소리 없이 다가오는 '콩팥병', 당신도 예외는 아니다

콩팥을 살리는 채식의 힘

by 송무호



필자: 수술은 했나?

친구: 아직 안 했다. 언제 연락올지 몰라 항상 대기 중이다.

필자: 기다린지 얼마나 됐노?

친구: 지금 5년짼데 이제 거의 다 되어 간다. 연락오면 2시간 내로 병원에 가야 해서, 어디 멀리는 못 가고 항상 대기 중이다.

필자: 고생 많구나, 친구야..


필자의 한 친구는 말기신장병으로 일주일에 3일 투석을 하며 힘겹게 삶을 이어가고 있다. 원인은 당뇨병이었다. 병원에서 시키는 대로 잘 따라 했지만, 당뇨약 먹은 지 15년 경과 후 신장이 망가졌다는 얘기를 듣고 심한 충격을 받았다고 한다. 현재 신장이식 수술 대기자 명단에 5년째 올라가 있다.


한국인의 만성 신장병(만성 콩팥병, chronic kidney disease. *이하 CKD로 표기) 환자는 지속적으로 늘어나고 있다. 이는 당뇨병과 고혈압 같은 만성질환의 증가와 밀접한 관련이 있으며, 특히 우리나라는 빠른 고령화와 서구화된 식습관으로 매년 환자 수가 급증하고 있다.


2021년 통계에 따르면 우리나라 30세 이상 인구의 CKD 유병률은 11.4%로, 성인 10명 중 1명이 앓는 흔한 병이 되었다 [1].


CKD 환자의 약 1%는 말기콩팥병으로 진행되어 신대체요법(투석 또는 신장이식)이 필요한 상태가 된다 [2].


특히 지난 10년간 말기콩팥병의 발생률(incidence)과 유병률(prevalance)이 2배로 증가했다 (아래그래프) [3,4]. (*발생률은 특정 기간 동안 인구 집단 내에서 어떤 질병이 새롭게 발생한 환자 수. 유병률은 어떤 시점에 인구 집단 내에서 해당 질병을 갖고 있는 환자 수.)


S Chung. The Korean Journal of Medicine 2023


CKD 원인 중 70%는 당뇨병과 고혈압이고, 그 외 만성사구체신염 등이 있다 (아래도표) [5].

말기신장병원인절반이당뇨.. (1).jpg 대한신장학회, 당뇨병 콩팥병 아는 것이 힘이다


우려되는 것은 증가 추세다.


2022년 미국국립보건원(NIH) 자료에 의하면 당뇨병으로 인한 CKD 증가 추세는 한국이 세계 1위라고 한다 [6].

더메디컬.jpg https://www.themedical.kr/news/articleView.html?idxno=1204


2025년 기준, 1년에 신규 투석 환자가 1만6천명씩 쏟아져 나온다. CKD의 근본 해결책인 신장이식은 매년 2000건 정도로 제한된 범위에서 이뤄지기에 대다수는 투석에 의존할 수밖에 없어 거의 모든 환자가 관행적으로 투석 생활을 시작한다 [7].

한해1만6천명...jpg


개인으로서도 불행한 일이지만, 한국 사회 전체를 봐서도 CKD 치료에 이미 연간 2.6조원이 넘게 들어가고 환자 1인당 진료비가 가장 높은 질병이라 하니 사회적으로도 심각한 문제가 아닐 수 없다 (*아래도표 중 맨 우측 갈색 그래프) [4,8].

CKD비용최고.jpg S chung. The Korean Journal of Medicine 2023




콩팥은 주먹 크기만 한 장기로 아랫배 뒤쪽, 척추 양 옆에 위치하며 콩 모양을 닮았고 팥 색깔과 비슷해서 콩팥이라 부른다.

서울아산병원 https://www.amc.seoul.kr/asan/healthinfo/body/


콩팥의 기능은 크게 3가지로 나눈다. 첫째는 혈액 속 노폐물을 걸러 소변으로 배출하는 ‘배설 기능’이고, 둘째는 체내 수분과 전해질 양을 일정하게 유지시키는 ‘항상성 기능’이다. 셋째는 혈압조절, 조혈작용, 뼈 대사에 중요한 여러가지 호르몬을 생산하는 ‘내분비 기능’이다. 콩팥이 망가지면 이 3가지 기능이 함께 떨어진다 (아래그림) [9].

신장의기능...jpg
kidney 기능들.jpg T Naber, et al. Nutrients 2021


콩팥의 가장 중요한 기능은 정수기가 물을 깨끗하게 해 주듯, 혈액 속 노폐물을 걸러 피를 맑게 해주는 것이다. 정수기 필터 역할을 하는 것은 사구체(glomerulus, 絲球體 -> '실' 사(絲), '공' 구(球), '몸' 체(體)라는 뜻)로 직경 0.1~0.2mm(머리카락 정도의 굵기)의 매우 가는 모세혈관이 실타래처럼 뭉쳐진 작은 덩어리며 한쪽 콩팥 당 약 100만개가 있다. 사구체를 통해 분자량이 큰 물질인 적혈구, 단백질 등은 여과되지 않고 분자량이 작은 포도당, 전해질, 노폐물 등은 일단 여과된 후 세뇨관(tubule)에서 포도당처럼 중요한 물질은 다시 재흡수하고 남은 물질은 방광으로 보낸 후 소변으로 배출된다 (아래그림) [10,11].


healthy kidney...jpg National Kidney Foundation. https://www.kidney.org/kidney-topics/kidney-function


아래 사진은 사구체신염에 걸린 개의 콩팥이다. 한마디로 '핏덩어리' 모양인 게 사람의 콩팥과 매우 유사하다 [12].

개 신장 사진.. (1).jpg MA Breshears, et al. Pathologic Basis of Veterinary Disease 2017


정상인의 경우 1분당 사구체를 통과하는 혈액량을 나타내는 사구체 여과율(GFR, glomerular filtration rate)은 평균 125 mL로, 하루로 따지면(0.125 L/min×60 min×24 h) 약 180 리터다. 인체 체중의 8%가 혈액이니, 예를 들어 체중 60kg인 사람의 혈액량은 약 5리터 정도다 [13].


이 사람의 콩팥이 하루에 전체 혈액을 여과하는 횟수(180L/5L)는 무려 36회에 이른다. 콩팥은 단순히 소변 만드는 기관이 아니라, 1년 365일 하루 24시간 쉬지않고 일을 하며 체내 환경을 완벽하게 조정하여 건강을 유지시킨다.

서울아산병원 https://www.amc.seoul.kr/asan/healthinfo/disease/


사구체에서 걸러진 원뇨(primary urine)의 대부분(약 99%)은 다시 세뇨관에서 재흡수되고 하루 약 1.5 리터 정도만 소변으로 배출된다. 사구체 기능이 좋아야 노폐물(요소, 요산, 크레아티닌)을 제거하고, 필요한 물질(포도당, 전해질)은 다시 재흡수한다. 사구체가 염증 등의 원인으로 손상되면 단백뇨, 혈뇨 같은 소견이 나타난다.


콩팥병이 의심되면 어떤 검사를 하나?


콩팥병 진단은 비교적 간단하여 소변검사와 혈액검사만으로도 어느정도 알 수 있다.


콩팥에 이상이 있을 때 가장 흔히 나타나는 증상은 단백질이 소변으로 빠져나오는 '단백뇨'다. 소변을 볼 때 거품이 많이 생기고 이 거품이 쉽게 가라앉지 않아 '거품뇨'라 표현하기도 한다 (아래사진 우측).

거품뇨...jpg


'단백뇨'가 있다는 것은 콩팥에 손상이 있다는 것을 의미한다. 소변검사 시험지(dipstick)에서 음성(–) 혹은 trace 까지는 정상 범위 안에 들어갈 수 있다. 단 한번의 소변검사에서 단백뇨가 나왔다고 바로 신장질환을 의미하진 않지만 반복 검사(보통 1~2주 후)에도 단백뇨가 확인될 때는 CKD 가능성을 의심한다. 이 경우 24시간 소변 단백 측정을 해야 하지만 채뇨 과정이 번거롭고 수집 오류가 많아, 외래 환자에겐 간편하게 일회성 소변(주로 아침 첫 소변)에 들어있는 단백질과 크레아티닌의 비율(spot urine protein/creatinine ratio, UPCR)로 하루 단백질 배설량(g/day)을 추정한다. (*하루 단백뇨 150mg 이하, 알부민뇨 30mg 이하는 정상)


혈액검사에서는 특히 '크레아티닌(creatinine)' 수치를 본다. 크레아티닌은 근육 대사 노폐물로 24시간 동안 비교적 일정하게 생산되어 소변으로 전량 배출되기에 콩팥 기능을 평가하는 중요한 지표다. 소변으로 배출되어야 할 크레아티닌이 배출이 안되고 혈액 속에 축적되면 혈 중 수치가 올라간다. 수치가 높을수록 신장 기능이 떨어졌다는 것을 의미하고, 보통 신장 기능이 50~60% 이상 손상된 후 유의미하게 상승한다.


크레아티닌 수치가 높다는 말은, 즉 사구체 기능이 떨어져 있다는 말과 동일하다. 실제 임상에서는 크레아티닌 수치로 계산기를 이용해 사구체 여과율을 추정한다(eGFR, estimated GFR, 추정사구체여과율) (아래 계산기) [14].


크레아티닌GFR계산기.jpg 대한신장학회


그 외 초음파 혹은 CT 촬영을 통해 콩팥 모양이나 크기에 이상이 있는지 검사하는 경우도 있다.




만성콩팥병(CKD)이란 어떤 병인가?


갑자기 기능이 멈추는 급성신손상(AKI, Acute kidney injury)과는 달리, CKD는 신장 기능이 서서히 소실되는 것으로 사구체 여과율과 관계없이 신장 손상 소견이 3개월 이상 나타나거나, 신장 손상 유무와 관계없이 사구체 여과율이 60mL/min 이하로 3개월 이상 지속되는 상태를 말한다.


CKD는 사구체 여과율에 따라 5단계로 분류된다 [14].


대한신장학회


콩팥 기능이 떨어짐에 따라 나타나는 증상은 매우 다양하다. 1단계는 아무 증상이 없고 소변검사에서 단백뇨 또는 혈뇨가 나올 수 있다. 2단계는 신장기능이 감소하기 시작하면서 평소보다 더한 피로감, 식욕부진, 소화불량 등이 나타날 수 있다. 3단계는 신장기능이 절반 이하로 떨어진 상태로 혈압이 오르고, 전신 가려움증 등이 나타나며 본격적인 치료와 식단 관리가 필요한 시점이다.

요독증증상EBS...jpg


4단계는 신장기능이 겨우 유지되는 정도로, 노폐물 제거가 제대로 되지 않아 요독증(尿毒症, uremia)이 나타난다. 오줌(尿)을 통해 배설되어야 하는 독(毒)이 몸에 쌓여서 생기는 증상(症)이란 뜻이다. 구역질, 구토, 부종, 고혈압, 호흡곤란(폐부종) 및 신장에서 생성되는 조혈 호르몬(Erythropoietin)이 감소하면서 빈혈이 발생하는 등 거의 모든 기관에 문제가 생기고 다양한 증상들이 나타난다 (아래그림) [15].


Lancet 2017.jpg AC Webster, et al. The Lancet 2017


5단계는 신장기능이 15% 미만으로, 수분이나 전해질이 조절되지 않아 부종이 심해지고 부정맥, 심근경색, 뇌경색이 발생할 수 있다. 투석이나 신장이식 없이는 생명 유지가 어려운 상태로 '말기신부전(ESRD, end-stage renal disease)'이라고도 한다. 혈액투석은 일주일에 3일, 한번에 4시간씩 병원 인공신장실에서 한다(아래 사진).

투석장면 EBS건강...jpg


복막투석은 복강 내 삽입된 투석관을 통하여 투석액을 주입하여 하루에 4번, 한번에 30분간 집에서 자신이 스스로 하는 손투석이 있고, 자면서 9시간 켜놓고 하는 기계투석이 있는데 어느 쪽이나 삶의 질이 현저히 떨어지는 걸 피할 수는 없다 (아래 그림).


복막투석.jpg


말기신부전의 가장 이상적인 치료 방법은 '신장이식' 수술이지만, 환자당 대기 기간이 평균 10년에 달할 정도로 장기 공여자가 부족하기에 대부분의 환자는 투석치료를 시작하게 된다 [16].


콩팥은 기능의 70-80% 이상 망가질 때까지 뚜렷한 증상이 없는 경우가 많은 ‘침묵의 장기’라 초기 발견은 쉽지 않고, 증상이 나타나서 병원을 찾을 때쯤이면 이미 치료가 어려워지는 수도 많아 당뇨, 고혈압 등 만성질환자들은 평소 콩팥 기능에 관심을 두어야 한다. 왜냐면 빨리 이상을 발견할수록 병의 진행을 느리게 하거나 병 자체를 치료하여, 투석이나 신장이식이 필요한 말기신부전으로 가는 걸 방지할 수 있기 때문이다.




신장은 왜 망가질까?


CKD 원인의 대부분은 당뇨병과 고혈압이고, 공통된 병리적 출발점은 '사구체 손상'에서 비롯된다 [17].


사구체는 왜 손상될까?


콩팥에서 피를 걸러 소변으로 배출하는 노폐물의 주요 성분은 '요소(urea)'다. 혈액검사에서 기본적으로 들어가 있는 'BUN(blood urea nitrogen, 혈액요소질소)' 항목이 바로 그것이다. (*BUN수치는 다양한 요인에 의해 변하므로, 신장기능의 정확한 평가를 위해서는 크레아티닌 수치를 반드시 확인해야 한다.)


요소는 왜 생길까?


