brunch

스타트업의, 퇴사와 해고 사이.

퇴사할 결심, 해고할 결심.

by 아스파라거스

스타트업이 겪는 성장통 중 피할 수 없는 것 하나가 바로 일시에 발생하는 다수 구성원의 자발적/비자발적 퇴사 또는 구성원에 대한 해고이다. 다양한 원인이 있을 수 있다. 변화의 폭은 물론 방향조차 예측하기 힘든 스타트업에서 각자의 입장에 따라 사람이 오고 감은 어쩌면 자연스러운 일이기도 하다.


그런데 이 같은 현상이 꽤나 안정적으로 성장해 가는 스타트업에서도 발생하는 것을 자주 볼 수 있었다. 잘 관리된 리스크, 때에 맞춰 발생한 매출과 투자 유치가 있었음에도 왜 그런지 늘 궁금했다. 그리고 그 답을 프랑스에 있는 동안 얻을 수 있었다.


⚡️ STATION F에는 1,200개가 넘는 스타트업이 있으며, 그중 내가 속한 Incubateur HEC Paris는 가장 큰 규모로 250여 개의 스타트업이 있다. 가까이 대화 나눠볼 수 있는 창업자의 숫자가 250여 명이라는 말이다. 주변 여러 스타트업들이 이 문제를 겪었거나 겪고 있었다.




대부분의 스타트업들은 부족한 상태에서 시작한다. 특히 초기 스타트업의 경우, 매출의 발생이나 투자 유치 시점이 불확실하기 때문에, 월 지출 비용burn rate최소화하여 스타트업의 유지 가능 기간runway 최대한 늘려야 한다. 비용의 최소화를 위한 가장 상징적이고 상투적인 항목이 바로 사람에 관한 비용이다.

생각해 보면, 초기 스타트업들에게 있어서는 줄일 수 있는 유일하고 절대적인 비용이기도 하다.


✘ 가끔, 일 보다 사람을 먼저 구성하는 스타트업들도 있는데, 이런 경우 어려운 상황이 닥치면(보통 더 빨리 닥친다) 같은 방법으로 사람을 먼저 정리한다.


구체적으로 창업자들은 (창업자와 스타트업 입장에서) 비용을 줄이고 조금 더 지속가능한 환경을 만들기 위해 다음과 같은 노력(?)들을 한다.


1️⃣ 창업자 본인을 갈아넣기,

2️⃣ 포지션(기능)을 고려한 최소한의 단계적 채용하기,

3️⃣ 고용의 형태(정규직, 계약직, 인턴, 지원제도 등) 다변화하기, (잔인하지만 현실이 그렇다.)


위의 노력들은 보통 복합적으로 발생하는데, 1️⃣+2️⃣+3️⃣에 스타트업의 성장이 결합되면서 구조적인 문제가 발생한다.




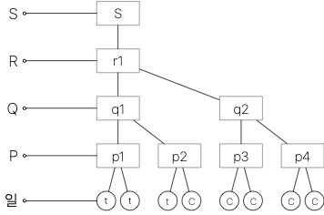
초기 창업자는 회사의 성장이라는 전제 하에 그림1과 같은 조직 구성을 계획한다.


그림 1


하지만 초기에는 여러 가지 상황을 고려하여 S(창업자) 혼자 일을 하게 된다. 점차 일이 늘어남에 따라 S는 신규 채용을 고려하게 되고, 업무량과 비용을 고려하여 자신을 지원support해 줄 p1을 고용하게 된다.이제 아래 그림2의 왼쪽과 같은 조직team이 구성되었다. 하지만 외관상은 S와 p1만 있는 오른쪽과 같은 구조이다.


그림 2

이때 첫 번 째 구조적 문제가 발생한다.

✅ p1은 S와 P사이에 R과 Q가 생략되어 있다는 사실을 알지 못한다.


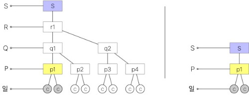
R, Q의 일은 대부분 S가 처리한다. 이러한 상태로 스타트업은 성장을 지속하게 되고, 일과 가용 자금이 늘어남에 따라 아래 그림3의 왼쪽과 같이 관리자manager q1과 지원자supporter p2를 추가 고용하게 된다. 외관은 오른쪽 그림과 같은 구조이다.


Untitled 2.jpg 그림 3

이제 두 번째 구조적 문제가 발생한다.

✅ q1은 S와 Q사이에 R이 생략되어 있다는 사실을 알지 못한다.

✅ p1과 S 사이에 관리자 q1이 추가되었다.

✅ p1보다 늦게 합류한 p2는 p1과 같은 입장level이다.


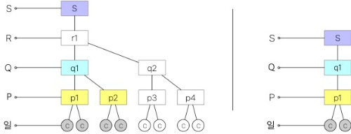
추가 자금이 확보되고 한번 더 추가 채용이 진행되어, 아래 그림4와 같이 조직이 완성되었다.

그림 4

마지막 세 번째 구조적 문제가 발생한다.

✅ q1과 S 사이에 관리자 r1이 추가되었다.

✅ q1보다 늦게 합류한 q2는 q1과 같은 입장이다.

✅ p1과 S 사이에 관리자 r1에 q1이 추가되었다.

✅ p1보다 늦게 합류한 p2, p3, p4는 p1과 같은 입장이다.




p1의 입장에서(q1도 마찬가지)

- 중간 관리자 없이 S와 직접 일을 할 수 있는 것이 자리position의 장점merit 중 하나였다.

- S와 둘이 있었던 때에, P의 일인 줄 알고 Q의 일까지도 맡아했었다.

- 초기 구성원로서의 처우가 있을 것으로 기대했다.

- 회사의 성장과 함께 자신의 입지도 성장할 것으로 기대했다.

결론, 정당하지 못한 처우에 퇴사할 결심을 한다.


S의 입장에서

- p1은 회사의 성장 속도에 발맞추지 못한다.

- 다른 구성원들과 원만히 지내지 못한다.

- 위계를 뛰어넘는 행동을 자주 한다.

- 지나치게 원하는 것이 많다.

결론, 회사 전체를 위해 해고할 결심을 한다.




어느 한쪽의 입장을 대변하고 싶지는 않다. 나 스스로도 아직 저 구조적 결함을 해결할 방법을 찾고 있는 중이다. 초기 스타트업이 더 성장하기 전, 꼭 한 번은 서로의 입장에서 생각해 보았으면 하는 마음이다.

keyword
이전 12화스타트업의, 걱정과 산책.