brunch

일본, 곧 집단면역에 도달하나?

by 이덕희

마스크 착용을 제외하고는 유행 초기부터 코로나에 대한 대응이 완전히 달랐던 한국과 일본이었습니다. 제가 5월 말 "왜 일본은 신종 코로나 사망이 폭발하지 않을까?"라는 글에서 모든 것을 쏟아부은 한국과 거의 아무것도 하지 않은 일본 간에 코로나 사망률에 큰 차이가 없다는 것에 주목해야 한다고 주장했었는데요, 다들 별 관심이 없더군요.


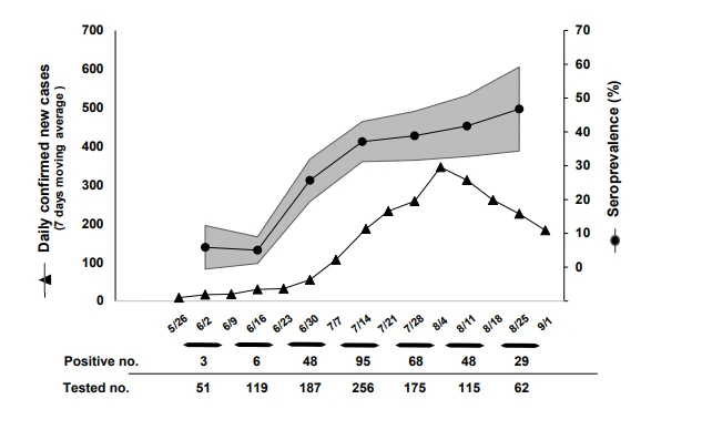
여전히 한국과 일본의 사망률에 큰 차이가 없는 상황에서, 최근 일본이 곧 집단면역에 도달할 수도 있음을 시사하는 흥미로운 연구결과가 나왔군요. 아직 정식으로 저널에 발표된 것은 아니고 medRxiv라는 사이트에 저자들이 직접 올려놓은 논문입니다. 내용은 아주 간단합니다. 일본에서 확진자수가 급증했었던 6~8월 사이에 도쿄에 소재하는 11개 산업장 1,877명의 건강한 근로자들중 일부를 대상으로 항체 조사를 주기적으로 해서 변화 양상을 본 것입니다.


처음 시작할 때는 5.8% 항체 양성률로 시작해서 8월 말에는 거의 50%에 달하는 항체 양성률을 보였군요. 그리고 전파를 방지하기 위한 특별한 조치를 취하지도 않았지만 도쿄 확진자수는 8월 초에 피크를 보인 후 감소하기 시작하고요. 물론 이 산업장의 결과를 바로 도쿄 혹은 일본 전체에 적용하기는 무리가 있겠지만, 그 자체로 많은 시사점을 가집니다. 확진자수의 증감 패턴은 일본 전체의 확진자 수 증감 패턴과 정확하게 일치합니다.


japan.PNG


국가 차원에서 전파 방지를 위하여 방역이라고 부를 만한 특별한 일을 하지 않은 일본입니다. 제가 앞서 "지금까지 버텨준 스웨덴이 고맙다"라는 글에서 일본이 7월부터 확진자 수의 급증을 보이고 있는 상황에서 전국적인 여행 장려 캠페인을 시작했는데, 이는 아마도 일본 정부가 찬 바람이 불기 전에 면역 가지는 사람들이 많이 늘어나기를 원하는 듯하다고 적은 바 있습니다. 일본은 그 목적을 달성한 것으로 보입니다.


이 글을 읽으면서 항체는 좀 있으면 사라진다는데 뭔 집단면역이냐고 화를 내면서 바로 화면을 닫아버릴 분도 계실 듯합니다. 하지만 제가 여러 번 설명드렸듯, 항체는 사라져도 T세포성 면역을 통한 저항력은 남아있습니다. 집단면역이란 항체를 포함하여 모든 면역시스템의 합으로 결정되는 것입니다.


그런데 이 결과를 보면서 우리가 주목해야 할 사실은 따로 있습니다. 그렇게나 감염이 광범위하게 발생한 상황에서도 여전히 일본의 코로나 사망률은 인구 10만 명당 1.4명 정도에 불과하다는 것입니다. 참고로 현재 우리나라 코로나 사망률은 10만 명당 0.9명 정도입니다. 일본의 고령층 인구가 훨씬 더 많기 때문에 후에 연령 보정을 해보면 사망률에 거의 차이가 없거나 뒤집힐 가능성도 있습니다.


아직까지 우리나라에서는 현재와 같은 방역이 없었으면 우리나라도 3,4월 유럽이나 미국과 같은 일이 벌어졌을 것이라고 생각하는 사람들이 대다수인 듯합니다. 하지만 그런 일은 결코 일어나지 않습니다. 동아시아권 국가들은 기본적으로 코로나 바이러스에 대한 저항력이 서구권 국가들보다 훨씬 크기 때문입니다. 우한과 같은 유행의 발원지는 제외하고, 모든 국가에서 방역대책, 경제 수준, 의료 수준에 관계없이 코로나 사망률은 서구권 국가들보다 수십 배에서 수백 배 더 낮습니다. 저는 그 이유를 앞서 설명드렸던 교차면역에서 찾고 있습니다.


comparison of mortality.png

이번 독감 백신 사태로 인하여 많은 사람들이 우리나라에서 매년 독감으로 사망하는 사람들의 숫자가 2~3천 명에 이른다는 사실을 드디어 인지하게 된 듯합니다. 독감 치사율이 0.1%라니, 백신이 있는 상태에서도 매년 독감 환자 수가 2~3백만 명에 이른다는 이야기입니다. 그런데 지금까지 우리가 독감 전파를 막기 위하여 접촉자를 추적하고 건강한 사람들에게 마스크를 강요하고 모든 학생들이 비대면 수업을 하면서 보낸 일이 있었던가요?


하루빨리 우리 사회가 정상화될 수 있기를 바랍니다.

keyword
작가의 이전글누가 스웨덴을 실패라고 이야기하는가?