우리가 먹는 단백질은 아미노산으로 분해되어 새로운 단백질 합성에 이용되거나, 간혹 에너지원으로 쓰이기도 한다. 대부분의 아미노산은 질소(N)를 포함하고 있고, 분해 과정에서 아미노기(-NH₂)가 떨어져 나오면서 '암모니아(NH₃)'가 생긴다. 지린내를 풍기는 '암모니아'는 지용성이라 혈액-뇌 장벽을 쉽게 통과하고 뇌세포에 축적되면 간성 혼수(hepatic encephalopathy)를 일으키는 강한 독성 물질이다. 이것을 방지하기 위해 간에서 암모니아를 독성이 낮고 수용성인 '요소'로 변환(urea cycle) 시킨 후 소변을 통해 밖으로 배출한다 [18].


단백질은 탄수화물이나 지방과는 달리 나중에 사용하기 위해 우리 몸에 저장할 방법이 없기에, 그날 쓰고 남은 단백질은 그날 분해해서 체외로 배출해야 한다.


단백질을 많이 섭취하면 단백질 분해산물인 요소, 요산, 황산 등 산성 노폐물이 증가하여 체내 산성 부하가 증가한다. 이 노폐물들을 피에서 걸러내고 소변으로 배출하는 일을 콩팥이 한다. 단백질 산성 노폐물을 쉽게 말하면 공장에서 나온 '폐수'나 마찬가지다. 폐수가 늘어나면 하수처리장이 해야 할 일이 많아져 과부하가 걸리듯, 단백질을 많이 먹으면 콩팥이 처리해야 할 '폐수' 양이 늘어나서 과부하가 걸려 콩팥 기능이 서서히 망가진다.


따라서, 단백질을 많이 먹는 것은 콩팥에 매우 해롭다.


장기간의 고단백 섭취는 콩팥을 상하게 한다. 특히 요즘 유행하는 저탄고지 식단은 단백질이 너무 많아 주의를 요한다 (아래방송) [19].

CKD환자KBS생로병사..jpg



고단백 식단은 사구체 내부 압력 증가로 '사구체 과여과(renal hyperfiltration)' 현상이 발생한다. 이것이 오래 지속되면 사구체가 딱딱해지는 사구체경화증(glomerulosclerosis)이 생기면서 콩팥이 점점 망가진다. 자세한 내용은 괄호 속 엷은 글씨로 표기했으니 일반인 분들은 다음 단락으로 넘어가셔도 된다. (*고단백 식사는 글루카곤과 IGF-1의 분비를 촉진하여 사구체로 들어가는 동맥(afferent arteriole)의 확장을 유발하고, RAAS(Renin-Angiotensin-Aldosterone System, 혈압이 떨어지는 걸 방지하는 장치)의 활성화로 사구체에서 나가는 동맥(efferent arteriole)은 수축시킨다. 그 결과, 사구체 내부의 압력 증가로 '사구체 과여과(renal hyperfiltration)' 현상이 발생하고 단백질이 빠져나가는 '단백뇨'가 생긴다. 이것이 오래 지속되면 사구체가 딱딱해지는 사구체경화증이 생기며 CKD 진행 속도가 빨라진다. 반면 저단백 식단은 이런 현상이 없어 사구체를 보호하기에 CKD 진행 속도를 늦춘다.) (아래그림) [20].


hyperfiltration그림굿,Otoda2014.....jpg T Otoda, et al. Current Diabetes Reports 2014


한국에서 정상 신기능을 가진 성인 9천2백명을 대상으로 13년간 추적 관찰한 연구에 의하면, 단백질을 많이 먹는 군(1.7g/kg/day)은 적게 먹는 군(0.6g/kg/day)에 비해 '사구체 과여과' 발생률이 3.48배 높았고, 급격한 사구체 기능 감소(연간 eGFR 감소율 ≥3mL/min/1.73m²) 위험이 32% 증가했다 [21].


고단백 식단은 신장 기능 저하와 밀접한 관련이 있으므로, 콩팥병 환자는 단백질 섭취를 줄여야 한다.


어느 정도로 줄여야 할까?


가장 최신 지침인 2020년 미국신장재단의 KDOQI(Kidney Disease Outcomes Quality Initiative)에서 발표한 가이드라인에는 "투석 전 환자에겐 체중 kg당 0.55~0.60g의 저단백식을 권장하고, 당뇨병이 있는 경우에는 조금 더 여유 있게 0.6~0.8g 정도를 권장한다"고 나와있다(아래 내용) [22].

정상인0.6도 가능하다...jpg KDOQI Clinical Practice Guideline for Nutrition in CKD: 2020 Update


프랑스에서 아직 투석을 하지 않는 CKD 환자 1594명을 약 5.6년간 추적 조사 중 발생한 투석 환자(319명)와 사망자(189명)를 분석한 결과, 단백질 섭취량을 하루 0.1g/kg 씩 줄일수록 투석 확률 5% 감소, 사망확률 9%씩 추가로 감소했다. 즉, 단백질 섭취량이 적으면 적을수록 콩팥 기능은 더 잘 유지되었다 (*아래 도표 -> 통상적인 단백질 섭취량인 1.1~1.2g/kg/day 보다 적게 섭취할수록 효과는 좋았다) [23].

M Metzger, et al. Kidney international reports 2018


저단백 식단은 콩팥병 진행을 지연시킨다.


미국 UCLA 연구진들이 단백질 섭취량에 따른 CKD 환자들의 예후에 대한 논문 16개를 메타분석한 결과, 저단백 식단(0.8 g/kg/day 미만)이 고단백 식단(0.8 g/kg/day 이상)에 비해 합병증 발생 및 말기신부전으로 진행될 확률이 더 낮아, 안전하고 효과적인 방법이라 했다 [24].


고단백 식단인 '육식'은 콩팥 기능을 떨어뜨린다.


우리 몸 혈액은 산성일까? 중성일까? 알칼리성일까?


사람 혈액 pH는 7.35-7.45로 약알칼리성이다.


혈액 pH가 정상범위에서 벗어나면 의식소실, 경련 등 중대한 문제가 발생하기에 인체는 '항상성(homeostasis)'을 유지하는 정교한 장치인 폐와 콩팥을 이용해 pH를 24시간 일정하게 유지한다. 즉 사람은 알칼리성을 유지하려는 본성이 있다.


'잠재적 신장 산 부하량(PRAL, potential renal acid load)'은 음식을 섭취한 후 신체에서 생성되는 산을 측정한 것으로, 섭취하기 전 음식 산도인 pH와는 다른 개념이다 [25]. 예를 들어 레몬은 신맛이 강하고 pH가 2.6으로 산성이다. 하지만 레몬을 섭취하면 대사 과정에서 알칼리성 미네랄이 많이 남아 PRAL 수치가 음수인 -2.3으로 알칼리성이 된다 [26,27].


육식인 고기·생선·우유·계란은 단백질, 인 등 산을 형성하는 영양소가 많기에 산 부하 식품(acid-inducing foods)이고, 과일·채소는 칼륨, 마그네슘, 칼슘 등 알칼리를 형성하는 미네랄이 많기에 염기 부하 식품(base-inducing foods)이다. 대표적인 식품들의 PRAL 수치는 아래 도표와 같다 (*붉은색은 산성, 초록색은 알칼리성을 나타낸다) [28].

PRAL table.jpg KE Adair, et al. Nutrients 2020


식단 종류에 따른 산 부하 도표는 아래와 같다. '저탄고지'와 '서구식 식단'은 강한 산성 식단이다 [29].

PRAL...jpg A Vincent-Johnson, et al. Seminars in Nephrology 2023


장기간 산 부하 식품을 섭취하면 인체의 pH는 산성으로 기울어져 대사산증(metabolic acidosis)이 유발되고, 여러가지 복잡한 기전을 통해 세뇨관이 손상되고 결국 콩팥 기능이 떨어진다 (아래도표) [30].

대사산증신장손상기전.jpg W Chen. BMC nephrology 2014


미국 질병관리청(CDC) 주관으로 전국 건강 및 영양 조사(National Health and Nutrition Examination Survey)에 참여한 성인 약 1만2천명을 대상으로 식사 종류와 CKD 발병과의 관계를 조사한 결과, 육식 위주인 식단일수록 신장 산 부하(renal acid load)를 증가시켜 CKD 환자 발생이 더 많이 증가했다(*아래도표 -> 소변으로 배출되는 산의 양(net acid excretion)이 가장 많은 최상급 5분위(Q5) 사람들의 CKD 유병률이 가장 높았다) [31].


T Banerjee, et al. BMC nephrology 2014


이 연구의 저자들은 단백질이 콩팥병에 미치는 영향을 결정하는 것은 단백질의 양보다는 질(즉, 산 생성을 유도하는지 아니면 염기 생성을 유도하는지)이라고 했다. 동물성 식품이 많은 서구식 식단은 산성 전구물질이 많아 CKD 발병 위험을 높이고, 알칼리성 미네랄이 풍부한 과일·채소를 섭취하면 CKD 발병 위험을 낮춘다.


동물성 단백질과 식물성 단백질이 콩팥에 미치는 부담은 다르다.


아미노산 중 황(S)을 함유한 것(메티오닌, 시스테인)은 분해될 때 황이 산화되면서 황산(H₂SO₄) 같은 강한 산성 노폐물이 추가로 발생한다. 동물성 단백질은 황 아미노산 함량이 높아 산성 부하 증가로 처리하기 힘든 '독한 폐수'가 되어 콩팥에 부담이 많다. 반면, 식물성 단백질은 황 아미노산 함량이 적어 산성 부하가 낮고, 식물에 포함된 많은 알칼리성 미네랄이나 항산화 물질로 산을 중화시키기에 '순한 폐수'가 되어 콩팥에 부담이 적다 (아래 논문) [32].

동식물단백질신장손상..jpg A Odermatt, et al. American Journal of Physiology-Renal Physiology 2011


단백질은 식물성 단백질 위주로 섭취하는 것이 좋다.


하버드 대학의 간호사 건강 연구(30~55세의 간호사 약 12만명, 1976년 시작)에서 발견한 콩팥 기능을 떨어뜨리는 3가지 위험 요소는 동물성 단백질, 동물성 지방, 콜레스테롤이었다 [33].


이 3가지 요소는 전부 동물성 식품에서 온다. 이유는 명확하다. 콩팥은 미세 혈관 덩어리로 혈액 순환이 잘되어야 사구체 기능이 유지되는데, 혈관이 좁아지는 죽상동맥경화증을 야기하는 동물성 식품은 콩팥에도 해로울 수밖에 없다. (*죽상동맥경화증 상세 설명 -> https://brunch.co.kr/@mhsong21/33 )


동물성 식품은 CKD 환자 예후에도 영향을 미친다. 성인 CKD 환자 1,486명을 14년 추시 중 발생한 311명(21%)의 말기신부전 환자 식습관을 조사한 결과 육류(붉은 고기, 가공육, 가금류, 생선)를 많이 섭취하는 분은 적게 섭취하는 분에 비해 말기신부전 위험이 3배 더 높았다. 반면 채식(과일, 채소, 콩, 견과류) 위주의 식습관을 가진 분은 말기신부전으로의 진행이 느렸다 [34].


최근(2024년) 미국 UCLA 대학 연구자들이 발표한 논문에 의하면 콩팥병 환자에게 '채식'은 혈압, 혈당, 지질, 과체중이 개선되어 당뇨, 고혈압, 심장병, 조기 사망과 같은 합병증 위험이 낮아져 CKD 관리에 유리했다. 아직 투석을 하지 않는 CKD 환자를 위해 고안된 식단에는 단백질 섭취량을 0.6~0.8g/kg/day로 하고 단백질은 식물성 식품에서 주로 섭취하는 '식물성 저단백 식단(PLADO, Plant-Dominant Low-Protein Diet)'를 추천했다 (아래도표) [35].

Y Narasaki, et al. Nutrients 2024


고단백 식단인 '육식'에 비해 저단백 식단인 '채식'은 일반적으로 건강에 좋은 식물성 식품(통곡물, 견과류, 과일, 채소)과 영양소(식이 섬유, 불포화 지방산, 엽산, 마그네슘, 비타민 C, 비타민 E, 카로티노이드, 파이토케미컬)가 더 많이 포함되어 있다 (아래그림) [35].

Y Narasaki, et al. Nutrients 2024


동물성 단백질은 산성 환경, 염증, 사구체 과여과를 촉진하여 신장에 해롭지만, 식물성 단백질은 알칼리성 환경, 항염증, 사구체 정상 여과로 '신장 보호 효과'를 가질 수 있기에 채식은 콩팥병 발생을 억제하고, CKD 환자에겐 투석 시작을 지연시킬 수 있다 (아래그림).


Fig 2...jpg Y Narasaki, et al. Nutrients 2024


콩팥병 환자는 채식 위주의 식사를 하는 게 좋다.




채식을 권하면, 사람들은 일단 "단백질 부족"으로 인한 영양 부족(malnutrition)을 걱정한다.


하지만 채식은 단백질이나 영양이 부족한 식단이 아니다.


예를 들어, 현미밥 한 공기 + 두부 반모 + 된장국 + 나물 반찬 한 접시로 한끼 식사를 할 때 단백질 섭취량은 아래 표와 같다 [36,37].

현미밥식사단백질양.jpg

*출처: 농촌진흥청 국립식량과학원 식품성분표 (*된장국은 Fatsecret)


수치를 모두 더하면 약 32g으로, 채식 한끼만으로도 하루 단백질 권장량(50~60g)의 절반을 쉽게 채운다. (* 단백질 권장량 RDA = 0.8g/kg/day -> https://brunch.co.kr/@mhsong21/18 )


참고로, 더 많은 단백질 섭취를 원하시는 분은 현미밥에 콩을 조금 섞은 현미콩밥(한공기당 단백질 11.6g *출처 Fatsecret)이나 견과류를 추가로 조금 더 드시면 된다 (*식품 100g 당 단백질 함량 -> 대두 36.2g, 땅콩 28.5g, 아몬드 23.5g, 소고기 등심 15.6g ). 소고기보다 콩이나 견과류의 단백질 함량이 훨씬 더 높다.


일반인뿐만 아니라 CKD 환자에서도 '혈청 알부민(serum albumin)'은 영양 상태의 지표로 사용된다.


채식하면 영양이 부족해질 거라는 걱정에도 불구하고, 투석하기 전 CKD 환자나 투석 중인 CKD 환자 모두에서 동물성 단백질 섭취군과 식물성 단백질 섭취군의 '혈청 알부민' 수치에는 차이가 없었다 [38,39].


