brunch

사랑의 낭만과 현실 사이에서

정말로 사랑한다면 말이지

by 배재윤


등변사다리꼴이라 말하면 어떤 이미지가 떠오르는가? 아래 그림처럼 사각형의 윗변이 짧고 아랫변은 긴 도형이 떠오른다.

등변사다리꼴.PNG

등변사다리꼴의 정의는 무엇일까. 마주 보는 변이 같은 사각형을 말하는 걸까? 그렇지 않다. 등변사다리꼴이란 마주 보는 대각의 크기가 같은 사각형을 말한다. 왜 등각사다리꼴이라 부르지 않는지 개인적인 의문이 든다.

대부분 사람이 위 그림처럼 똑같은 모양의 등변사다리꼴만 그리는 이유는 머리에 굳어진 개념 이미지 때문이다. 이처럼 개념 정의보다 개념 이미지에 더욱 의존하는 경향성을 직관적 반응이라 말한다. 수학 개념을 정확히 이해하려면 개념 정의와 개념 이미지가 올바르게 상호작용해야 한다.

개념 이미지와 개념 정의.jpg

정의와 이미지가 상호작용하면 아래 그림과 같은 다양한 등변사다리꼴을 그릴 수 있다.


다양한 등변 사다리꼴.jpg

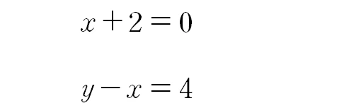
잘못된 개념 이미지 형성의 예를 몇 가지 더 살펴보자. 다음 두 개의 식 중 일차방정식을 골라보자.

asdfsdf.PNG

첫 번째 식만 일차방정식으로 골랐다면 ‘x에 관한 식 = 0’만을 일차방정식으로 인식했거나 문자가 하나인 식이 일차방정식이라는 잘못된 개념 이미지가 형성된 것이다. 일차방정식의 정의는 차수가 1인 방정식이다. 두 번째 식은 x와 y의 차수가 모두 1이므로 미지수가 2개인 일차방정식이다.

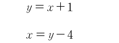
다음 두 개의 식 중 일차함수를 골라보자.

adsfsfda.PNG

첫 번째 식과 두 번째 식 모두 일차함수다. 첫 번째 식은 x의 값이 변함에 따라 y의 값이 하나씩만 정해지는 y에 관한 일차함수다. 두 번째 식도 y의 값이 변함에 따라 x의 값이 하나씩만 정해지는 x에 관한 일차함수다. 첫 번째 식만 일차함수로 골랐다면 ‘y=일차식’ 형태만 일차함수라는 잘못된 개념 이미지가 형성된 것이다.


개념 정의와 개념 이미지의 올바른 상호작용만이 수학을 제대로 이해하는 방법이다. 사람을 사랑할 때도 이와 같다.


사랑은 낭만과 현실을 모두 포괄한다. 사랑의 낭만이란 마치 내가 쓰는 로맨스 드라마 각본과 같다. 하하 호호 웃으며 내가 느끼는 감정에 상대가 전적으로 공감해주길 원한다.

하지만 사랑의 현실은 꼭 그렇지만은 않다. 서로 생각이 달라 씩씩거리며 싸운다. 까다로운 문제를 해결하는 외교관의 대화처럼 어떻게 해서든 공통된 접점을 찾고자 이견을 조율해야 한다.

낭만과 현실 중에 무엇이 옳고 그르냐를 따지고 싶은 것은 아니다. 사랑은 심장을 두근거리게 할 낭만과 대화를 해야 하는 현실 모두 필요하다. 그러나 때때로 우리는 낭만에만 너무 치중하여 현실을 보지 못한 경우가 있다. 굳이 말하지 않아도 상대가 내 상황을 공감해줄 거란 착각 말이다. 수학에서 개념 이미지에만 의존하여 개념 정의를 제대로 보지 못한 것처럼.




현실보다 낭만에만 사로잡히는 것은 잘못되었다. 사랑은 낭만과 현실을 모두 볼 줄 아는 것이다. 그래야 비로소 사랑이다. 개념 정의와 개념 이미지의 올바른 상호작용만이 수학 개념을 잘 이해할 수 있도록 도왔던 것처럼.


keyword
이전 20화사랑의 원자탄