in Surgical Trauma Patients: Mechanisms, Nutrition, and Challenges. Mar. Drugs 2024, 22, 207. https://doi.org/10.3390/md22050207

4.2023 AHA/ACC/ACCP/ASPC/NLA/PCNA Guideline for the Management of Patients With Chronic Coronary Disease

5.Abdelhamid AS et al. Omega-3 fatty acids for the primary and secondary prevention of cardiovascular disease. Cochrane Database Syst Rev. 2020 Feb 29;3(3):CD003177. doi: 10.1002/14651858.CD003177.pub5. PMID: 32114706; PMCID: PMC7049091

6.Chen G, Qian ZM, Zhang J, Zhang S, Zhang Z, Vaughn MG, Aaron HE, Wang C, Lip GY, Lin H. Regular use of fish oil supplements and course of cardiovascular diseases: prospective cohort study. BMJ Med. 2024 May 21;3(1):e000451. doi: 10.1136/bmjmed-2022-000451. PMID: 38800667; PMCID: PMC11116879.

7.Bhatt DL et al. Cardiovascular Risk Reduction with Icosapent Ethyl for Hypertriglyceridemia. N Engl J Med. 2019 Jan 3;380(1):11-22. doi: 10.1056/NEJMoa1812792. Epub 2018 Nov 10. PMID: 30415628.



keyword