저단백 식단군(0.55-0.9g/kg/day)과 고단백 식단군( (0.8-1.3g/kg/day)을 비교해도 '혈청 알부민' 수치에는 차이가 없었다 [40,41].


즉, 일반적인 우려와는 달리 '채식' 또는 '저단백 식단'으로도 단백질은 충분히 공급되며 영양 부족은 일어나지 않는다.




필자의 환자 중에도 CKD 환자들이 꽤 많이 있다. 그들에게 채식을 권유하면 첫 반응이 "채소는 칼륨(포타슘)이 많아 피해야 해요. 먹더라도 생채소는 안되고 반드시 데치거나 삶아 먹어야 합니다"라고 말한다. 그렇게 교육받았기 때문이다.


CKD 환자에게 '칼륨'은 언제나 긴장되는 단어다. 콩팥이 손상되면 소변으로 칼륨을 배출하는 능력이 떨어지고, 혈중 칼륨 수치가 올라가면 근육이나 심장에 심각한 문제가 생길 수 있다. 그래서 오랫동안 CKD 식이 지침은 “바나나, 시금치, 토마토, 감자 등 고칼륨 식품을 피하라”고 강조해 왔다. 즉, '식물성 식품 = 고칼륨혈증'이란 단순한 등식이 은연중에 성립된 것이다.


콩팥병 치료에 가장 큰 딜레마는 '칼륨'이다.


왜냐면 전통적으로 '건강한 식품'이라 알려진 과일·채소에 칼륨이 많이 들어있기 때문이다.


칼륨은 우리 몸에 해로운 물질인가?


아니다. 칼륨은 나트륨과 함께 우리 몸에 반드시 필요한 미네랄로 세포의 신진대사, 체내 수분조절, 신경 자극 전달, 심장 및 근육의 수축과 이완, 에너지 대사, 산-염기 균형 등 우리 몸 기능에 관여 안하는 곳을 찾기 힘들 정도로 생명에 필수적인 물질이다.


칼륨은 98%가 세포 안(주로 근육세포)에 있고, 2%만 세포 밖(혈액·세포외액)에 있다. 혈중 칼륨은 전체 칼륨의 극히 일부지만, '신경 세포'와 '근육 세포' 기능에 직접적인 영향을 미친다. 칼륨의 균형은 섭취량(소장), 배설량(콩팥), 그리고 세포내액-세포외액 이동(호르몬)의 상호작용으로 유지된다. 식물성 식품에 풍부한 칼륨은 섭취 후 인체에서 활용한 다음, 남은 양의 90%는 소변으로, 10%는 대변으로 배출되며 체내 농도를 일정하게 유지한다 [42].


콩팥이 건강한 사람은 초과 섭취된 칼륨을 소변으로 쉽게 배출하지만, 콩팥 기능이 떨어진 사람은 칼륨 배출이 어려워 혈중 칼륨 농도가 올라간다.


'고칼륨혈증'이 되면 신경과 근육 세포의 기능 저하로, 팔다리의 감각 이상이나 근육에 힘이 빠지는 무력감이 나타난다. 특히 보행 중 하지 근육에 힘이 빠져 넘어지면 골절이 생길 수도 있기에, 투석 환자들은 다리 힘이 빠지는 느낌이 들면 그자리에 주저앉아 도움을 요청하라고 배운다. 더 큰 문제는 하나의 근육 주머니인 심장이다. 심장에 힘이 빠지면 심장 박동이 불규칙해지는 부정맥이 나타나고, 심한 경우엔 실신하거나 돌연사(심장마비)로 사망할 수도 있다 [43].


따라서 CKD 환자들은 칼륨 관리에 대단한 관심을 가져 칼륨이 많이 든 음식을 철저히 배제한다. 칼륨이 많이 든 대표적인 식품이 채소와 과일이라 칼륨 수치를 올리지 않기 위해 생채소는 먹지 않고, 채소의 껍질을 벗긴 후 잘게 썰어서 물에 2시간 이상 담가두거나, 물에 삶아 칼륨이 어느정도 빠지게 한 후 먹는다. 과일도 조금만 먹어야 한다.


하지만 최근 연구들은 '식물성 식품 = 고칼륨혈증'이라는 단순한 등식에 의문을 제기한다. 식물성 식단이 오히려 콩팥 건강을 지키면서도 칼륨 수치를 안정적으로 유지할 수 있다는 근거가 늘어났기 때문이다.


식물성 칼륨은 몸에 다르게 흡수된다.


같은 양의 칼륨이라도, 그 흡수율은 음식의 형태에 따라 크게 달라진다.


동물과 식물의 세포 구조는 다르다.


칼륨은 세포 안에 있는 영양소다. 동물 세포를 둘러싼 '세포막(cell membrane)'은 단백질과 지방으로 구성되어 있어 소화가 잘되어 칼륨이 거의 다 흡수되는 반면, 식물 세포를 둘러싼 '세포벽(cell wall)'은 소화가 잘 안 되는 '섬유질'로 구성되어 있어 소화가 잘 안되어 칼륨 흡수율이 떨어진다 (아래 그림) [44].

cell wall.....jpg


때문에 장에서 흡수되지 못한 칼륨의 상당 부분은 섬유질과 함께 그대로 대변으로 배출된다. CKD 환자에서는 대장이 칼륨 배설의 중요한 통로다.


칼륨은 혈압을 낮추는 효과가 있어, 고혈압 환자들에겐 전통적으로 과일·채소 등 칼륨이 많이 든 식품을 권장해 왔다 [45].


고혈압 환자를 위한 특별 식단인 DASH(Dietary Approaches to Stop Hypertension) 연구에서 과일·채소의 칼륨 흡수율은 50-60% 수준에 불과했다 [46]. 반면 동물성 식품의 칼륨 흡수율은 90%, 가공 식품 첨가물로 들어간 칼륨은 거의 100% 흡수되었다 [47].


식물의 칼륨은 대부분 유기 칼륨염(organic potassium salts) 형태로 존재하고, 체내로 흡수되면 알칼리 부하(alkaline load)를 형성한다. 알칼리 환경은 혈중 수소이온을 줄이고, 그 결과 세포 안으로 칼륨이 이동해 혈중 칼륨 농도를 낮추는 방향으로 작용한다. 반면 육류나 가공식품의 무기 칼륨염(inorganic potassium salts)은 산성 부하(acid load)를 형성하기에, 세포 밖으로 칼륨을 이동시켜 혈중 칼륨 농도를 높인다 [48].


이것이 바로 식물성 칼륨이 고칼륨혈증을 잘 일으키지 않는 생리학적 이유다.


CKD 환자에게 식물성 식단 허용 시 가장 우려되는 것은 '고칼륨혈증'이지만, 실제로 그런 일은 잘 일어나지 않는다 [49]. 투석 전인 CKD 환자 95명과 투석을 하는 CKD 환자 117명 모두에서, 식품을 통해 섭취한 칼륨의 섭취량은 '고칼륨혈증'과 별 관련이 없었다 [50].


약 8천명의 혈액투석 환자를 대상으로 3년간 추적 관찰한 다국적 코호트 연구에서 과일·채소의 섭취량이 낮음(0~5회/주), 중간(5.5~10회/주), 높음(10회/주 이상)에 따른 혈중 칼륨 수치의 차이가 없었다. 더 중요한 것은 과일·채소를 많이 섭취할수록 전체 사망률과 비심혈관 사망률이 낮았다 [51].


2022년 미국 임상영양학저널에 발표된 국민건강 및 영양조사(NHANES, 1999–2014)에 의하면, 신장 기능이 '정상'인 참가자 약 28만명을 약 7.8년 관찰한 결과, 식물성 식단의 고칼륨 섭취군과 비교했을 때 동물성 식단의 저칼륨 섭취군의 사망 위험이 38% 더 높았다. 신장 기능이 '손상'된 참가자 약 2만명을 약 5.8년 관찰한 결과, 식물성 식단의 고칼륨 섭취군과 비교했을 때 동물성 식단의 저칼륨 섭취군의 사망 위험이 34% 더 높았다. 동물성 식단에 든 고단백질, 저섬유질, 저항산화제 등이 사망률 증가의 원인이었다. 신장 기능 손상 유무에 관계없이 식물성 식품을 통한 칼륨 섭취량이 높을수록 생존율이 높았다 [52].


사구체여과율(eGFR)을 기반으로 한 CKD 5단계 분류 체계를 확립한 미국신장재단의 진료지침(KDOQI)을 기반으로, 단백뇨를 포함시켜 위험 heat-map 형태로 제안한 'KDIGO 국제진료지침'은 현재 임상에서 많이 쓰이고 있다 (아래 도표) [53].

KDIGO2012.jpg A Levin, et al. Kidney international supplements 2013


이 진료지침에 기여한 연구자들이 2020년, CKD 환자의 칼륨 관리에 대한 논란을 해소하기 위해 발표한 자료에는 다음과 같은 내용이 들어있다 [54].


"전통적으로 CKD 환자들은 고칼륨혈증 예방을 위해 칼륨이 풍부한 식물성식품 섭취를 피하도록 권고받지만 현재까지 나온 연구에서는 식이 칼륨 섭취량과 혈청 칼륨 농도 간의 연관성은 약하기에 기존의 관행들이 과연 옳은가에 대한 의문이 있다. CKD 환자의 식이 칼륨 제한에 대한 현재 권장 사항을 뒷받침하는 직접적인 증거는 부족하다. 고칼륨혈증을 예방하기 위한 일반적인 전략으로 식이 칼륨 제한이 유효한 전략이라는 점은 인정하지만, 칼륨이 풍부한 식단(채소·과일)으로 얻을 수 있는 건강상 유익한 효과를 박탈하기에, CKD 환자의 식이 칼륨 조언을 명확히 하기 위한 연구가 필요하다" (아래 표).

CM Clase, et al. Kidney international 2020


"이러한 연구가 없는 현 상황에서 임상적으로 필요하다고 판단될 땐, 전반적으로 건강한 식사 지수(healthy eatig index [55])를 가진 지중해식 식단, 고혈압을 위한 식단(DASH) 또는 '채식'과 같은 건강한 식단을 권할 수 있다"고 발표했다.


미국 뉴욕대학 신장내과 쉬밤 조시(Shivam Joshi) 교수는 "식물성 식품은 혈중 칼륨 수치를 증가시키지 않는 것으로 보이며, 오히려 사망률 감소 등 건강상의 이점을 제공한다. 식물성 식품에서 고칼륨혈증이 나타나지 않는 것은 섬유질 함량이 높고, 알칼리화 효과가 있으며, 칼륨의 생체이용률이 낮기 때문이다. 또한 식물성 식품 섭취는 CKD 환자 건강에 다양한 이점을 제공하기에 만약 CKD 환자를 위한 새로운 식단이 나온다면, 식물성 식품의 칼륨 제한을 없애는 쪽으로 가야 한다"라고 주장했다 [56].


결론적으로 식물성식품은 고칼륨혈증 위험을 낮추고, 동물성식품은 고칼륨혈증 위험을 높이기에, 최근에는 콩팥병 환자에게 좀 더 자유롭게 '식물성 식단'을 사용하자는 패러다임 쪽으로 기울어지고 있다 (아래 그림) [57].


Fig4.jpg Y Narasaki, et al. Nutrients 2024


CKD 환자들에게 칼륨을 배출시키는 칼륨 결합제(PB, Potassium Binder)를 사용하는 경우도 있지만, 이 약들은 위장 장애 부작용이 많고, 장에서 칼륨을 흡착해서 배출하기에 변비의 고통이 심해 환자 순응도가 좋지는 않다 [58].


잘 설계된 채식은 CKD 환자에서 고칼륨혈증 위험을 높이지 않는다. 오히려 삶의 질을 향상시키고, 사구체 '과여과'를 줄여 CKD 진행 지연, 혈압 및 혈당 개선, 사망률 감소 효과까지 얻을 수가 있다. CKD 환자에게 “채식은 위험하다”가 아니라 “채식이야말로 콩팥을 보호한다”로 바뀌고 있다.


주의해야 할 점은 과일·채소 섭취시 주스나 스무디처럼 기계로 갈아서 마시면 흡수 속도가 빨라져 칼륨 수치가 더 빠르게 올라갈 수 있으니 피해야 한다. 신장 기능이 많이 떨어져 있거나, 이미 고칼륨혈증을 반복하는 환자에게 채식을 시도할 경우에는 주기적인 혈중 칼륨 모니터링이 필수적이다. 그러나 대부분의 3~4기 환자들은 비교적 안전하게 채식 기반 식사를 즐길 수 있다.


섬세한 관심과 조정이 필요한 부분이다.




칼륨 다음으로 신경 쓰이는 영양소는 인(phosphorus)이다.


“콩팥이 나쁘면 현미나 콩은 피해야 합니다.”


CKD 환자들이 병원에서 자주 듣는 말이다. 이유는 간단하다. 이런 식품에는 인이 많이 들어있기 때문이다. 인은 우리 몸의 기둥같이 중요한 영양소지만, 콩팥 기능이 떨어져 인 배출이 안되어 혈액 속에 인이 쌓이면 여러가지 문제가 생길 수 있다.


인은 어떤 역할을 하나?


인은 뼈와 치아를 구성하고 체내 에너지 대사에도 관여하기에, 인 없이는 건강한 뼈와 치아를 유지할 수 없고, 몸이 힘을 내기도 어려워진다. 인이 들어간 대표적인 물질로는 뼈를 이루는 인산염(인산칼슘), 에너지가 되는 ATP, 유전자 DNA, 인지질(세포막 성분) 등이다. 따라서 인은 생명 유지에 핵심적인 물질로 지구상의 모든 생명체에 들어있다 [59].


식품에서 섭취된 인은 체내 사용 후 남은 양의 95%는 소변을 통해 배출되고, 일부분만 대변으로 빠져나간다. 따라서 콩팥 기능이 떨어져 인 배출이 잘 안되면 혈중 인 농도가 올라간다 [60].


