brunch

50. 이제야 들리는 몸의 소리

22. 커피는 내 몸에 독일까? 약일까?

by FA작가


늦은 밤까지 자율학습을 하던 고3! 친구가 가져온 맥스웰이라는 가루커피를 맛보게 되었다.

처음엔 썼지만 부드러운 프림과 달달한 설탕맛에 매력을 느꼈었다. 그러다 자판기의 조금은 뜨겁고 달달한 커피를 마시게 되었고

성인이 되자마자 커피숍에서 카푸치노를 즐겨 마셨었다.

그때는 하루에 많게는 4잔 정도 마셔도 일상에 아무 변화가 없었는데....


언제부터 내 몸이 불편하다고 생각했던 걸까?

처음엔 2잔 이상 먹으면 내 의지와는 상관없이 밤늦게 잠이 들었고

그다음엔 저녁시간 이후에 먹으면 잠을 거의 이루지 못했지..


지금은 먹지 말라는 한의사의 말로 조심조심!

그러다 보니 이틀에 한잔 정도 마시게 되었다.

커피를 줄이다 보니 임신을 하고 믹스커피를 끊었을 때가 생각이 난다..

아메리카노는 금방 끊었는데 믹스커피는 금단현상을 일으키지 뭔가... 머리가 어수선하고 집중이 흐려지며 자꾸 무엇인가 먹어야 한다는 강박을 주었다.

그런데 이제 커피를 아예 끊으라니..

한동안 디카페인도 먹어보았는데 커피와는 다르게 갑자기 피곤은 밀려와도 머리를 맑아지지 않아 선호하지 않게 되었다.

‘일하는 세포’ 만화를 보면 적혈구가 산소택배를 힘들게 운반하다가 갑자기 빠르게 운반하는 장면이 있다. 무엇인가 쏟아지는 액체를 맡고 좋아했는데 에너지 드링크, 카페인 그리고 아르기닌에 반응하는 하는 것이었다. 혈관을 확장시켜 혈류가 빨라지는 모습이라는데 생각보다 상당히 빨라 보였다.

그래서 밥을 먹고 졸린 것처럼 많은 혈류가 이동해서 커피를 마시면 잠시 졸렸던 걸까?

주변에서는 커피 대신 녹차를 마시라 하는데 생각만큼 쉽게 결정하지 못하겠다.

갓 내려진 커피의 구수한 냄새를 맡는 순간 카페에서 휴식을 하고 있는 것처럼 마음이 편안해지는데...

지인과 함께 이야기를 나눠도 집중이 잘 되는 것 같은데....

그런데 몸은 힘들다고 하니 참으로 고민이 된다.

고민하던 중 ‘[강석기의 과학카페] 아데노신과 카페인의 두 얼굴’이라는 글을 읽게 되었다.

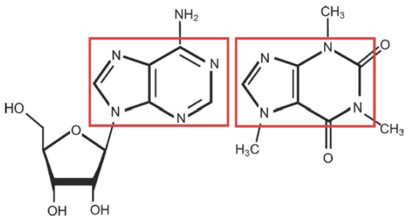
졸릴 때 커피를 마시면 정신이 드는 건 카페인이 먼저 A2A수용체에 달라붙어 아데노신의 신호를 차단하기 때문이라고 한다. 그것은 실제 아데노신과 카페인의 분자 구조는 꽤 비슷하지만 카페인이 수용체에 붙으면 신호가 생기지 않는다고 한다. 그런데 그림으로 보니 참으로 비슷하다.


화면 캡처 2025-03-02 223420.png



아데노신(왼쪽)과 카페인의 분자 구조로 아데노신의 염기(아데닌)와 카페인이 꽤 비슷함을 알 수 있다. 속씨식물 진화과정에서 커피나무와 차나무 등 30여 종이 해충의 신경계를 교란하는 카페인을 만드는 데 성공했다. ‘CNS 신경과학& 치료학’ 제공

‘파킨슨병에서는 특히 미세아교세포의 증식이 두드러져 심각한 신경염증으로 이어지는데 카페인이 이를 억제한다. 미세아교세포의 세포막에 분포한 A2A수용체에 달라붙어 아데노신의 신호를 차단해 준동을 막는다.’라는 구절을 읽으니 아침에 한잔 정도는 마셔도 된다는 생각이 들었다.

아직 명확한 결론을 내기 어렵지만.. 천천히 나의 몸과 조율해 가면서 커피의 양을 조절해 보기로 했다.

"이쁜아. 몸에 좋은지 나쁜지 계속 알려줘~"

keyword
작가의 이전글50. 이제야 들리는 몸의 소리