고인산혈증(hyperphosphatemia)이 되면 우리 몸은 음이온인 인산(PO₄³⁻)의 농도를 일정하게 유지하기 위해 양이온인 '칼슘(Ca²⁺)'을 결합시켜 인산칼슘(calcium phosphate)을 만들어 인의 농도를 낮춘다. 이 과정에서 생긴 인산칼슘은 물에 잘 녹지 않고 체내 각종 부위에 축적되어 전이성 석회화(metastatic calcification)라는 현상이 발생하는데 피부, 혈관, 근육, 심장 등 연부조직이 ‘뼈처럼’ 석회화되고 심하면 괴사되기도(calciphylaxis) 한다 (아래 사진) [61].

calcyphylaxis.jpg https://kidneycareuk.org/kidney-disease-information/kidney-conditions/calciphylaxis/



인 수치가 높으면 뼈가 녹는다.


혈중 인 농도가 증가되고 그에 따라 혈중 칼슘치가 떨어지면 저칼슘혈증(hypocalcemia)이 된다. 칼슘은 신경 신호를 전달하여 근육이나 심장이 수축과 이완 운동을 할 수 있도록 하는데, 칼슘이 부족해지면 생명 유지에 심각한 장애를 초래하기에, 인체는 부갑상선 호르몬(PTH) 분비를 늘려 뼛속 칼슘을 뽑아 혈중 칼슘 농도를 올린다. 이런 상태가 지속되어 뼈가 약해지는 현상을 '신성골이영양증(renal osteodystrophy)'이라 하고, 혈액과 뼈의 미네랄 균형이 함께 깨지는 전체 과정을 '만성콩팥병-미네랄뼈질환(CKD-MBD,mineral bone disorder)'이라 한다 (아래 그림) [62].

J Beto, et al. Journal of Renal Nutrition 2019


인 수치가 높으면 혈관이 나빠진다.

고인산혈증은 혈관 석회화(vascular calcification)를 야기하는데, 혈관이 뻣뻣해지면서 고혈압이 생기고, 죽상동맥경화증과 동반되면 혈관이 좁아진다. 따라서 심근경색이나 뇌경색 위험이 증가한다 (아래그림) [63]. 투석하는 환자들의 가장 많은 사망 원인이 심혈관계 합병증이다. CKD 3-4기인 경우 심혈관 문제로 인한 사망률이 일반인에 비해 2-3배 증가한다 [64].

vascular calcification...jpg C Capusa, et al. Chronic Kidney Dis. Pathophysiol. Clin. Improv, 2017


고인산혈증은 콩팥 기능을 저해하여 CKD 예후에 악영향을 끼친다 [65].


따라서 CKD 환자에겐 '저인산 식단'을 권한다. 하지만 이것을 실행하기는 쉽지 않다. 왜냐면 인은 동물이건 식물이건 모든 세포의 세포막(인지질)과 핵산(DNA,RNA)의 구성 성분이라 동물성이건 식물성이건 모든 식품에는 인이 들어 있기 때문이다.


인이 우리 몸에 흡수되는 양은 식품의 형태에 따라 다르다.


동물성 식품에 많이 든 인은 인지질(phospholipid) 형태로 존재해 분해가 쉬워 흡수가 잘 된다. 반면, 식물성 식품에 든 인은 대부분 피틴산(phytate) 형태인데, 인간의 소화기관에는 피틴산을 분해하는 효소(phytase)가 없어 분해가 잘 안되어 식물성 인의 흡수율은 약 20-40% 정도에 불과했다 [66]. (*피틴산 상세 설명 -> https://brunch.co.kr/@mhsong21/58 )


육식이 채식보다 혈중 인 농도를 더 높인다.


미국신장학회 저널에 발표된 한 연구에서, CKD 3기와 4기 환자 중 채식인과 육식인을 대상으로 1주일간 서로의 식단을 바꾸는 교차실험(crossover trial, 두 그룹 모두 인과 단백질 섭취량은 동일하게 유지)을 한 결과, 채식했을 때의 인 혈중 농도가 육식했을 때의 인 혈중 농도보다 유의미하게 낮았다 (아래 도표). 식물성 식품에 든 인의 상당 부분이 인체에 흡수되지 않는 피틴산(phytate) 형태라 대변으로 배설되는 양이 많아지기 때문이다 [67].

diurnal P.jpg SM Moe, et al. Clinical Journal of the American Society of Nephrology 2011



진짜 위험한 건 가공식품의 인이다.


요즘 우리의 식탁에는 ‘숨은 인’이 넘쳐난다. 햄, 소시지, 어묵, 치즈, 인스턴트식품, 탄산음료 등 가공식품에는 무기 인산염(inorganic phosphate)이라는 첨가물이 들어 있다. 이 첨가물은 음식의 맛을 살리고 보존성을 높이지만 콩팥에는 해롭다. 이런 형태의 인은 화학적으로 이미 분해된 상태라, 흡수율이 90% 이상이다 (아래도표) [66,68].

SD Rose, et al. Urology Nephrology 2019


같은 양의 인이라도 가공식품에서 오는 인은 거의 전부 몸속에 흡수되어 인 농도를 빠르게 높인다.


많은 CKD 환자들이 식단에서 콩, 견과, 곡류를 빼면 인 조절이 잘될 거라고 믿는다. 하지만 이런 제한은 오히려 단백질 부족과 영양실조를 부를 수 있다. 정작 인을 과잉으로 올리는 주범은 인산염 첨가물이 들어간 가공식품이다. 따라서 ‘곡류 제한’이 아니라 ‘가공식품 제한’ 이어야 한다.


단백질이 많은 식품에는 인도 많이 포함되어 있기에 '동물성 식품'도 제한하는 게 좋다. 단백질은 콩, 두부, 통곡물 등 식물성 단백질 위주의 식단이 유리하다.


현미를 먹어도 될까?


“현미에는 인이 많으니 백미로 바꾸라”는 기존 조언은 어떻게 봐야 할까? 백미는 정제 과정에서 대부분의 인뿐만 아니라 섬유질, 미네랄, 비타민도 함께 사라진다. 반대로 현미는 인이 조금 더 많지만, 그 인이 대부분 피트산 형태라 흡수율이 낮아 고인산혈증에 미치는 영향이 가공식품이나 동물성 식품보다 적다. 게다가 현미에는 섬유질이 풍부해 혈당 조절, 변비 개선, 장내 독소 배출 등 부가적인 이점이 많다. 따라서 콩팥이 나쁘다고 현미를 무조건 피할 필요는 없다.


물론 담당의와 긴밀한 소통 및 주기적인 혈액 검사는 필수적이다.




다음은 소금이다.


소금 섭취와 고혈압의 관계는 비교적 잘 알려져 있어 흔히들 음식 "짜게 먹지 말라"고 한다. 소금 섭취를 많이하면 몸은 삼투압 균형을 맞추기 위해 수분을 더 많이 보유하게 되어 체액의 총량이 증가한다. 그에 따라 혈장량(plasma volume)도 증가하여 혈압이 상승한다 [69.70].


소금의 주성분(97-99%)은 염화나트륨으로 양이온인 나트륨 원소 한개와 음이온인 염소 원소 한개가 결합하여 중성화된 물질로 나트륨 40%, 염소 60% 비율로 구성되어 있다 [71]. (*참고로 나트륨과 소듐(sodium)은 같은 말이다.)


나트륨의 주요 기능은 수분 균형 조절, 체액 삼투압 유지, 혈압 유지, 근육 수축 및 신경 자극 전달, 산-염기 균형 조절 등으로 생명 유지에 꼭 필요한 성분이지만, 과다 섭취는 고혈압, 뇌졸중 등 다양한 건강 문제를 유발할 수 있어 적정 섭취가 중요하다.


WHO에서는 하루 나트륨 섭취량을 2,000mg 미만으로 권장하며, 이는 소금으로 5g에 해당한다. 찻숟가락 한 스푼 정도의 양이다. 김치나 젓갈 등 소금을 이용한 발효 음식을 즐기는 한국인의 나트륨 1일 섭취량은 WHO 권고량의 거의 2배에 달한다 [72].


나트륨의 과다 섭취는 고혈압뿐만 아니라 콩팥 질환 발생을 증가시킨다 [73].


소금은 사구체 내압(glomerular pressure)을 높여 여과장치를 손상시킨다


나트륨 과다 섭취로 높아진 전신 혈압은 모세혈관 덩어리인 사구체에 더 높은 압력을 전달하게 된다. 이러한 높은 압력은 사구체 여과율을 증가시켜 필요 이상으로 혈액을 빠르게 여과하는 '과여과(hyperfiltration)' 상태를 유발한다. 이는 마치 필터에 과도한 수압이 가해지는 것과 유사한 상황이다. 초기에는 신장이 과여과를 통해 과도한 나트륨과 수분을 처리하려 하지만, 이러한 상태가 지속되면 사구체 세포들이 손상되어 평소에는 빠져나가지 못하던 단백질이 빠져나가면서 '단백뇨'가 발생한다 (아래그림 -> 소금으로 인한 과여과 현상과 단백뇨가 생기는 모식도) [74,75].

Salt.jpg G Rossitto, et al. Cardiovasc Res 2021


빠져나간 단백뇨는 재흡수 과정에서 세뇨관(tubular) 세포에 염증과 섬유화를 야기하여 CKD를 악화시킨다 (*아래그림 설명 -> A. 혈압이 오르면 사구체가 커지면서 과여과 현상이 일어나고, 시간이 지남에 따라 사구체가 경화(딱딱해짐)되면서 크기도 줄고 기능도 사라진다. B. CKD 환자의 콩팥 조직검사에서 동일한 표본에 다양한 크기의 사구체가 동시에 존재한다) [76,77].

Katoika 그림굿~.jpg H Kataoka, et al. Front Med (Lausanne) 2023


음식을 통해 섭취하는 소금의 나트륨은 콩팥을 통해 배설된다. 콩팥 기능이 정상적일 때는 가끔씩 많은 나트륨을 섭취해도 수월하게 배출된다. 그러나 혈압이 높아 콩팥 기능이 망가지면 나트륨 배출 기능도 저하된다. 이렇게 되면 체내에 나트륨이 축적되면서 혈압이 더 상승되는 악순환의 굴레에 빠진다.


따라서 CKD 환자는 음식을 싱겁게 먹어야 한다.


소금이 많이 함유된 음식을 먹어 혈액 속 나트륨 함량이 늘어나면, 우리 몸은 혈액의 나트륨 농도를 낮추기 위해 더 많은 물을 재흡수하려고 한다. 짜게 먹으면 물을 자꾸 들이켜는 것도 이 때문이다. CKD 환자가 음식을 짜게 먹으면 팔다리에 부종이 생기는데, 부종이 있는 부위를 손가락으로 눌렀다가 뗄 때, 눌린 부위가 바로 원상 복귀되지 않고 상당 시간 함몰된 상태로 남아있는 함몰성 부종(Pitting edema)이 나타난다. 손이 부어 주먹이 안 쥐어지고, 발이 부어 신발을 못 신기에 CKD 환자들은 소금을 절대로 먹지 말라고 교육받는다. 목이 말라도 물 섭취를 제한하니 얼음 조각 하나로 갈증을 달래기도 한다.


건강한 사람도 음식을 싱겁게 먹는 게 좋은데, 한국인들은 너무 짜게 먹고 있다.


김치뿐만 아니라 된장, 간장, 고추장 등의 양념에 소금이 많이 들어있다. 특히 국, 찌개, 탕 등의 뜨거운 음식을 주의해야 한다. 차가운 음식은 조금만 소금이 들어가도 짜다고 느끼지만, 뜨거운 음식의 짠맛은 잘 느끼지 못하기 때문이다. 국이나 찌개는 삼가는 게 좋다. 먹더라도 건더기만 먹고 국물은 버려야 한다.


오늘날 일상화된 패스트푸드, 인스턴트식품 등 가공식품에도 나트륨이 다량으로 들어가 있다. 식품의 보존기간을 늘리는 방부제 역할을 하고, 맛을 내는 재료이기도 하기 때문이다. 예를 들어 라면 한개를 국물까지 다 마시면 나트륨이 약 2,000mg으로 WHO 권고량에 도달한다. 여기에 반찬으로 김치를 곁들이면 라면 한끼 식사만으로도 하루 권장량을 쉽게 초과한다 [78].


식습관 개선으로 나트륨 섭취를 줄이면 콩팥이 나빠지는 걸 방지할 수 있다.


소금 섭취 감소가 CKD 환자에게 미치는 영향을 조사한 2021년 코크란 리뷰에 의하면 하루 소금 섭취량을 4.2g 줄이면 수축기 혈압 6.9mmHg, 이완기 혈압 3.9mmHg 감소했고, 알부민뇨가 36% 감소했다 [79].


다양한 식사군에 따른 영양소 섭취를 비교한 연구에 따르면, 채식 식단군의 나트륨 섭취는 잡식군 대비 약 40% 낮았다 (*아래도표 -> vegan:일체의 동물성 식품 제한, vegetarian:우유나 계란은 먹는 채식, semi-vegetarian:육식은 하지만 일주일에 1회를 넘지 않음, pesco-vegetarian:고기는 안 먹으나 생선은 먹는 채식, omnivorous:거의 매일 고기나 생선을 먹는 잡식) [80].


P Clarys, et al. Nutrients 2014


저자들은 각 식사군에 따른 전반적인 식단의 질을 평가한 결과, 비건 식단이 가장 건강한 식단이라고 결론 내렸다.


사람은 소금을 먹어야 하나? 먹지 말아야 하나? 의 논란이 있다. 결론적으로, 사람은 소금 성분인 나트륨과 염소가 필요하지만 소금을 따로 먹을 필요는 없다. 초식동물인 소는 풀만 먹어도 핏속에 소금 성분이 들어있다. 사람도 현미밥, 채소, 과일만 먹고 소금을 먹지 않아도 소금 성분 섭취는 충분하다. 왜냐면 모든 식물에는 세포의 삼투압 조절용으로 소량의 나트륨이 들어 있어 완전 채식을 해도 나트륨 부족은 생기지 않기 때문이다.


몸에 나트륨이 부족해진 것을 저나트륨혈증(Hyponatremia)이라 하는데 뇌세포 안으로 수분이 이동하여 뇌부종이 발생한다. 이는 여러 신경학적인 증상을 일으키는데 두통, 무기력, 혼돈, 의식장애 등이다. 이런 상황은 구토나 설사를 심하게 하여 전해질 손실이 크다던지, 또는 장시간 운동 중 땀을 많이 흘릴 때 물을 너무 많이 마셔 신체의 나트륨 수치를 희석시키는 경우에 일어날 수 있으나, 근본적으로 평소에 나트륨 섭취가 부족해서 생기는 건 아니다.


음식은 싱겁게 먹어야 한다.


영국에서는 정부, 식품업계, 시민단체 등 다양한 주체가 참여하는 '소금 감소 캠페인(Action on Salt)'을 약 30년 전부터 시행하고 있다 (아래포스트).

action on salt...jpg


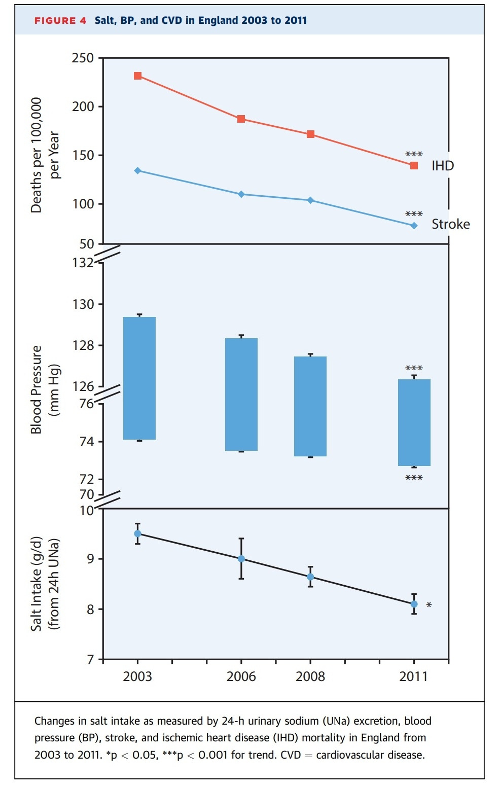
식품업계의 자발적 소금 함량 감축과 대국민 교육·홍보 캠페인으로 소금 섭취량을 2003년 9.5g/day에서 2011년 8.1g/day로 15% 감소시켰다. 이로 인해 인구 수축기 혈압이 2.7mmHg 감소했고 뇌졸중과 허혈성 심장병으로 인한 사망률이 크게 감소했다 (아래도표). 영국국립보건임상연구소(NICE)에서는 장기적인 소금 섭취 목표를 WHO의 5g/day 보다 적은 3g/day로 권장했다 [81].

영국소금실험.jpg FJ He, et al. Journal of the American College of Cardiology 2020


최근 인기 있는 한국 음식의 특징 중 하나는 달콤짭짤한 맛, 이른바 ‘단짠단짠’이다. 사람은 본능적으로 단맛과 짠맛을 좋아한다. 설탕과 소금이다. 둘 다 입에는 즐겁지만 건강에는 위험 요소다. 더 큰 문제는 이 두 가지가 함께할 때다. 일본 교토대학 연구진에 따르면, 단맛은 짠맛에 대한 감각을 둔화시켜 소금 섭취를 더 증가시킨다. 특히 콩팥병 환자에게서는 그 영향이 훨씬 더 크게 나타난다고 하니 주의를 요한다. 단맛을 줄여야 짠맛을 더 잘 인지하여 소금 섭취를 줄일 수 있다 [82].


'단짠단짠' 입은 즐겁지만, 건강에는 해롭다.




콩팥은 한번 망가지면 회복이 어렵다고 알려져 있다. 따라서 현대의학은 혈당과 혈압을 관리하는 약물로 현 상태를 잘 유지하고 병의 진행을 늦추는 것을 최우선 목표로 삼는다 [83].


만성 콩팥병은 치료가 불가능한가?


그렇지 않다.


2019년 영국의학저널(BMJ)에서 채식으로 드라마틱하게 좋아진 한 CKD 환자를 보고했다 [84].


당뇨병, 고혈압, 비만, 고지혈증, 3기 CKD인 69세 남성이 "5년 안에 투석이 필요할 수 있다"는 신장내과 의사의 말에 충격을 받고 돌파구를 찾기 위해 저자(Dr. Campbell)의 병원에 내원했다. 당뇨병은 약 30년 전에 진단되었고 4~5년 전에 인슐린이 필요할 정도로 진행되었다. 인슐린 투여량을 꾸준히 늘리고 식이와 생활 습관 개선에 노력했음에도 불구하고 그의 당뇨병은 겨우 조절되고 있었다(HBA1c 7.3%). 그는 12가지 약물을 복용하고 있었고, 특히 그는 병원에서 시키는 대로 꼬박꼬박 약을 잘 먹고 있음에도 불구하고 그의 만성질환들은 나아질 기미를 보이지 않고 점점 더 악화되어 가는 걸 걱정하고 있었다.


저자는 그에게 엄격한 무가공 자연식물식(Whole-food, plant-based diet)을 권했고 그 구체적인 식품군은 아래표와 같다.

TM Campbell. BMJ Case Reports 2019

환자는 배가 고프면 언제든지, 칼로리나 섭취량을 제한하지 않고 배부르게 충분히 먹도록 교육받았다. 운동은 강제하지 않았다.


채식 식단은 인슐린 민감성에 빠르게 영향을 미치므로, 식단을 시작한 후 매일 환자의 혈당을 평가하고 필요에 따라 인슐린을 추가로 감소시켰다. 4일 만에 인슐린 투여량이 하루 약 210 단위에서 70 단위로 감소했고, 혈당이 빠르게 개선되어 경구 당뇨약 2개 중 1개를 끊었다. 혈압이 계속 떨어져 2개월 후, 혈압약 4개 중 3개를 끊었고 고지혈증약 용량을 절반으로 줄였다. 4.5개월 후 체중이 22kg 감량되었다 (아래 도표).


크레아티닌 수치와 eGFR로 측정한 콩팥 기능은 식이요법 변경 후 2개월경부터 호전을 보이기 시작했고, 4.5개월 후에는 사구체여과율이 45에서 74로 73% 호전되었고, 크레아티닌 수치는 정상 범위에 들어왔다 (아래 그래프).


5개월 후, 인슐린 투여량은 하루 총 46 단위로 줄었다. '인' 수치와 '칼륨' 수치도 정상이 되었다.


환자는 말했다.


처음에는 엄격한 채식으로 먹는 게 힘들어 보였다. 하지만 곧 깨달은 것은 수년 동안 건강에 해롭다고 먹지 않던 음식, 예를 들어 신선하고 잘 익은 과일을 먹으니 낙담보다는 용기를 얻었다. 거의 즉시 기분이 달라지기 시작했고 하룻밤 사이에 몇 년 만에 가장 많은 에너지를 얻은 것 같았다. 하루 만에 인슐린 투여량을 줄여야 했다. 10년 동안 감량하려고 노력해도 안 빠지던 체중이 빠지기 시작했다. 체중이 줄면서 몸이 가벼워지고 다시 몸을 잘 움직일 수 있게 되었다. 매일 걷기를 시작해서 지금은 하루에 약 10km를 걸을 수 있다. 대부분의 약을 끊었고, 33kg을 감량했다. 이 생활 방식의 변화는 인생에서 제가 받은 가장 큰 선물이다. 이 변화로 나는 힘을 얻었고, 이 의사에서 저 의사로 옮겨 다니는 불운한 희생자가 아닌, 내 건강을 책임질 수 있는 사람이 되었다.


"유일하게 아쉬운 점은 이 사실을 좀 더 일찍 알지 못했다는 것이다(My only regret was that I didn’t know about this sooner)".


이 보고서의 저자들은 '채식' 위주의 식단은 신장 기능 자체의 호전뿐만 아니라, 사구체여과율이 60 이하로 떨어진 3기 및 4기 CKD 환자의 심혈관질환으로 인한 조기 사망률을 현저히 줄이는 효과도 있기에 모든 신장병 환자의 식사법으로 권했다.



또 다른 사례로 신장학 세미나(Seminars in nephrology) 저널에 보고된 'Duane Sunwold'라는 환자의 경우도 있다 [85].


그는 44세 때 하지 부종이 생기고 복부, 목, 얼굴로 퍼졌고 쉽게 피곤해져 기운이 없었다. 병원 검사에서 고혈압(198/106 mmHg), 비만(BMI 38) 저알부민혈증(2 g/dL), 크레아티닌 증가(2.0 mg/dL), 단백뇨(13 g/24 hour)로 나왔다. 신장 조직 검사에서 급성 세뇨관 손상을 동반한 미세변화신증후군(Minimal change disease)으로 인한 CKD로 진단되었다(*미세변화신증후군이란 사구체에 큰 변화는 없지만 소변으로 단백질이 빠져나오는 병으로 신증후군(Nephrotic syndrome) 원인의 10-25%를 차지한다. 스테로이드를 3-4개월 사용해서 약 80%는 호전되기도 하지만, 나머지 20%는 회복되지 않는다 [86].) 그는 이뇨제, ACE 억제제 등 총 5가지 항고혈압제와 고용량 스테로이드를 사용했으나 반응이 없어 3개월 후 강력한 면역억제제인 사이클로스포린을 추가했다. 하지만 단백뇨가 지속되었고, 고혈압은 악화되었으며, 이후 6개월 동안 혈청 크레아티닌 수치는 4.2 mg/dL로 증가하며 신장 기능은 더 악화되었다.


환자는 전문 요리사로 짠 음식을 먹은 후 부종이 눈에 띄게 악화되는 걸 발견한 후 의사와 영양사에게 식단 지침을 문의하였다. 동물성 단백질을 식물성 단백질로 바꾸고 하루 단백질 섭취량을 0.8g/kg/d로 제한하고, 나트륨을 하루 2g 미만으로 줄이고, 총 칼로리 섭취량은 1,800-2,000kcal/d 로 줄이라는 제안을 받은 후, 이 조건을 충족할 수 있는 식단인 완전 채식(vegan)을 선택했다. 그리고 규칙적인 수영을 시작했다.


6개월에서 12개월 사이에 체중 27kg 감량, BMI 24로 감소, 크레아티닌 수치 1.2로 감소, 단백뇨 감소, 혈압약 1개로 혈압 조절 가능, 스테로이드는 전면 중단하였고 CKD가 '완치'되는 놀라운 결과를 보였다.


그는 이 사례가 발표된지 10년 뒤 다른 저널에 자신의 경험담을 공유하면서, 동물성 단백질 섭취를 식물성 단백질로 바꾼 '작은 변화' 한 가지가 자신의 삶에 엄청난 변화를 주었고, 지금은 이틀에 한 번씩 5km를 수영하는 강한 체력을 가져 신장병을 앓기 전보다 더 건강하고 행복한 삶을 누리고 있다고 증언했다 (아래 내용) [87].

DS CKD remission.jpg




외국 사례 말고 한국 사례는 없나?


있다.


현대 의학이 약물로 관리하는 고혈압, 당뇨병과 같은 만성질환에 대해 "잘못된 식습관이 원인이며, 음식을 바꾸면 낫는다"는 메시지를 일관되게 전달하며, 한국에서 채식의 선구자적인 역할을 하고 있는 '황성수 힐링스쿨'의 황성수 박사가 본 환자들 중엔 만성콩팥병으로 고생하다 채식으로 바꾼 후 병이 호전된 사례가 "많이 있다". ( # 황성수 힐링스쿨, 병이 깊어지기 전에 와야 하는 곳 -> https://www.youtube.com/watch?v=7g1ims5NXP8&t=257s ) ( # 교통사고로 우연히 알게 된 만성콩팥병 -> https://www.youtube.com/watch?v=-LLa-1GPXU0 ) ( # 현미채식 6개월, 신장기능이 회복된 만성신부전증 환자 -> https://www.youtube.com/watch?v=3i1rkhHUS5Q ) ( # 만성신부전증으로 혈액투석을 준비하던 50대 여성 -> https://www.youtube.com/watch?v=yKTikAZZvl8 ) ( # 협심증에서 고혈압과 당뇨 그리고 만성콩팥병까지 -> https://www.youtube.com/watch?v=FZ_QFJ_lszw ) ( # 만성콩팥병 환자가 알아야 했던 것들 '들어본 적이 없었어요' -> https://www.youtube.com/watch?v=VSlhB3uHPzY ) ( # 미국에서 온 로버트, 만성콩팥병 회복기 -> https://www.youtube.com/watch?v=VbG38tBCuyY ) ( # 만성신부전증이 현미채식으로 치료된 사례가 있습니까? -> https://www.youtube.com/watch?v=vch7Vi2muGo ) 등등..



황박사의 견해는 이렇다.


피 속 노폐물을 거르는 게 신장이며 필터 역할을 하는 사구체는 모세혈관 덩어리다. 피가 더러워지면 서서히 모세혈관이 상하고 사구체가 제 기능을 못하면서 생기는 게 바로 만성콩팥병이다. 따라서 당뇨, 고혈압, 고지혈증 등 "혈관에 문제가 생기는 질병"을 가진 환자들은 만성콩팥병에 잘 걸린다. 원인은 고지방, 고단백질 위주의 식습관이다. 즉 육식이다. 피를 탁하게 만드는 가장 큰 원인이 바로 육식이기 때문이다.


현대의학은 많은 문제를 해결해 주었으나, 모든 문제를 해결하지는 못한다. 예를 들어 당뇨병이나 고혈압의 근본치료는 식습관을 바꾸는 것이다. 식습관을 바꾸지 않고 약으로 관리만 하다가 결국 합병증으로 만성콩팥병이 와도 "어쩔 수가 없다"라고 의사는 말하고, 환자들도 그저 그렇게 받아들인다.


이런 경우에는 다른 길을 찾아봐야 한다.


실망스러운 것은 현대의학으로 단백뇨를 해결하는 방법이 없다. 단백뇨는 그대로 두면 안되고 반드시 해결해야 한다. 만성콩팥병의 본질은 염증이다. 콩팥에 염증이 생기면 단백뇨가 생긴다. 염증을 치료하면 단백뇨가 낫지만 콩팥 염증을 치료하는 약은 없다. 동물성 식품을 먹으면 염증이 악화된다. 현미식물식은 염증을 억제하는 강력한 힘을 갖고 있기에 염증이 완화된다.


만성콩팥병 환자들은 칼륨이나 인 관리에 주의해야 하기에 칼륨·인이 많이 든 식품인 현미·채소·과일을 멀리한다. 하지만 이렇게 하면 칼륨·인 섭취량이 적어 수치는 올라가지 않지만, 이렇게 해선 만성콩팥병이 낫지 않는다.


칼륨·인 섭취를 제한하기보다는 배설이 잘 되도록 노력해야 한다. 배설이 잘 되게 하기 위해선 콩팥 기능 회복을 도와주는 많은 성분들이 들어 있는 현미·채소·과일을 어느정도 충분히 먹어야 한다(*콩, 견과류에는 단백질이 너무 많아 금기). 이 과정에서 칼륨·인 수치가 좀 올라갈 수 있지만, 콩팥 기능이 서서히 회복되면서 칼륨·인 배설량이 점점 늘어나 결국에는 수치가 내려간다. 단 주기적으로 혈액 검사를 해서 칼륨과 인 수치를 확인하는 게 좋다. 필요하면 칼륨이나 인 수치를 내리는 약을 쓰면 된다. 이 문제는 환자 스스로 할 수 없기에 전문가의 도움을 받아야 한다. 현미·채소·과일을 피할게 아니라 먹으면서 관리를 해야 콩팥병을 고칠 수 있다.


콩팥 기능이 어느 정도인지를 꼭 알고 있어야 한다. 콩팥이 건강해도 단백질을 많이 먹으면 안 좋지만, 콩팥이 아플 때는 절대로 단백질을 많이 먹으면 안 된다. 동물성식품에는 단백질이 너무 많아 먹으면 안 된다. 모든 식물성식품에는 몸에 필요한 만큼 단백질이 알맞게 들어 있다. 식물성식품만 먹어도 단백질 결핍은 절대 생기지 않는다.


경우에 따라 칼륨 수치가 높다면 채소·과일 양을 줄일 수도 있고, 인 수치가 높다면 현미를 줄이고 백미를 드실 수는 있다. 하지만 정상 수치로 나오는 경우엔 필히 현미식물식을 해야 한다. 왜냐면 콩팥을 회복시킬 수는 없는 상태일지라도 다른 문제를 해결하기 위해서다. 다른 문제란 뇌혈관병(중풍), 심장혈관병, 눈혈관병(망막증) 등 만성콩팥병이 있을 때 흔히 동반되는 치명적인 합병증을 말한다.


만성콩팥병은 당뇨병, 고혈압 환자에게 잘 생긴다. 그 이유는 당뇨병이 오래되면 혈관에 기름때가 끼어 혈관이 좁아지는 '죽상동맥경화증'이 생긴다. 이렇게 되면 우리 몸의 항상성 기전에 의해 혈압이 올라가서 고혈압이 동반된다. 당뇨병이나 고혈압의 말기 합병증이 바로 만성콩팥병이다. 따라서 만성콩팥병은 죽상동맥경화증을 치료하는 것이 원인 치료다. 죽상동맥경화증의 근본 치료는 약으로는 불가능하고, 음식을 가려 먹으면 가능해진다. 콜레스테롤과 중성지방이 많이 든 육식을 삼가고 채식을 하면 된다.


혈관을 깨끗하게 만들어야 한다. 그러려면 동물성 식품을 일체 배제하고 식물성 식품만 먹어야 하는데, 식물 중에서도 자연 상태의 식물을 먹는 게 좋다. 그게 바로 백미가 아닌 현미다. 현미에는 섬유질이 많이 들어있어 몸속 콜레스테롤을 감소시키는 효과가 있고, 백미에 비해 많이 못 먹으니 중성지방 수치도 줄어들어 혈관에 낀 기름때를 제거하는 역할을 한다. "혈관 청소"가 되면 콩팥에 피가 많이 가게 되고, 노폐물 배설도 증가하게 되어, 콩팥병이 서서히 좋아진다.


채소를 적게 먹으면 죽상동맥경화증 치료가 잘 안 된다. 채소를 삶아 먹으면 칼륨은 줄어들지만, 다른 영양소(비타민, 항산화성분, 파이토케미컬) 등이 파괴된다. 가능하면 생것으로 드시는 게 좋다.


현미식물식을 할 땐 주의가 필요하다. 채소와 과일을 너무 많이 먹게 되면 칼륨 수치가 상승할 수 있으므로 채소와 과일은 적당하게 드시고 정기적으로(약 2주 간격) 혈액검사를 해서 전문가의 도움을 받아야 한다. 콩팥기능이 얼마나 남아있느냐에 따라서 현미식물식의 효과는 다르다. 기능이 어느정도 남아 있다면 투석 횟수를 줄이는 것도 가능하다. 투석을 시작한지 2달 정도 된 환자가 투석을 하지 않아도 되는 상태로 회복되는 것도 보았다.


다만, 모든 환자에게 무조건 적용하는 것은 아니고 신장 상태 등을 확인하며 의료진과 함께 단계적으로 바꿔야 안전하다.


황박사는 식습관을 고치면 "단백뇨가 없어지는 사람들을 많이 보았기에" 콩팥 기능이 떨어지는 분들은 서둘러 '현미식물식'을 하도록 권한다.




채식은 콩팥에 좋은 식단이다.


채식인은 잡식인에 비해 콩팥 기능이 더 우수하다 [88,89,90].


존스홉킨스 대학에서 약 1만4천명의 중년 성인을 약 24년간 추적 관찰 후 발생한 CKD 환자 4천3백명을 대상으로 음식과 콩팥 기능 관계를 분석한 결과, 식물성 식품을 많이 먹을수록 콩팥 기능은 잘 보존되었고, 동물성 식품을 많이 먹을수록 콩팥 기능은 악화되었다 (아래도표) [91].



2022년 발표된 유럽 신장영양실무그룹(European Renal Nutrition Working Group)의 보고에 의하면 식물성식품으로 인한 '식이섬유' 섭취 증가는 배변량 증가, 유익균 증식, 염증 감소, 요독소 생성 감소 등 다양한 장점이 있다. 하지만 CKD 환자 대다수는 고칼륨혈증에 대한 우려 때문에 식이섬유 섭취를 적게 한다. 칼륨 섭취를 제한하면 '식이섬유'가 많이 든 과일, 채소, 콩류, 견과류, 통곡물 섭취가 줄어들면서 식단의 질이 저하되어 콩팥에는 오히려 해롭다 [92].


참고로 식이섬유와 섬유질이라는 단어는 약간의 의미 차이가 있다. 예를 들어 소의 주식(主食)인 풀은 섬유질이지만 사람은 풀을 먹을 수가 없어 식이섬유는 아니다. 사람이 먹을 수 있는 섬유질을 식이섬유라 한다.


식이섬유는 인체에서 소화 및 흡수가 되지 않는 탄수화물 중합체로 아래 도표처럼 다양한 종류가 있다.

G Su, et al. Clin Kidney J 2022


장내 세균총은 요독증 발생에 중요한 역할을 한다.


식물성 식품에는 식이섬유가 많아 대장 내 '유익균'들이 잘 증식하고, 발효과정에서 '단쇄지방산(SCFA, short-chain fatty acids)'인 아세테이트, 프로피오네이트, 뷰티레이트란 3가지 물질을 만들어 내는데, 이 물질들은 비교적 최근에 발견된 영양소로 치유력이 뛰어나 대장 점막세포의 염증을 가라앉혀 장누수(leaky gut)를 치료하고 면역기능을 향상시켜 대장암, 당뇨병, 심혈관 질환, 염증성 장 질환을 예방 및 치료한다 (아래 도표). (*단쇄지방산 상세설명 -> https://brunch.co.kr/@mhsong21/32 ) (*장누수 상세설명 -> https://brunch.co.kr/@mhsong21/16 )


G Su, et al. Clin kidney J 2022


식이섬유는 장내 세균총을 건강하게 만들어 유해균 증식을 억제하여 요독소 생성을 줄이고, 대변량을 증가시켜 요독소 배설을 촉진하여 신장을 보호한다 (아래 도표).

G Su, et al. Clin Kidney J 2022


반면, 동물성 식품에는 식이섬유가 없고 단백질 및 포화지방이 많아 장내 '유해균'이 잘 증식하고 장내세균총 불균형(dysbiosis)을 야기하여 요독소 생성이 증가되기에 심장과 혈관에 해롭다 (아래 그림) [93].

S Wakino, et al. Nutrients 2025


콩팥 기능이 저하되면 장내 박테리아가 생성하는 요독소가 체내에 축적된다. 이 독소들은 장누수를 야기하고 전신적인 염증을 증가시켜 '심혈관 합병증'을 증가시킨다 (아래 그림). CKD 환자들이 종종 '조기사망'하는 이유가 그것이다.

S Wakino, et al. Nutrients 2025


CKD 환자들은 건강한 사람에 비해 심혈관계 합병증 발생 위험이 2.1배 더 높다 [94].


투석치료를 시작하는 말기 CKD 환자의 52%에서 이미 심혈관계 질환을 동반하고 있으며, 2년 추적관찰 기간 동안 급성관상동맥질환, 울혈성심부전증, 뇌졸중, 말초혈관질환이 각각 10.2%, 13.6%, 2.2%, 14.0%에서 새로 발생한다 [95].


병이 진행될수록 심혈관질환으로 인한 사망 비중이 점점 더 커져 사구체 여과율(eGFR)이 60 이하인 경우, 60 이상에 비해 사망률이 2배 이상 증가한다 (아래도표) [96].

Fig 6...jpg J Jankowski, et al. Circulation 2021


CKD 환자에서 심혈관 질환이 급증하는 이유는 요독소, 요독으로 변질된 지질, 혈관 석회화, 변형된 혈소판의 과응고성, 빈혈 등이다 (아래 그림) [97].

S Vondenhoff, et al. Herz 2024


CKD 관리에 있어 최우선 과제는 심혈관질환 예방이다.


건강한 식단, 특히 과일 및 채소 섭취량이 높은 채식은 비타민, 미네랄, 항산화제, 섬유질, 알칼리 성분이 풍부하여 항염증 및 항산화 효과를 통해 '심장 및 혈관'을 보호하고 '신장 기능'을 보호하기에 CKD 진행을 저해하여 사망률을 줄일 수 있다 (아래 도표) [98].

K Sumida, et al. Journal of Renal Nutrition 2023




채식을 하면 또 어떤 장점이 있나?


미국의 경우 성인 7명 중 1명이 CKD 환자며 그 원인은 당뇨병, 고혈압, 비만이다 [99].


당뇨병, 고혈압 환자들이 약만 잘 챙겨 먹으면 문제가 해결될 것처럼 알고 있지만, 사실 약으로는 근본치료가 안된다. 식습관 및 생활습관 교정이 반드시 동반되어야 한다. 약에만 의존하고 있다간 필자의 친구 같은 경우가 생길 수 있으니 주의를 요한다.


채식은 당뇨병, 고혈압, 비만을 예방하고 치료도 하기에 CKD의 근본적인 해결사다 [100].

(*당뇨병과 채식 -> https://brunch.co.kr/@mhsong21/42 ) (*고혈압과 채식 -> https://brunch.co.kr/@mhsong21/73 ) (*비만과 채식 -> https://brunch.co.kr/@mhsong21/92 )


채식인은 잡식인에 비해 공복 혈당 수치가 낮고, 인슐린 민감도가 높아 당뇨병에 잘 걸리지 않는다 [101].


채식인은 비채식인에 비해 수축기 혈압이 9.1mmHg, 이완기 혈압이 5.8mmHg 낮게 나와 고혈압 환자가 적다 [102].


채식하는 사람은 고기를 먹는 사람에 비해 날씬하며 BMI(-1.72 kg/m2), 공복 혈당(-6.38 mg/dL), LDL 콜레스테롤(-22.87 mg/dL), 중성지방 (-9.35 mg/dL)과 같은 여러가지 위험 요인들의 수치가 낮다 [103].


따라서 채식은 당뇨약, 고혈압약, 비만약을 따로 먹지 않아도 3가지 만성 질병이 한꺼번에 호전되기에 CKD 발병을 억제할 수 있다.




미국 뉴욕에서 가장 유명한 병원인 마운트 사이나이(Mount sinai)의 한 내과 교수는 콩팥병의 진행을 멈추기 위해선 약국을 찾는 것보다 농산물 시장(produce market)을 찾는 게 더 좋은 선택일거라 했다 (아래 논문) [104].


대사산증(metabolic acidosis)은 CKD 환자에게 흔히 발생하는 합병증으로 대사과정에서 생성된 산성 물질이 신장을 통해 완전히 배출되지 않아 발생한다. 대사산증은 직간접적으로 CKD 의 진행을 촉진한다.


이런 대사산증 개선을 위해 중탄산염(sodium bicarbonate)을 일반적으로 사용해 왔지만, 과일·채소가 풍부한 식단도 대사산증을 치료하는 매우 간단하고 유용한 방법이다. 과일·채소를 먹는 것은 알칼리 환경을 만들고 비타민, 섬유질, 항산화제 섭취 증가로 약물보다 신장을 더 잘 보호할 수 있기 때문이다 (아래그림).

농산물이약보다좋다2.jpg J Uribarri, et al. Kidney international 2012


텍사스 의대에서 과일·채소가 약보다 더 좋은지 연구했다.


대사성 산증을 앓고 있는 CKD 3단계 참가자 108명을 무작위로 배정하여 과일·채소군 36명, 중탄산염 약제군 36명, 일반치료군 36명으로 나누어 5년간 추시 결과, 과일·채소군의 평균 건강 점수가 7.4점으로 가장 좋았고(중탄산염 2.9점, 일반치료군 1.2점), 심근경색이나 뇌졸중을 앓은 사람이 한명도 없었다(일반치료군 6명, 중탄산염군 2명 발생). 결과적으로 대사 산증 개선에는 과일·채소군의 효과가 가장 좋았다 [105].


저자인 도널드 웨슨(Donald E. Wesson) 교수는 "현재 의료계의 접근 방식은 일반적으로 약물을 먼저 투여하고, 추가적인 효과가 필요할 경우 식이요법을 보조 요법으로 추가하고 있다. 하지만 CKD 환자 관리에서 식이요법이 사망률과 이환율을 낮출 수 있는 잠재력이 있기에 식이요법을 기본으로 먼저 고려하고 약물은 식이요법의 보조 요법으로 고려해야 한다."고 강조했다 [106].


최근(2025년 4월) 캐나다 연구진들이 식이요법과 약물의 치료효과를 비교한 모든 논문을 메타분석한 결과, 과일·채소 위주의 식이요법군이 대사 산증, 사구체 여과율, 혈압, 인, 칼슘 수치에 유익한 효과를 보였다. 알부민과 칼륨에는 두 군간 차이가 없었다. 식이요법은 투석 시작을 지연시킬 수 있었다 [107].


즉, CKD 진행을 늦추는 가장 간단하고 안전한 방법은 과일·채소가 풍부한 식단을 선택하는 것이다.




필자가 이 글을 쓰기 위해 미국신장재단의 KDOQI(Kidney disease outcomes quality initiative)에서 발표한 CKD 치료 가이드라인을 검토하던 중 아래와 같은 흥미로운 문구를 발견했다 [108].

정상인0.6도 가능하다.jpg


"충분한 칼로리가 공급되면( >30 kcal/kg/day) 건강한 성인에서 0.6g/kg/day 저단백 식이도 안전하다."


통상적인 하루 단백질 권장량(RDA) 0.8g 보다 적은 0.6g 으로도 성인이 건강하게 살아가는데 아무런 문제가 없다. 미국 최고의 신장내과 전문가들의 말이다.


단백질은 힘을 내는 에너지원이 아니라 우리 몸을 만드는 벽돌(building block)이라, 애당초 다 큰 성인에게 필요한 단백질은 그리 많지 않다. 단백질의 상징인 고기를 안 먹고 채식만 해도 단백질 섭취는 충분해진다. 혹시 이 말이 틀렸다고 생각되시면, 황소를 떠올리시길 바란다. (*그래도 단백질 부족이 걱정되시는 분은 -> https://brunch.co.kr/@mhsong21/19 )


적정량의 단백질 섭취는 그 속에 든 아미노산을 이용해 근육이나 효소 등을 만들지만, 적정량 이상 섭취된 단백질은 우리 몸에 따로 저장할 방법이 없기에 매일 간에서 분해한 후 신장을 통해 몸 밖으로 배설해야 한다. 그 과정에서 늘어난 단백질 찌꺼기를 처리하느라 신장은 쉬지 못하고, 필터 역할을 하는 사구체는 과부하로 점점 기능이 떨어져간다 [109].


단백질 권하는 사회.


단백질이 많을수록, 우리는 더 건강해지고 있을까?


요즘 식탁엔 단백질이 넘친다. 단백질이 많다는 이유로 ‘건강식’으로 포장되고, 마트에는 단백질 드링크가 가득하다. 헬스장의 구호도 이렇다. “단백질을 충분히 먹어야 근육이 자라요.”, “운동 후엔 단백질 셰이크 필수예요.” 몸짱이 곧 건강의 상징이 된 사회에서, 단백질은 거의 신앙처럼 소비되고 있다. 하지만 정작 우리 몸속에서는, 과잉 섭취된 단백질로 인해 가랑비에 옷 젖듯 신장은 '혹사' 당하면서 서서히 망가져 간다.


헬스 산업, 유튜브 피트니스 문화, 프로틴 제품 마케팅의 폭발적인 증가로 "단백질 = 근육 = 건강 = 성공”이라는 사회적 도식이 형성되어 있지만, 실제로 단백질이 추가로 필요한 사람은 일부(운동선수, 병적 저영양자)에 불과하다. 일반인이 하루에 필요한 단백질 권장량(RDA)은 체중 1kg 당 0.8g이고, 운동을 전문으로 하는 사람도 1.2~1.6g 정도면 충분하다 [110]. 이 범위를 넘어서면 근육을 만들기보다는 신장을 더 상하게 한다 [111]. 많은 단백질은 신장에겐 '독'이다. (*근육 만드는데 필요한 단백질은 극히 소량이다 -> https://brunch.co.kr/@mhsong21/18 )


오늘도 각종 매체에서 소위 전문가라는 분들이 나와 단백질을 더 먹어야 한다고 대중을 현혹하고 있다. "채식하면 단백질이 부족하다", "근육을 키우려면 단백질을 많이 먹어야 한다"는 등 주장을 하나, 이미 예시한 바와 같이 완전 채식으로도 단백질은 절대 모자라지 않고, 근육을 키우는데도 단백질을 많이 먹을 필요가 없다. 건강을 위한다는 명분 아래 이들이 만든 각종 '단백질 식품' 또는 요상한 '아미노산 제품'들이 불티나게 팔리고 있지만, 숨겨진 과학적 진실을 모르는 일반인들은 귀한 돈을 낭비하며 스스로 몸을 해치고 있다.




현대의학은 항생제가 필요한 세균성 질환, 응급 상황, 외상 치료, 수술이 필요한 급성 질환인 경우에는 대단히 좋은 결과를 보였고, 수없이 많은 사람들을 살려내어 인류의 건강에 큰 기여를 했지만, 만성 질환에서는 그다지 효과를 못내고 있다. 그 이유는 병의 근본적인 문제 해결에 접근하지 않고, 증상을 관리하고 억제하는데 초점이 맞춰진 '대증요법'이 대부분이기 때문이다. 따라서 문제의 뿌리는 그대로 있기에 근본 치료가 안되고 병은 계속 진행된다.


간단한 예로 주위에서 고혈압이나 당뇨병에 약을 먹어 완치된 환자를 본 적이 있는가? 필자는 모친이 경도의 고혈압에 약 한알부터 시작하여 당뇨까지 생긴 후 약을 한주먹씩 드시다가 결국 합병증으로 돌아가시는 과정을 처음부터 끝까지 다 보았기에 현대의학의 한계를 누구보다도 잘 안다. 약으로 만성 질환을 해결할 수가 없다.


만성 콩팥병도 마찬가지다. 가장 큰 원인이 당뇨병과 고혈압인데 이런 대사질환을 10년, 20년 가지고 있으면 합병증으로 신부전이 온다. 필자의 친구 경우처럼 병원에서 시키는 대로 꼬박꼬박 약을 잘 먹었지만 콩팥이 서서히 망가지는 걸 막을 수는 없었다. 우연히 검사에서 CKD 4단계라는 청천벽력 같은 소리를 듣고 놀라 뒤늦게 여러 방도를 수소문해 보았지만, 뾰족한 방법을 찾지 못하여 결국 투석을 시작하게 되었다.


CKD 환자들에게 혈압약, 당뇨약, 칼륨조절제, 인조절제, 빈혈약, 변비약, 비타민, 탄산수소나트륨 등 여러가지 약을 써서 신장기능 저하로 생기는 증상들을 완화하는 데 도움을 주고 있지만, 이런 약물 치료로는 신장질환이 개선되지 않고 단지 병의 진행 속도를 늦출 뿐이다.


신장은 한 번 손상되면 회복이 어렵다.


콩팥병을 예방할 수 있는 가장 좋은 방법은 식습관 교정이다. 균형 잡힌 '채식' 기반의 식단을 통해 적정량의 단백질을 섭취하여 피를 맑게 하고, 모세혈관 덩어리인 사구체의 혈액 순환을 도와 영양과 산소를 충분히 공급하여 신장에 휴식을 주는 것이 신장을 지키는 가장 확실한 길이다.


콩팥 기능이 조금 떨어지신 분들도 지금 식습관을 바꾸면 더 이상의 악화를 막고 건강을 지킬 수 있다.


만성콩팥병은 삶의 질을 심각하게 떨어뜨리는 무서운 병이다.


불행은 예고 없이 찾아온다.


건강은 건강할 때 지켜야 한다.


너무 늦기 전에..



*P.S. 이 글은 만성콩팥병에 채식이 어떤 장점이 있는지 소개하는 글입니다. 아직 신장에 문제가 없는 분 또는 CKD 초기인 경우에는 채식을 바로 적용해도 되지만, 이미 요독증 증상이 나타난 CKD 4-5단계로 내과적인 치료를 하고 계신 분들은 각 개인마다 질병 상태가 다 다르기에 담당 신장내과 선생님과의 긴밀한 소통이 꼭 필요합니다. 이 글은 전체적인 가이드라인이지 세부적인 지침서는 아니라는 점을 이해해 주시길 바랍니다. 여러분들의 건강을 기원합니다.


* 이 글을 감수해 주신 부산동의의료원 신장내과 박진희 과장님께 감사드립니다.




참고문헌

1. 국민건강보험 일산병원 https://blog.naver.com/hello_health/223817956323

2. 세브란스 병원 https://sev.severance.healthcare/health/encyclopedia/disease/disease.do?mode=view&articleNo=124422&title=Chronic+renal+failure

3. 대한신장학회 말기콩팥병 팩트시트 2024 https://www.ksn.or.kr/bbs/index.php?code=Factsheet

4. S Chung. Synopsis of the Korean Society of Nephrology 2023 practical recommendations for the management of diabetic kidney disease. The Korean Journal of Medicine 2023;98(6):270-282.

5. 대한신장학회 https://ksn.or.kr/upload/general/ksn_news/%B4%E7%B4%A2%BA%B4%C4%E1%C6%CF%BA%B4%20%BE%C6%B4%C2%20%B0%CD%C0%CC%20%C8%FB%C0%CC%B4%D9%201%C6%ED.pdf

6. 더메디컬 https://www.themedical.kr/news/articleView.html?idxno=1204

7. 조선일보 https://www.chosun.com/medical/2025/05/21/22POWOHDUJE5HGINRCLPSA77KY/

8. 병원신문 https://www.khanews.com/news/articleView.html?idxno=224584

9. T Naber, S Purohit. Chronic kidney disease: role of diet for a reduction in the severity of the disease. Nutrients 2021;13(9):3277.

10. 대한신장학회 https://ksn.or.kr/general/disease/

11. National Kidney foundaton https://www.kidney.org/kidney-topics/kidney-function

12. MA Breshears, AW Confer. The Urinary System. Pathologic Basis of Veterinary Disease 2017:617–681.e1.

13. Pocket Companion to Guyton and Hall Textbook of Medical Physiology https://elsevier-elibrary.com/contents/fullcontent/58913/epubcontent_v2/OEBPS/B9781416054511000256.htm

14. 대한신장학회 https://ksn.or.kr/general/about/check.php

15. AC Webster, EV Nagler, RL Morton, et al. Chronic kidney disease. The Lancet 2017;389(10075):1238-1252.

16. 한겨레 https://www.hani.co.kr/arti/hanihealth/medical/1188101.html

17. BM Brenner, EV Lawler, HS Mackenzie. The hyperfiltration theory: a paradigm shift in nephrology. Kidney international 1996;49(6):1774-1777.

18. Wikipedia https://en.wikipedia.org/wiki/Urea_cycle

19. KBS 생로병사의 비밀 https://www.youtube.com/watch?v=RlhxgeXPulg

20. T Otoda, K Kanasaki, D Koya. Low-protein diet for diabetic nephropathy. Current Diabetes Reports 2014;14(9):523.

21. JH Jhee, YK Kee, S Park, et al. High-protein diet with renal hyperfiltration is associated with rapid decline rate of renal function: a community-based prospective cohort study. Nephrology Dialysis Transplantation 2020;35(1):98-106.

22. TA Ikizler, JD Burrowes, LD Byham-Gray, et al. KDOQI Clinical Practice Guideline for Nutrition in CKD: 2020 Update. American Journal of Kidney Diseases 2020;76(3, Suppl 1):S1-S107.

23. M Metzger, W Yuan, JP Haymann, et al. Association of a low-protein diet with slower progression of CKD. Kidney international reports 2018;3(1):105-114.

24. CM Rhee, SF Ahmadi, CP Kovesdy, et al. Low-protein diet for conservative management of chronic kidney disease: a systematic review and meta-analysis of controlled trials. Journal of cachexia, sarcopenia and muscle 2018;9(2):235-245.

25. T Remer, F Manz. Potential renal acid load of foods and its influence on urine pH. Journal of the American Dietetic Association 1995;95(7):791-797.

26. Healthline https://www.healthline.com/nutrition/lemon-juice-acidic-or-alkaline#TOC_TITLE_HDR_5

27. iNaturally https://inaturally.com.au/wp-content/uploads/2020/04/The-PRAL-Table.pdf

28. KE Adair, RG Bowden. Ameliorating chronic kidney disease using a whole food plant-based diet. Nutrients 2020;12(4):1007.

29. A Vincent-Johnson, B Davy, JJ Scialla. Diet and metabolism in CKD-related metabolic acidosis. In Seminars in Nephrology 2023;43(2):151425.

30. W Chen, MK Abramowitz. Metabolic acidosis and the progression of chronic kidney disease. BMC nephrology 2014;15(1):55.

31. T Banerjee, DC Crews, DE Wesson, et al. Dietary acid load and chronic kidney disease among adults in the United States. BMC nephrology 2014;15(1):137.

32. A Odermatt. The Western-style diet: a major risk factor for impaired kidney function and chronic kidney disease. American Journal of Physiology-Renal Physiology 2011;301(5):F919-F931.

33. J Lin, FB Hu, GC Curhan. Associations of diet with albuminuria and kidney function decline. Clinical Journal of the American Society of Nephrology 2010;5(5):836-843.

34. T Banerjee, DC Crews, DE Wesson, et al. High dietary acid load predicts ESRD among adults with CKD. Journal of the American Society of Nephrology 2015:26(7):1693-1700.

35. Y Narasaki, K Kalantar-Zadeh, CM Rhee, et al. Vegetarian nutrition in chronic kidney disease. Nutrients 2024;16(1):66.

36. 농촌진흥청 국립식량과학원 식품성분표 https://koreanfood.rda.go.kr/main

37. Fatsecret https://www.fatsecret.kr/Default.aspx#search-food

38. N Soroka, DS Silverberg, M Greemland, et al. Comparison of a vegetable-based (soya) and an animal-based low-protein diet in predialysis chronic renal failure patients. Nephron 1998;79(2):173-180.

39. H Tabibi, H Imani, M Hedayati, et al. Effects of soy consumption on serum lipids and apoproteins in peritoneal dialysis patients: a randomized controlled trial. Perit Dial Int 2010;30(6):611-618.

40. WD Kloppenburg, CA Stegeman, TK Hovinga, et al. Effect of prescribing a high protein diet and increasing the dose of dialysis on nutrition in stable chronic haemodialysis patients: a randomized, controlled trial. Nephrol Dial Transplant 2004;19(5):1212-1223.

41. B Cianciaruso, A Pota, V Bellizzi, et al. Effect of a low versus moderate-protein diet on progression of CKD: follow-up of a randomized controlled trial. Am J Kidney Dis 2009;54(6):1052-1061.

42. BF Palmer, DJ Clegg. Physiology and pathophysiology of potassium homeostasis. American Journal of Kidney Diseases 2019;74(5):682-695.

43. Wikipedia https://en.wikipedia.org/wiki/Hyperkalemia

44. Byjus https://byjus.com/biology/cell-wall-and-cell-membrane/

45. M O’Donnell, S Yusuf, L Vogt, et al. Potassium intake: the Cinderella electrolyte. European Heart Journal 2023;44(47):4925-4934.

46. K Picard. Potassium additives and bioavailability: are we missing something in hyperkalemia management?. Journal of Renal Nutrition 2019;29(4):350-353.

47. N Morimoto, S Shioji, Y Akagi, et al. Associations between dietary potassium intake from different food sources and hyperkalemia in patients with chronic kidney disease. Journal of Renal Nutrition 2024;34(6):519-529.

48. C Demigné, H Sabboh, C Puel, et al. Organic anions and potassium salts in nutrition and metabolism. Nutrition research reviews 2004;17(2):249-258.

49. DE St-Jules, DS Goldfarb, MA Sevick. Nutrient non-equivalence: does restricting high-potassium plant foods Help to prevent hyperkalemia in hemodialysis patients? J Ren Nutr 2016;26:282-287.

50. CI Ramos, A Gonzalez-Ortiz, A Espinosa-Cuevas, et al. Does dietary potassium intake associate with hyperkalemia in patients with chronic kidney disease? Nephrol Dial Transpl 2021;36:2049-2057.

51. VM Saglimbene, G Wong, M Ruospo, et al. Fruit and vegetable intake and mortality in adults undergoing maintenance hemodialysis. Clinical Journal of the American Society of Nephrology 2019;14(2):250-260.

52. Y Narasaki, AS You, S Malik, et al. Dietary potassium intake, kidney function, and survival in a nationally representative cohort. Am J Clin Nutr 2022;116:1123–1134.

53. A Levin, PE Stevens, RW Bilous, et al. Kidney Disease: Improving Global Outcomes (KDIGO) CKD Work Group. KDIGO 2012 clinical practice guideline for the evaluation and management of chronic kidney disease. Kidney international supplements 2013;3(1):1-150.

54. CM Clase, JJ Carrero, DH Ellison, et al. Potassium homeostasis and management of dyskalemia in kidney diseases: conclusions from a Kidney Disease: Improving Global Outcomes (KDIGO) Controversies Conference. Kidney international 2020;97(1):42-61.

55. News Medical https://www.news-medical.net/health/The-Healthy-Eating-Index-How-Well-Does-Your-Diet-Score.aspx

56. JS Babich, K Kalantar-Zadeh, S Joshi. Taking the Kale out of hyperkalemia: plant foods and serum potassium in patients with kidney disease. J Ren Nutr 2022;32:641-649.

57. Y Narasaki, K Kalantar-Zadeh, CM Rhee, et al. Vegetarian nutrition in chronic kidney disease. Nutrients 2024;16(1):66.

58. 메디칼타임스 https://www.medicaltimes.com/Main/News/NewsView.html?ID=1161651

59. 나무위키 https://namu.wiki/w/%EC%9D%B8(%EC%9B%90%EC%86%8C

60. K Kalantar-Zadeh, L Gutekunst, R Mehrotra, et al. Understanding sources of dietary phosphorus in the treatment of patients with chronic kidney disease. Clinical Journal of the American Society of Nephrology 2010;5(3):519-530.

61. Kidney Care UK https://kidneycareuk.org/kidney-disease-information/kidney-conditions/calciphylaxis/

62. J Beto, N Bhatt, T Gerbeling, et al. Overview of the 2017 KDIGO CKD-MBD update: practice implications for adult hemodialysis patients. Journal of Renal Nutrition 2019;29(1):2-15.

63. C Capusa, D Popescu. Mechanisms and clinical implications of vascular calcifications in chronic kidney disease. Chronic Kidney Disase-Pathophysiology to Clinical Improvements 2017. https://www.intechopen.com/chapters/58465

64. C Zhou, Z Shi, N Ouyang, X Ruan. Hyperphosphatemia and cardiovascular disease. Frontiers in Cell and Developmental Biology 2021;9:644363.

65. H Moon, HJ Chin, KY Na, et al. Hyperphosphatemia and risks of acute kidney injury, end-stage renal disease, and mortality in hospitalized patients. BMC Nephrol 2019;20(1):362.

66. Kidney community kitchen https://www.kidneycommunitykitchen.ca/dietitians-blog/phosphorus-bioavailability-how-much-phosphorous-do-we-absorb-from-different-types-of-foods/

67. SM Moe, MP Zidehsarai, MA Chambers, et al. Vegetarian compared with meat dietary protein source and phosphorus homeostasis in chronic kidney disease. Clinical Journal of the American Society of Nephrology 2011;6(2):257-264.

68. SD Rose, AJ Strombom. A plant-based diet prevents and treats chronic kidney disease. Urology Nephrology 2019;6(3):1-28.

69. NA Graudal, T Hubeck-Graudal, G Jürgens. Effects of low-sodium diet vs. high-sodium diet on blood pressure, renin, aldosterone, catecholamines, cholesterol, and triglyceride (Cochrane Review). American journal of hypertension 2012;25(1):1-15.

70. OM Dong. Excessive dietary sodium intake and elevated blood pressure: a review of current prevention and management strategies and the emerging role of pharmaconutrigenetics. BMJ nutrition prevention & health 2018;1(1):7.

71. Merck Index https://merckindex.rsc.org/monographs/m10004?utm_source=chatgpt.com

72. 건강보험공단 https://www.nhis.or.kr/magazin/138/html/c03.html

73. D Malta, KS Petersen, C Johnson, et al. High sodium intake increases blood pressure and risk of kidney disease. From the Science of Salt: A regularly updated systematic review of salt and health outcomes (August 2016 to March 2017). The Journal of Clinical Hypertension 2018;20(12):1654-1665.

74. J Shin, CH Lee. The roles of sodium and volume overload on hypertension in chronic kidney disease. Kidney Research & Clinical Practice 2021;40(4):542-554.

75. G Rossitto, G Maiolino, S Lerco, et al. High sodium intake, glomerular hyperfiltration, and protein catabolism in patients with essential hypertension. Cardiovasc Res 2021;117(5):1372-1381.

76. M Abbate, C Zoja, G Remuzzi. How does proteinuria cause progressive renal damage?. Journal of the American Society of Nephrology 2006;17(11):2974-2984.

77. H Kataoka, K Nitta, J Hoshino. Glomerular hyperfiltration and hypertrophy: an evaluation of maximum values in pathological indicators to discriminate "diseased" from "normal". Front Med (Lausanne) 2023;10:1179834.

78. 한라일보 https://www.ihalla.com/article.php?aid=1709184826753993099

79. EJ McMahon, KL Campbell, JD Bauer, et al. Altered dietary salt intake for people with chronic kidney disease. Cochrane Database Syst Rev 2021;6(6):CD010070.

80. P Clarys, T Deliens, I Huybrechts, et al. Comparison of nutritional quality of the vegan, vegetarian, semi-vegetarian, pesco-vegetarian and omnivorous diet. Nutrients 2014;6(3):1318-1332.

81. FJ He, M Tan, Y Ma, GA MacGregor. Salt reduction to prevent hypertension and cardiovascular disease: JACC state-of-the-art review. Journal of the American College of Cardiology 2020;75(6):632-647.

82. 동아일보 https://www.donga.com/news/It/article/all/20250922/132435742/1

83. 메디팜뉴스 https://www.medipharmhealth.co.kr/mobile/article.html?no=44821

84. TM Campbell, SE Liebman. Plant-based dietary approach to stage 3 chronic kidney disease with hyperphosphataemia. BMJ Case Reports 2019;12(12):e232080.

85. KR Tuttle, D Sunwold, H Kramer. Can comprehensive lifestyle change alter the course of chronic kidney disease?. Seminars in nephrology 2009;29(5):512-523.

86. J Hogan, J Radhakrishnan. The treatment of minimal change disease in adults. Journal of the American Society of Nephrology 2013;24(5):702-711.

87. D Sunwold. Diet and risk for developing kidney disease. Clinical Journal of the American Society of Nephrology 2019;14(1):1-2.

88. V Wiwanitkit. Renal function parameters of Thai vegans compared with non-vegans. Renal failure 2007;29(2):219-220.

89. HW Liu, WH Tsai, JS Liu, KL Kuo. Association of vegetarian diet with chronic kidney disease. Nutrients 2019;11(2):279.

90. Ł Świątek, J Jeske, M Miedziaszczyk, I Idasiak-Piechocka. The impact of a vegetarian diet on chronic kidney disease (CKD) progression–a systematic review. BMC nephrology 2013;24(1):168.

91. H Kim, LE Caulfield, V Garcia-Larsen, et al. Plant-Based Diets and Incident CKD and Kidney Function. Clin J Am Soc Nephrol 2019;14(5):682-691

92. G Su, X Qin, C Yang, et al. Fiber intake and health in people with chronic kidney disease. Clin Kidney J 2022;15(2):213-225.

93. S Wakino, K Hasegawa, M Tamaki, et al. Kidney-Gut Axis in Chronic Kidney Disease: Therapeutic Perspectives from Microbiota Modulation and Nutrition. Nutrients 2025;17(12):1961.

94. 헬스조선 https://m.health.chosun.com/svc/news_view.html?contid=2021090200814

95. JT Park, HJ Oh, SW Kang. Cardiovascular disease in end-stage renal disease. J Korean Med Assoc 2013; 56(7): 576-582.

96. J Jankowski, J Floege, D Fliser, et al. Cardiovascular disease in chronic kidney disease. Circulation 2021;143(11):1157-72.

97. S Vondenhoff, SJ Schunk, H Noels. Increased cardiovascular risk in patients with chronic kidney disease. Herz 2024;49(2):95-104.

98. K Sumida, A Biruete, BW Kistler, et al. New insights into dietary approaches to potassium management in chronic kidney disease. Journal of Renal Nutrition 2023;33(6):S6-S12.

99. TM Campbell, SE Liebman. Plant-based dietary approach to stage 3 chronic kidney disease with hyperphosphataemia. BMJ Case Reports 2019;12(12):e232080.

100. S Joshi, S Hashmi, S Shah, K Kalantar-Zadeh. Plant-based diets for prevention and management of chronic kidney disease. Current Opinion in Nephrology and Hypertension 2020;29(1):16-21.

101. X Cui, B Wang, Y Wu, et al. Vegetarians have a lower fasting insulin level and higher insulin sensitivity than matched omnivores: A cross-sectional study. Nutr Metab Cardiovasc Dis 2019;29(5):467-473.

102. BJ Pettersen, R Anousheh, J Fan, et al. Vegetarian diets and blood pressure among white subjects: results from the Adventist Health Study-2 (AHS-2). Public Health Nutr 2012;15(10):1909–16.

103. M Dinu, R Abbate, GF Gensini, A Casini, F Sofi. Vegetarian, vegan diets and multiple health outcomes: a systematic review with meta-analysis of observational studies. Crit Rev Food Sci Nutr 2017;57(17):3640–9.

104. J Uribarri, MS Oh. The key to halting progression of CKD might be in the produce market, not in the pharmacy. Kidney international 2012;81(1):7-9.

105. N Goraya, Y Munoz-Maldonado, J Simoni, DE Wesson. Treatment of chronic kidney disease-related metabolic acidosis with fruits and vegetables compared to NaHCO3 yields more and better overall health outcomes and at comparable five-year cost. Journal of Renal Nutrition 2021;31(3):239-247.

106. Renal & Urology News https://www.renalandurologynews.com/news/fruit-vegetables-metabolic-acidosis-ckd-bicarbonate/

107. S Mahboobi, R Mollard, N Tangri, et al. Effects of dietary interventions for metabolic acidosis in chronic kidney disease: a systematic review and meta-analysis. Nephrology Dialysis Transplantation 2025;40(4):751-767.

108. TA Ikizler, L Cuppari. The 2020 updated KDOQI clinical practice guidelines for nutrition in chronic kidney disease. Blood Purification 2021;50(4-5):667-671.

109. AN Friedman. High-protein diets: potential effects on the kidney in renal health and disease. American Journal of kidney diseases 2004;44(6):950-962.

110. RW Morton, KT Murphy, SR McKellar, et al. A systematic review, meta-analysis and meta-regression of the effect of protein supplementation on resistance training-induced gains in muscle mass and strength in healthy adults. Br J Sports Med 2018;52(6):376-384.

111. 헬스조선 https://m.health.chosun.com/svc/news_view.html?contid=2020112701964






keyword
작가의 이전글비만약이 당신을 건강하게 만들지는 못한다